Submitted:
22 October 2023
Posted:
23 October 2023
You are already at the latest version
Abstract
Keywords:
1. Introduction
- Integrate information from various NDE technologies to gain a better understanding of how different factors can impact their measurements and, consequently, the detection and characterization of defects or deterioration.
- Establish connections between the results from different technologies and the various factors that can influence the measurements to further improve their interpretation.
2. Parameters Affecting HCP and ER Measurements
2.1. Parameters affecting the HCP
2.2. Parameters affecting the ER
3. Finite Element Simulations
- 1.
- Degree of saturation (DoS): A variety of saturation levels were selected to investigate the influence of pore saturation on the NDE measurements. These values span the different saturation conditions that the structure may encounter. Seven saturation levels were chosen, covering a range from 20% to 80% in increments of 10%.
- 2.
- Corrosion length (CL): The term "corrosion length" refers to the length of the anode portion of the steel reinforcing bar. A set of eight values was selected to simulate the corrosion length, which ranges from 2.5 cm to 35 cm in increments of 5 cm.
- 3.
- Delamination depth (DD): A set of six values was selected to reflect various depths of delamination. These values range from 40mm to 90mm below the surface of the concrete deck, with increments of 10mm.
- 4.
- Concrete cover (CC): The concrete cover thickness has a substantial impact on the HCP measurement readings due to the presence of non-uniform corrosion on the steel bars. A set of four values have been selected to represent the concrete cover thickness, which are 38mm, 51mm, 63mm, and 76mm.
- 5.
- Delamination moisture condition: Two values have been selected to simulate the moisture condition of the delamination within the concrete deck for this parameter. The first case represents air-filled delamination (AFD) which simulates completely dry conditions, while the second case represents water-filled delamination (WFD), which simulates fully saturated delamination.
3.1. Half-cell potential simulation result
3.2. Electrical resistivity simulation results
3.3. Impact echo simulation results
4. Machine Learning Algorithms
4.1. Random Forest algorithms development
4.1.1. Classification Algorithm
- Degree of Saturation: the attribute is Numerical variable that has a Feature role.
- Length of Corrosion: the attribute is Numerical variable that has a Meta role.
- Delamination Depth: the attribute is Numerical variable that has a Feature role
- Concrete Cover: the attribute is Numerical data variable that has a Feature role
- Delamination M.C: the attribute is Categorical variable that has a Meta role
- Measured Resistivity: the attribute is Numerical variable that has a Feature role
- Measured HCP: the attribute is Numerical variable that has a Feature role
- Actual Resistivity: the attribute is Categorical variable that has a Target role
- Actual HCP: the attribute is Categorical variable that has a Target role
- Predicted values (Target) for HCP = {No Corrosion, Transition, Corrosion}.
- Predicted values (Target) for ER = {Negligible, Weak, Moderate, High}.
- The algorithm workflow for the HCP and ER technologies is shown in Figure 11
4.1.2. Regression Algorithm
- Degree of Saturation: the attribute is Numerical variable that has a Feature role.
- Length of Corrosion: the attribute is Numerical variable that has a Meta role.
- Delamination Depth: the attribute is Numerical variable that has a Feature role.
- Concrete Cover: the attribute is Numerical data variable that has a Feature role.
- Delamination M.C: the attribute is Categorical variable that has a Meta role.
- Measured Resistivity: the attribute is Numerical variable that has a Feature role.
- Measured HCP: the attribute is Numerical variable that has a Feature role.
- Actual Resistivity: the attribute is Numerical variable that has a Target role.
- Actual HCP: the attribute is Numerical variable that has a Target role.
5. Implementation of the Algorithms
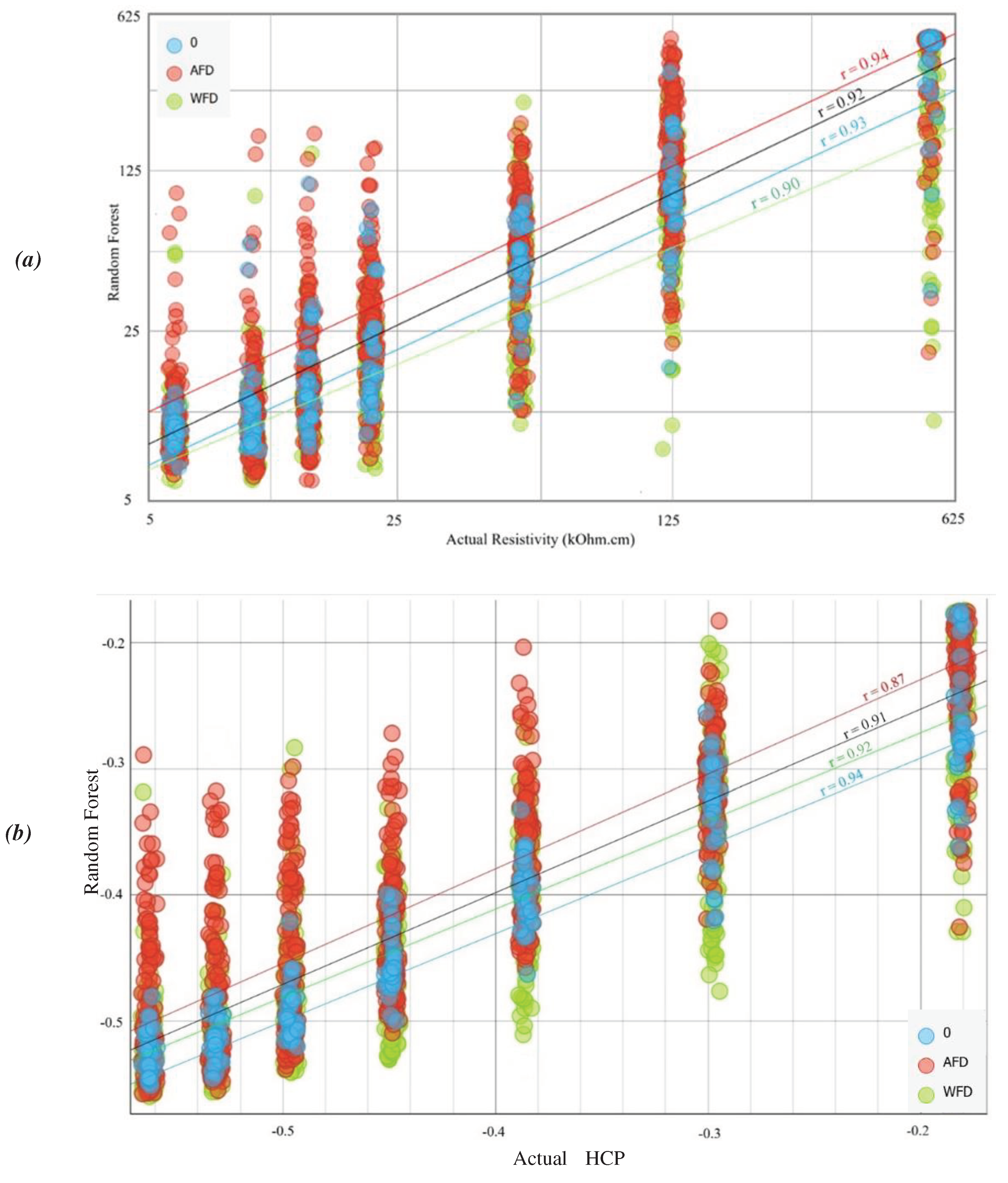
5.1. Applying the regression algorithm
5.2. Applying the classification algorithm
6. Summary and Conclusions
- The ER measurements are significantly impacted by the degree of saturation, delamination depth, and moisture condition of the delamination, while HCP measurements are greatly affected by the degree of saturation, corrosion length, delamination depth, concrete cover, and moisture condition of the delamination.
- The results indicate that HCP has limitations in detecting localized active corrosion, less than or equal to 2.5 cm because the potential distribution due to active corrosion can not exceed the ASTM threshold (-350 mV). Detection of larger localized corrosion depends on the degree of saturation.
- The concrete cover thickness affects HCP measurements and proper correction must be made to describe it for the reference concrete cover thickness. As the thickness increases, the measured potential decreases, and vice versa.
- The degree of saturation has a significant impact on both ER and HCP measurements. The HCP values decrease (become more negative) as saturation increases due to increased conductivity changing the potential distribution between the anode and cathode.
- Strong correlations were established from numerical simulations between the selected parameters and NDE technology measurement values, enabling their improved interpretation.
- Machine learning algorithms are effective correction tools that take into account the effects of all explored parameters.
- Both regression and classification algorithms can be used as correction tools, but regression provides higher-resolution corrected values.
- All five examined parameters have a significant impact on the measurements and should be considered in the interpretation process.
References
- ASTM, C. G. (2003) ‘Standard test method for corrosion potentials of uncoated reinforcing steel in concrete’, ASTM International: West Conshohocken, PA, USA.
- Awad, M. and Khanna, R. (2015) Efficient learning machines: theories, concepts, and applications for engineers and system designers. Springer nature.
- Azarsa, P. and Gupta, R. (2017) ‘Electrical Resistivity of Concrete for Durability Evaluation: A Review’, Advances in Materials Science and Engineering, 2017. https://doi.org/10.1155/2017/8453095. [CrossRef]
- Bourreau, L. et al. (2019) ‘Better understanding of tide ’ s influence on half-cell potential and electrical resistivity measurements for reinforced concrete in marine environment To cite this version : HAL Id : hal-02065141 environment’.
- Chabi, P. et al. (2013) ‘Effectiveness of half-cell potential mapping in corrosion assessment of reinforcement in loaded concrete bridge decks’, Proceedings, Annual Conference - Canadian Society for Civil Engineering, 5(January), pp. 4073–4081.
- Chun, P. et al. (2020) ‘Random Forest-based evaluation technique for internal damage in reinforced concrete featuring multiple nondestructive testing results’, Construction and Building Materials. Elsevier, 253, p. 119238.
- Elkey, W. and Sellevold, E. J. (1995) ‘Electrical resistivity of concrete’. Statens vegvesen. Vegdirektoratet.
- Gowers, K. and Millard, S. (1999) ‘Measurement of concrete resistivity for assessment of corrosion’, ACI Materials Journal, 96(5).
- Gucunski, N. et al. (2010) ‘Multiple complementary nondestructive evaluation technologies for condition assessment of concrete bridge decks’, Transportation Research Record, (2201), pp. 34–44. https://doi.org/10.3141/2201-05. [CrossRef]
- Harley, J. B. and Sparkman, D. (2019) ‘Machine learning and NDE: Past, present, and future’, in AIP Conference Proceedings. AIP Publishing LLC, p. 90001.
- Hornbostel, K., Larsen, C. K. and Geiker, M. R. (2013) ‘Relationship between concrete resistivity and corrosion rate - A literature review’, Cement and Concrete Composites. Elsevier Ltd, 39, pp. 60–72. https://doi.org/10.1016/j.cemconcomp.2013.03.019. [CrossRef]
- Hussain, R. R. (2011) ‘Underwater half-cell corrosion potential benchmark measurements of corroding steel in concrete influenced by a variety of material science and environmental engineering variables’, Measurement: Journal of the International Measurement Confederation. Elsevier Ltd, 44(1), pp. 274–280. https://doi.org/10.1016/j.measurement.2010.10.002. [CrossRef]
- Keßler, S. and Gehlen, C. (2016) ‘Influence of Concrete Moisture Condition on Half-Cell Potential Measurement’, International Conference on Durability of Concrete Structures, ICDCS 2016, (1140), pp. 257–264. https://doi.org/10.5703/1288284316142. [CrossRef]
- Khudhair, M. and Gucunski, N. (2023) ‘Multi-NDE Technology Approach to Improve Interpretation of Corrosion in Concrete Bridge Decks Based on Electrical Resistivity Measurements’, Sensors. MDPI, 23(19), p. 8052.
- Khudhair, M. J. and Gucunski, N. (2018) ‘Effects of Concrete Delamination and Cracking on Electrical Resistivity Measurement Results’, in NDE/NDT for Highways & Bridges: SMT 2018.
- Kruschwitz, S., Ebell, G. and Shen, J. (2018) ‘Towards Data Based Corrosion Analysis of Concrete with Supervised Machine Learning’.
- Larsen, C. K. et al. (2006) ‘Electrical resistivity of concrete part II: Influence of moisture content and temperature’, in Proceedings of the 2nd International RILEM Symposium on Advances in Concrete through Science and Engineering.
- Mohamadi, S., Lattanzi, D. and Azari, H. (2020) ‘Fusion and Visualization of Bridge Deck Nondestructive Evaluation Data via Machine Learning’, Frontiers in Materials. Frontiers, 7, p. 392.
- NEGRUTIU, C. M. (2011) ‘Aspects Regarding Half – Cell Potential Mapping for Reinforced High Strength Concrete’, 1(14), pp. 103–110.
- Polder, R. B. (2001) ‘Test methods for on site measurement of resistivity of concrete—a RILEM TC-154 technical recommendation’, Construction and building materials. Elsevier, 15(2–3), pp. 125–131.
- Pour-Ghaz, M., Isgor, O. B. and Ghods, P. (2009) ‘Quantitative interpretation of half-cell potential measurements in concrete structures’, Journal of materials in civil engineering. American Society of Civil Engineers, 21(9), pp. 467–475.
- Rodrigues, R. et al. (2021) ‘Reinforced concrete structures: A review of corrosion mechanisms and advances in electrical methods for corrosion monitoring’, Construction and Building Materials. Elsevier Ltd, 269, p. 121240. https://doi.org/10.1016/j.conbuildmat.2020.121240. [CrossRef]
- Sanchez Marquez, J. M. (2015) ‘Influence of Saturation and Geometry on Surface Electrical Resistivity Measurements’. Concordia University.
- Sansalone, M. J. and Streett, W. B. (1997) ‘Impact-echo. Nondestructive evaluation of concrete and masonry’.
- Sassine, E. et al. (2018) ‘A critical discussion on rebar electrical continuity and usual interpretation thresholds in the field of half-cell potential measurements in steel reinforced concrete’, Materials and Structures/Materiaux et Constructions, 51(4). https://doi.org/10.1617/s11527-018-1221-0. [CrossRef]
- Sengupta, A., Ilgin Guler, S. and Shokouhi, P. (2021) ‘Interpreting Impact Echo Data to Predict Condition Rating of Concrete Bridge Decks: A Machine-Learning Approach’, Journal of Bridge Engineering, 26(8), p. 04021044. https://doi.org/10.1061/(asce)be.1943-5592.0001744. [CrossRef]
- Weiss, J. et al. (2013) ‘Using a saturation function to interpret the electrical properties of partially saturated concrete’, Journal of Materials in Civil Engineering, 25(8), pp. 1097–1106. https://doi.org/10.1061/(ASCE)MT.1943-5533.0000549. [CrossRef]
- Yodsudjai, W. and Pattarakittam, T. (2017) ‘Factors influencing half-cell potential measurement and its relationship with corrosion level’, Measurement: Journal of the International Measurement Confederation. Elsevier Ltd, 104, pp. 159–168. https://doi.org/10.1016/j.measurement.2017.03.027. [CrossRef]
- Zhang, J.-K., Yan, W. and Cui, D.-M. (2016) ‘Concrete condition assessment using impact-echo method and extreme learning machines’, Sensors. Multidisciplinary Digital Publishing Institute, 16(4), p. 447.





















| Materials | Properties | |
|---|---|---|
| Electrical conductivity(S/m) | Relative permittivity | |
| Concrete | 0.002 | 4.5 |
| Water* | 0.5 | 88.1 |
| Air* | 3×10−15 | 1 |
| *used to fill the delamination. | ||
| The Target Class | Classification Accuracy | |
|---|---|---|
| ER | Negligible | 96.6% |
| Weak | 98.6% | |
| Moderate | 94.7% | |
| High | 95.3% | |
| Average over classes | 92.6% | |
| HCP | No Corrosion | 93.1% |
| Transition | 87.9% | |
| Corrosion | 90.7% | |
| Average over classes | 85.9% |
| Target Class | Model | AUC | CA | F1 | Precision | Recall | |
|---|---|---|---|---|---|---|---|
| ER | Negligible | Random Forest | 0.991 | 0.966 | 0.932 | 0.897 | 0.971 |
| Weak | Random Forest | 0.993 | 0.986 | 0.954 | 0.984 | 0.926 | |
| Moderate | Random Forest | 0.978 | 0.947 | 0.827 | 0.848 | 0.807 | |
| High | Random Forest | 0.990 | 0.953 | 0.947 | 0.951 | 0.944 | |
| Average over classes | Random Forest | 0.989 | 0.926 | 0.926 | 0.927 | 0.926 | |
| HCP | No Corrosion | Random Forest | 0.979 | 0.931 | 0.837 | 0.808 | 0.867 |
| Transition | Random Forest | 0.894 | 0.879 | 0.596 | 0.688 | 0.525 | |
| Corrosion | Random Forest | 0.971 | 0.907 | 0.928 | 0.910 | 0.946 | |
| Average over classes | Random Forest | 0.953 | 0.859 | 0.853 | 0.851 | 0.859 |
Disclaimer/Publisher’s Note: The statements, opinions and data contained in all publications are solely those of the individual author(s) and contributor(s) and not of MDPI and/or the editor(s). MDPI and/or the editor(s) disclaim responsibility for any injury to people or property resulting from any ideas, methods, instructions or products referred to in the content. |
© 2023 by the authors. Licensee MDPI, Basel, Switzerland. This article is an open access article distributed under the terms and conditions of the Creative Commons Attribution (CC BY) license (http://creativecommons.org/licenses/by/4.0/).