Preprint
Article

This version is not peer-reviewed.

Features of Structures and Ionic Conductivity of Na3Fe2(Po4)3 Polycrystals Obtained by Solid Phase and Melte Methods

A peer-reviewed article of this preprint also exists.

Submitted:

16 October 2023

Posted:

18 October 2023

You are already at the latest version

Abstract
This article presents the results of studies of the structure and conductive properties of Na3Fe2(PO4)3 polycrystals synthesized by solid-phase and melt (using concentrated optical radiation) methods. It has been established that with the melt method, the synthesis of the material occurs under significantly nonequilibrium temperature-gradient conditions, which leads to the creation of deformations in the sample that contribute to an increase in ionic conductivity. The ability of the Na3Fe2(PO4)3 structure to adapt to anomalous deformations that occur under temperature-gradient conditions indicates the elasticity of the crystalline framework {[Fe2(PO4)]3-}3∞. Through a comparative assessment of the structural parameters and conductive properties of these materials, it is shown that polycrystals obtained by the melt method have a better texture and greater ionic conductivity. The advantage of this method is that the duration of the synthesis of α-Na3Fe2(PO4)3 is halved. It is concluded that this method is applicable to obtain effective polycrystals of other compositions.
Keywords: 
;  ;  ;  ;  ;  

Introduction

Currently, interest in materials from the NASICON family is increasing due to the possibility of their use as structural materials, for example, as electrode materials in sodium-ion batteries (NIB) [1,2,3,4,5,6]. Replacing lithium-ion batteries (LIB) with NIB will create an inexpensive technology for the production of current sources [7,8,9,10]. The key components of NIB are cathode materials, which mainly determine the final energy density and cost of the battery [8,9]. However, sodium-containing cathode materials in NIBs generate lower energy densities than LIBs because Na+ ions have a large ionic radius [9,10,11,12,13]. Therefore, it is necessary to develop a technology for producing more efficient sodium-containing cathode materials for NIB [9,14,15,16].
Many polycrystals from the NASICON family are considered potential structural materials for creating NIB electrodes [17,18,19]. Among this family, we can highlight Na3Fe2(PO4)3, which is an ionic conductor and a promising material for creating a NIB cathode [2,20]. The interest of researchers in Na3Fe2(PO4)3 was aroused due to its structural features and superionic conductivity in the γ-phase [21,22,23,24,25,26]. It was found that Na3Fe2(PO4)3 has three phases (α, β, γ) and two phase transitions: α→β and β→γ. The anionic structure of this compound is a fragment of a three-dimensional rhombohedral framework {[Fe2(PO4)]3-}3∞. (called the “Japanese lantern”, formed by the junction of FeO6 octahedra and PO4 tetrahedra through the vertices) [26,27]. The presence of polyanion polyhedra leads to the formation of a crystalline framework with empty cavities of two types (M(1)) and (M(2)). These structures are characterized by the statistical filling of positions (M(1)) and (M(2)) with sodium cations [26,27]. Ionic conductivity is ensured due to the presence in the crystal frame of large cavities (M(1) and M(2)) forming “conduction channels” and the anionic sublattice of the crystal [26,27].
It should be noted that the structure of the three-dimensional rhombohedral crystalline frame of α- Na3Fe2(PO4)3 at room temperature is ordered and monoclinically distorted (space group). After the phase transitions α→β and β→γ, a gradual increase in the symmetry of the crystal occurs (space group R = 3c) with simultaneous disordering of the cation sublattice and a uniform distribution of sodium cations over extensive cavities of the M(1) and M(2) types [23,24,25,26,27].
For Na3Fe2(PO4)3, probabilistic paths for the diffusion of sodium cations in Na3Fe2(PO4)3, through the channels of the crystallographic framework were established [25]. The relationship between phase transitions and the redistribution of sodium cations in the structure of Na3Fe2(PO4)3, is discussed in [23,24,25,26,27]. A feature of the structure of the low-temperature α- Na3Fe2(PO4)3, phase is the presence of superstructural distortions and dipole ordering of the antiferroelectric type (AFE) [23,26]. Using Raman spectroscopy in α- Na3Fe2(PO4)3, bands due to vibrations of the phosphate anion and various ions were discovered [20,29].
At room temperature, the most thermosensitive modes are those located in the low-frequency range 100-400 cm-1, near 500 cm-1, and the modes corresponding to the stretching of the valence bond of the unit (PO4) lie in the frequency range 970-1200 cm-1. These data allow us to conclude that despite the “rigidity” of the anionic crystalline framework, we can talk about a certain degree of its “elasticity” due to the ability of the link (PO4) to shift and stretch.
Although the ionic conductivity of α-Na3Fe2(PO4)3 is low, this phase is characterized by structural stability and thermal stability, which can contribute to small volumetric changes during the intercalation/deintercalation of Na ions in NIB. Therefore, α- Na3Fe2(PO4)3, is considered as a promising cathode material for NIB. However, so far cathode materials from α-Na3Fe2(PO4)3 polycrystals synthesized by the solid-phase method in NIA generate a small specific capacity of 61 mAh g−1 and are reduced to 57 mAh g−1 after 500 cycles at a voltage of 2.5 V [2]. Therefore, it is necessary to improve the conductive and electrochemical properties of α-Na3Fe2(PO4)3, by modifying its structure.
It was found that, depending on the technological regime of the synthesis of polycrystals, the α- Na3Fe2(PO4)3 structure can be obtained in different modifications. It is known that Na3Fe2(PO4)3 can crystallize both in the monoclinic C2/m and in the orthorhombic modification with sp. gr. 3R ̅cH [2,22,24,30]. It is likely that the formation of various forms of low-symmetry α- Na3Fe2(PO4)3 crystals depends on the thermodynamic conditions of crystallization. These data allow us to assert that the structure of Na3Fe2(PO4)3 is very sensitive to deformation, therefore they can form their crystal structures in one or another polymorphic modification.
It has already been shown that the synthesis of α- Na3Fe2(PO4)3 under the influence of hydrostatic pressure partially increases the ionic conductivity of this compound as a result of partial removal of the monoclinic distortion of the crystalline framework during crystallization [26,27,28].
The fact of an increase in the specific discharge capacity in NIA when using α-Na3Fe2(PO4)3, synthesized by hot pressing as a cathode material, was reported in [28,29,30,31]. In all likelihood, this is due to the fact that polycrystals with higher conductivity slightly accelerate the intercalation/deintercalation process during electrochemical processes in NIB. Another important factor in improving the quality of Na3Fe2(PO4)3, cathode material is the use of various synthesis methods. Thus, Na3Fe2(PO4)3, synthesized by the sol-gel method made it possible to increase the initial specific discharge capacity to 92.5 mAh g–1 in NIB due to the porosity of the structure of the cathode material [29,30,31,32].
The sintering method under the influence of radiant energy of optical radiation has been tested for the production of a number of optical and HTSC ceramic materials but has not yet been tested for the production of orthophosphate polycrystals. The essence of the method of crucibleless zone melting by optical heating is given in [33].
The results obtained during the synthesis of optical material under the influence of optical radiation (visible light) show that the structure and conductive properties of the sample are improved [34]. Certain compositions of bismuth-containing HTSC ceramics prepared from glass phases synthesized under the action of optical radiation show that the structure and critical parameters of the samples are improved [32,33,34,35].
In this regard, the synthesis of Na3Fe2(PO4)3 by the melt method under the influence of optical radiation is of interest, because in this case, the thermodynamic conditions of synthesis differ significantly from the solid-phase method. To clarify the influence of thermodynamic factors during the synthesis of Na3Fe2(PO4)3 on the structure and conductive properties of this material, further study of the relationship between synthesis modes, structure, and conductive properties is necessary.
The work aims to study the structural features and conductive properties of Na3Fe2(PO4)3 polycrystals obtained by solid-phase synthesis and the melt method using concentrated optical radiation.

2. Materials and research methods

Sample synthesis

There were two types of Na3Fe2(PO4)3 polycrystals. The synthesis of type 1 samples was carried out using the solid-phase method. The starting reagents were oxides, salts of sodium carbonate and ammonium phosphate: Na23, Fe2O3, NH4H2PO4. (all reagents are “analytical grade” grade) After mechanical grinding of the mixture of initial reagents in a planetary mill (Germany), the powders were pressed into tablets and pre-annealed for 2 hours at a temperature of 620 K. After the next grinding, the resulting powders were again pressed into tablets. In solid-phase synthesis, the production of Na3Fe2(PO4)3 polycrystal was carried out in two stages, by firing the initial reagents in a muffle furnace at 870 K for 8 hours. After grinding the resulting mass, the powders were pressed into tablets and annealed a second time at 1070 K for 8 hours. We designate the resulting polycrystals as type 1 samples. In the melt method, the synthesis of the glass phase (zone recrystallization) was carried out using a radiation heating installation URN-2-ZP (USSR, Moscow) using the method of crucible-free zone melting under the influence of optical radiation [30]. The installation used light energy from a high-pressure xenon arc lamp focused by two elliptical reflectors as a source of local heating.
As the initial mixture, we used powders that had previously undergone heat treatment for 2 hours at a temperature of 620 K. Samples of the initial mixture were pressed in the form of two cylinders with a diameter of 1 cm and a length of 3 cm. Moreover, one end of each cylinder was pointed. The cylindrical ends of the samples were attached to the upper and lower rods, and the pointed ends were directed towards each other. The setup was set up so that focused light energy was directed at the pointed ends of the samples. The optical system of the device allows the sintering of samples under the influence of radiant energy of optical radiation with a power of up to 5 kW.
When pulses of light energy fall, the material absorbs it, as a result, the electronic and phonon subsystems of the sample are excited. At the beginning of heating, a drop of molten material is formed on the pointed part of the lower cylindrical sample, and the pointed part of the upper cylindrical sample serves as a seed on which solidification should begin. Solidification is carried out by pulling the seed from the hot melt zone with a smooth translational movement of the upper and lower rods.
In the installation, the sample was recrystallized by its translational movement downward at a given linear velocity V through the melt zone. Since the melting of the material is carried out without a crucible, the melt is held by surface tension forces. During the experiment, it was found that the optimal duration of the technological process was 5 minutes. It should be noted that the processes of melting and cooling of the material are carried out briefly under highly nonequilibrium temperature-gradient conditions (in a short time the temperature of the sample reaches up to 1300 K and then cooling occurs in open space).
The advantage of this synthesis method is that the process of obtaining the glass phase is carried out without the use of a crucible, free access of oxygen to the sample is ensured and the technological process time is greatly reduced (almost 2 times faster than with the solid-phase synthesis method), which leads to a reduction in energy costs. After completion of the zone recrystallization process, the melt obtained a sample in the form of an elongated dark glass phase. The resulting glass phase was ground, then the powders were pressed into tablets under a single pressure of 5 kN and annealed in a muffle furnace for 8 hours at a temperature of 1070 K. Let us designate these polycrystals as type 2 samples. Features of the synthesis modes for samples of each type are given in Table 1.
Table 1 shows the synthesis modes of the first and second stages for samples of types 1 and 2, respectively. The single-phase nature of the synthesized samples and the structural parameters were determined using Bruker D8ADVANCEECO X-ray diffractometers (CuKα radiation), (Germany, Karlsruhe). Microstructural and elemental analyses of the samples were carried out on scanning electron microscopes Hitachi TM3030 (Japan, Tokyo). Studies of the conductive parameters of the samples were carried out by the impedance method using an E7-30 device (Belarus, Minsk).

3. Results obtained and their discussion

Structural parameters of samples The synthesized samples had a light burgundy color and were ceramic tablets with a diameter of 10 mm and a thickness of 1.5 mm. The structural parameters of the resulting polycrystalline Na3Fe2(PO4)3 samples were studied by powder X-ray methods, using a diffractometer, and also using a Hitachi TM3030 scanning electron microscope with a Bruker microanalysis system. In Figure 1 X-ray diffraction patterns of Na3Fe2(PO4)3 samples of both types are presented.
The diffraction patterns of both polycrystals clearly show peaks at the corresponding X-ray scanning angles, but the intensity of the peaks of the type 2 sample is twice as high as that of type 1. This data indicates that the crystallites in type 2 polycrystals are better formed and more textured than in type 1 samples. The structural parameters of the samples were determined by analyzing the main peaks from the angular values using the Origin program. The calculated structural parameters of the samples are given in Table 2.
Given in the Table 2, the unit cell parameters for Na3Fe2(PO4)3 polycrystals are comparable with the literature data of other authors [2,24,28] and the data for a single crystal [22] given in Table 2. According to [28], the monoclinic distortion of Na3Fe2(PO4)3 polycrystals is associated with deformations of the anion and cation sublattices of the crystal frame, leading to compensated dipole orderings of the ASE type. It should be noted that the unit cell parameter b for a type 1 polycrystal is slightly increased; on the contrary, the parameters c and angle β are slightly reduced compared to the parameters of a type 2 sample. These changes in the structural parameters of Na3Fe2(PO4)3 polycrystals may be associated with additional deformations of the dipole moments of unit cells caused by different thermodynamic synthesis conditions. According to the tabular data, monoclinic distortions of unit cells in samples of type 1 are less than in type 2.
Obviously, the nature of the primary firing plays a key role in the sample manufacturing process. For samples of type 1, the process of phase formation during primary firing occurred through heat transfer in the smooth heating mode of a muffle furnace. On the contrary, the phase formation of type 2 samples occurred under highly temperature-gradient conditions, because The sample was heated by intense radiation of powerful quantum pulses onto the surface of the sample. Therefore, under these conditions, a large temperature gradient will be created between the surface of the sample and its subsequent layers in the volume. Under such conditions, a cooling process occurs. Taking into account that the duration of the melting and cooling processes occurred for a short time, these factors could lead to the emergence of significant gradients of mechanical stress on the surface and in the volume of the sample.
Thus, the melt process and the transition from a liquid melt to a solid glassy state occurs under clearly nonequilibrium thermodynamic conditions. Apparently, despite the secondary annealing of the sample at a moderate temperature, residual deformations remain in the polycrystal after firing. The presence of residual deformations in a type 2 sample may be the reason for a partial decrease in monoclinic distortion.
The study of the microstructure and elemental analysis of the synthesized samples made it possible to determine the distinctive features of the structure and composition of each sample. Data on the microstructures of polycrystals of the first and second types are shown in Figure 2 a and b.
Based on microstructural and X-ray phase analysis, it can be concluded that the texture of type 2 polycrystals is significantly higher than that of type 1 samples. The crystallites of polycrystals of type 2 have a clear ordered-directional character, in contrast to samples of type 1, which are characterized by the absence of directional order in the arrangement of crystallites. It is obvious that nonequilibrium temperature-gradient conditions create such deformations that remain during the crystallization process (during the secondary firing of the sample) and affect the formation of the direction of crystallites in the polycrystal. We can talk about the influence on the sample of mechanical pressure created by a “chemical press” (similar to the pressure created by a hydraulic press). From this point of view, such an effect cannot be achieved under equilibrium temperature firing conditions (when firing type 1 samples). Also, type 1 samples are characterized by a noticeably pronounced heterogeneity of crystallites in size and the unevenness of their distribution over the surface of the sample.
Microstructures of polycrystals, it can be concluded that type 2 samples have a higher degree of crystallinity and texture than type 1 samples.
According to the elemental composition of polycrystals, a violation of the stoichiometric ratio of atoms is observed. The results of the elemental composition of polycrystals are shown in Figure 2 and Table 3. Table 3. Values of the elemental composition of Na3Fe2(PO4)3 polycrystals of types 1 and 2
Figure 3. Percentage of elemental composition for Na3Fe2(PO4)3 polycrystals obtained by the solid-phase method: a) sample 1 type; melt method b) type 2 sample.
Figure 3. Percentage of elemental composition for Na3Fe2(PO4)3 polycrystals obtained by the solid-phase method: a) sample 1 type; melt method b) type 2 sample.
Preprints 87890 g003
Table 3. Average values of the elemental composition of amorphous precursors (Аtom %).
Table 3. Average values of the elemental composition of amorphous precursors (Аtom %).
Composition Атoм % О Р Fe Na
Na3Fe2(PO4)3 1-st type
Na3Fe2(PO4)3 2-nd type
atom % 61,20 15,20 9,50 15,20
norm % 61,18 15.22 9.51 15.22
fact % - 0.0003 + 0.0013 + 0.01 +0.0013
Na3Fe2(PO4)3 type - 2 norm % 57,80 16,10 11,00 15,20
fact % 57,76 16,06 11,00 15,18
Atom % - 0.0006 - 0.002 0 - 0.0013
Analysis of the results of studying the elemental composition of polycrystals of types 1 and 2 shows that there are minimal or no deviations from the norm in the content of Fe cations. In the case of type 1 samples, the content of Na and P, Fe cations turned out to be slightly higher relative to the stoichiometric composition. On the contrary, for type 2 samples the content of Na and P cations turned out to be lower than for the stoichiometric composition. Moreover, there is a slight lack of oxygen in samples of both types. The lack of Na and P cations in type 2 samples can be explained by the fact that under extreme temperature-gradient conditions of material synthesis, a small amount of fusible elements can evaporate. On the contrary, in samples of type 1 during solid-phase synthesis an excess of these elements is observed. Note that these minor changes in individual elements do not generally affect the formation of the Na3Fe2(PO4)3 phase, and polycrystals of both types, which is confirmed by X-ray phase analysis of the sample (see Figure 1).

Ionic conductivity of Na3Fe2(PO4)3 polycrystals

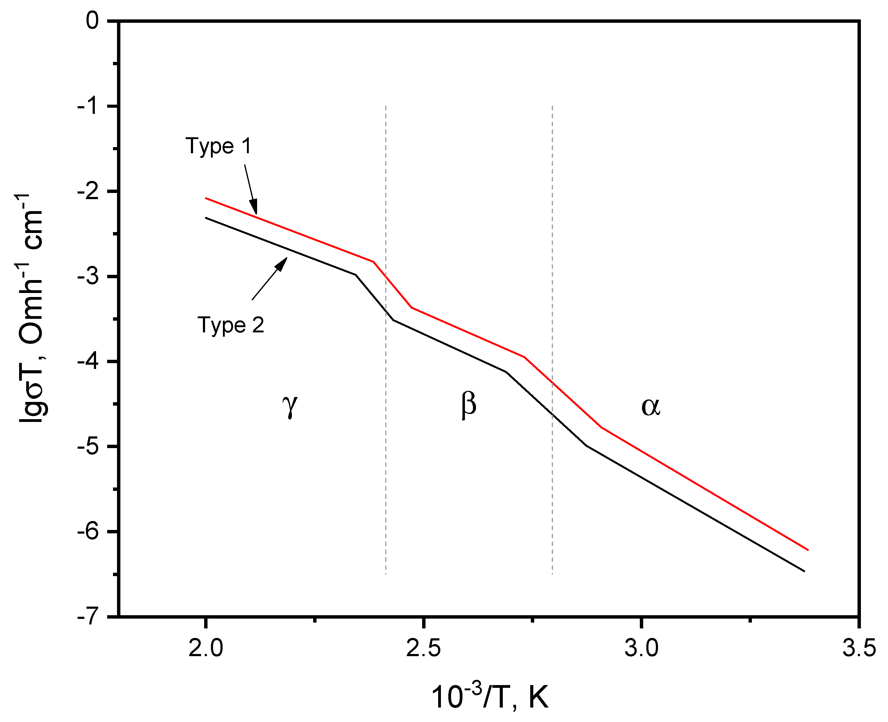
The ionic conductivity of the synthesized polycrystals was determined by the impedance method in the temperature range of 290 – 570 K. Silver paste was used as electrode material. The temperature dependence of the ionic conductivity of Na3Fe2(PO4)3 polycrystals of two types is presented in Figure 3. The temperature dependences of the conductivity of Na3Fe2(PO4)3 ionic polycrystals of both types obey the Arrhenius law and are characterized by three linear sections (in log σ(1/T) coordinates), corresponding to the three phases α, β, γ, respectively. These phases are separated by inclined “steps”, because phase transitions of polycrystals are usually blurred in the temperature dependences of conductivity. The reason for this is the isotropic orientation of crystallites in a polycrystal. Nevertheless.
Figure 3. Temperature dependences of the ionic conductivity of Na3Fe2(PO4)3 polycrystals obtained by solid-phase (type 1) and melt (type 2) methods.
Figure 3. Temperature dependences of the ionic conductivity of Na3Fe2(PO4)3 polycrystals obtained by solid-phase (type 1) and melt (type 2) methods.
Preprints 87890 g004
The temperature corresponding to the middle of the “step” is usually taken as the phase transition temperature (usually, the TC transition temperature established in this way for polycrystals coincides with the phase transition temperature established on single crystals). From Figure 3 it can be seen that the conductivities of type -2 samples are higher than the conductivities of type -1 samples throughout the entire temperature range. To carry out a comparative analysis of the conductive properties of the samples, additional processing of the experimental data was required. The parameters of conductivity and temperature of phase transitions were determined for samples of two types. Calculation data for ionic conductivity and phase transition temperatures are given in Table 3.
Table 3. Parameters of ionic conductivity and phase transition temperatures for Na3Fe2(PO4)3 polycrystals obtained by solid-phase (type 1) and melt (type 2) methods.
Table 3. Parameters of ionic conductivity and phase transition temperatures for Na3Fe2(PO4)3 polycrystals obtained by solid-phase (type 1) and melt (type 2) methods.
Parameter Phases Na3Fe2(PO4)3
1 тип 2 тип
Ionic conductivity σ, (Om∙ сm)–1 α (295К) 3.8·10–7 4.5·10–7
β (373К) 5.6·10–5 6.7·10–5
γ (573 К) 8.8·10–3 10.5·10–3
Activation energy ΔЕ, eV α 0.63 0.62
β 0.46 0.45
γ 0.39 0.39
Temperatures of phase transitions, К) α→β Тα→β=368 Тα→β=368
β→ γ Тβ→γ=418 Тβ→γ=418
From Table 3 it can be seen that for Na3Fe2(PO4)3 polycrystals of both types, similar ionic conductivity parameters have been established, however, the ionic conductivity of samples of the first type is lower than that of the second. Although the activation energies and phase transition temperatures of both samples are identical, this is probably due to the similarity of the compositions and structures of the samples. Apparently, the reason for the higher ionic conductivity of the sample of the second type is the presence in it of a higher deformation of the crystal structure, associated with more significant changes in the parameters of the structures with angular displacement β, than in the sample of the 1st type. It is possible that these structural changes may partially reduce the strong monoclinic distortions of the α-Na3Fe2(PO4)3 crystalline framework and lead to an increase in conductivity.
In [28], a slight increase in conductivity was also observed in a sample synthesized under the influence of hydrostatic pressure. Although in this case the increase in conductivity is associated with all-round compressive deformation of the sample, it also leads to a partial decrease in the monoclinic distortion of the anionic crystal frame, and therefore an increase in the “conductivity window” between the M(1) and M(2) cavities in the conductivity channel.
It should be noted that in the solid solution system Na3Fe2(1-x)Sc2x(PO4)3 (0<x<0.06) an increase in conductivity was observed [36]. The thing is. that the replacement of M-iron cations (rFe=0.54) with scandium atoms (rSc=0.82) in Na3Fe2(PO4)3 also leads to local tensile deformations of the crystalline framework, due to the difference in the ionic radii of the replaced elements. These deformations partially reduce the monoclinic distortion of the crystalline framework of the solid solution and partially increase the ionic conductivity it. This type of deformation occurs due to the action of a “chemical press” (local tensile deformation of the crystalline framework). From these results, it follows that the crystalline framework of Na3Fe2(PO4)3 is very “elastic”, mainly due to the presence of polyhedron units (PO4) in the anionic framework, which is confirmed by spectroscopic data from [29].
The results obtained can be explained by the fact that the Na3Fe2(PO4)3 polycrystals of the first type were formed under more equilibrium thermodynamic conditions, therefore the anionic crystal frame underwent relatively less deformation during synthesis than when the polycrystal was synthesized under the influence of optical radiation or when synthesized under the influence of hydrostatic pressure. Probably, the reason for the ambiguity of the resulting crystal structures during synthesis is the thermodynamic factor, which influences both the degree of deformation of polycrystal structures (i.e., the mechanical stresses present in the structure) and the degree of “openness” of the “conductivity window” between M(1)- and M(2) - cavities in the conduction channel. [12,13].
Of course, the technology for producing polycrystals of the second type, obtained by the melt method under the influence of optical radiation, is of practical interest, because This technology makes it possible to increase the conductivity of samples, which does not exclude an increase in capacitive properties during electrochemical processes in NIB. therefore, it can be used to create cathode materials of other compositions for scientific research. This technology deserves further research because... can be effective and used in the creation of cathode materials of various compositions for scientific research.

Conclusions

Based on the presented experimental results and analysis of the structural conductive properties of Na3Fe2(PO4)3 polycrystals obtained using different technological methods, the following conclusions can be drawn:
1) Na3Fe2(PO4)3 polycrystals prepared by solid-phase methods have a monoclinic-distorted system (space group at room temperature T = 295 K). It has been established that relatively equilibrium thermodynamic conditions for the synthesis of polycrystals (type 1 samples) contribute to the formation of a monoclinic-distorted crystal structure in them. However, the synthesis of Na3Fe2(PO4)3 polycrystals in a regime of sharply gradient temperatures (in nonequilibrium thermodynamic conditions) by the melt method under the influence of optical radiation (type 2 samples) leads to the creation of more noticeable shear and angular deformations in the structure of the crystalline framework, which contribute to the partial removal of monoclinic distortions.
2) It is concluded that the crystalline framework of Na3Fe2(PO4)3 is “elastic”, therefore the structure of the polycrystal is very sensitive to external nonequilibrium thermodynamic, mechanical, and chemical influences. The texture of polycrystals obtained by the solid-phase method of samples (type 1 samples) is less ordered than in samples obtained by the melt method under the influence of optical radiation (type 2 samples).
3) It has been established that samples of both types have similar conductive parameters, but the ionic conductivity of samples of the second type is slightly higher than that of the first. It is concluded that the reason for the higher ionic conductivity of samples of the second type is the presence of more pronounced shear and angular deformations of the crystalline framework, which can partially weaken the strong monoclinic distortions of the α-Na3Fe2(PO4)3 crystal structure and lead to a greater openness of the “conductivity window” in the conduction channel.
4) The technology for producing Na3Fe2(PO4)3 polycrystals by the melt method under the influence of optical radiation can be used to create other compositions of cathode materials to improve the processes of intercalation and deintercalation in NIB.

Author Contributions

A.N (Adolf Nogai). Writing the article, setting problems, analyzing the results, X-ray diffraction studies of the phase composition of HTSC ceramics, deciphering and analyzing the results, D.U. Development of technological regimes and production of initial amorphous precursors. Synthesis of Na3Fe2(PO4)3 polycrystals obtained by solid-phase (type 1) and melt (type 2) methods. , A.U. Study of structural parameters of Na3Fe2(PO4)3 polycrystals (types 1 and 2), N.E. Study of the microstructure and elemental composition of polycrystals Na3Fe2(PO4)3 T.D. Study of the conductive properties of Na3Fe2(PO4)3 polycrystals (types 1 and 2), Graphic processing of results and preparation of materials for the article. All authors have read and agreed to the published version of the manuscript.

Acknowledgments

The work was supported by a grant from the Committee of Science of the Ministry of Science and Higher Education of the Republic of Kazakhstan АР14871881

Conflict of interest

The authors declare no conflict of interest regarding the publication of this article.

References

  1. Ellis, L.B.; Linda, F. Sodium, and sodium-ion energy storage battery. Current Opinion Solid State Mater. Sci. 2012, 16, 168. [Google Scholar] [CrossRef]
  2. Liu, Y.; Zhou, Y.; Zhang, J.; et al. Monoclinic Phase Na3Fe2(PO4)3: Synthesis, Structure, and Electrochemical Performance as Cathode Material in Sodium-Ion Batteries. ACS Sustainable Chem. Eng. 2017, 5, 1306–1314. [Google Scholar] [CrossRef]
  3. Rajagopalan, R.; Chen, B.; Zhang, Z.; et al. Huang, Improved Reversibility of Fe3+ /Fe4+ Redox Couple in Sodium Super Ion Conductor Type Na3 Fe2 (PO4 )3 for Sodium-Ion Batteries. Adv. Mater. 2017, 1605694, 1–8. [Google Scholar] [CrossRef]
  4. Kuganathan, N.; Chroneos, A. Defect Chemistry and Na-Ion Diffusion in Na3Fe2(PO4)3 Cathode Material. Materials 2019, 12, 134. [Google Scholar] [CrossRef] [PubMed]
  5. Fang, Y.; Zhang, J.; Xiao, L.; et al. Phosphate Framework Electrode Materials for Sodium Ion Batteries. Adv. Sci. 2017, 1600392–1600413. [Google Scholar] [CrossRef] [PubMed]
  6. Lim, S.Y.; Kim, H.; a Shakoor, R.A.; et al. Electrochemical and Thermal Properties of NASICON Structured Na3V2(PO4)3 as a Sodium Rechargeable Battery Cathode: A Combined Experimental and Theoretical Study. Journal of The Electrochemical Society 2012, 159, A1393–A1397. [Google Scholar] [CrossRef]
  7. Palomares, V.; Serras, P.; Villalueng, I.; et al. Na-ion batteries, recent advances and present challenges to become low-cost energy storage systems. Energy Environ. Sci. 2012, 5, 5884. [Google Scholar] [CrossRef]
  8. V. Palomares, M. Casas-Cabanas, E. Castillo-Martínez, at al. Update on Na-based battery materials. A growing research path. Energy Environ. Sci. 2013, 6, 2312–2337. [Google Scholar] [CrossRef]
  9. Hwang, J.-Y.; Myung, S.-T.; Sun, Y.-K. Sodium-ion batteries: present and future. Chem. Soc. Rev. 2017, 46, 3529–3614. [Google Scholar] [CrossRef]
  10. Arnaiz, M.; Gómez-Cámer, J.L.; Gonzalo, E.; et al. Exploring Na-ion technological advances: Pathways from energy to power. 2021, 39, 1118–1131. [CrossRef]
  11. Kulova, T.L.; Skundin, A.M. From lithium-ion to sodium-ion batteries. Electrochemical energy. 2016, 16, 122–150. [Google Scholar] [CrossRef]
  12. Yabuuchi, N.; Kubota, K.; Dahbi, M.; Komaba, S. Research development on Sodium-ion Batteries. Chem. Rev. 2014, 114, 11636–11682. [Google Scholar] [CrossRef] [PubMed]
  13. Scrosati, B.; Garche, J. Lithium batteries: Status, prospects and future. J. Power Sources. 2010, 195, 2419–2430. [Google Scholar] [CrossRef]
  14. Skundin, A.M.; Efimov, O.N.; Yarmolenko, O.V. Current state and prospects for the development of lithium battery research. Advances in chemistry. 2002, 71, 378–398. [Google Scholar]
  15. Thackeray, M.M.; Wolverton, С.; Isaacs, E.D. Electrical energy storage for transportation – approaching the limits of, and going beyond, lithium–ion batteries. Energy & Environ. Sci. 2012, 5, 7854–7863. [Google Scholar]
  16. Jianlin, L.; Claus, D.; David, W. Materials processing for lithium-ion batteries. J. Power Sources. 2011, 196, 2452–2460. [Google Scholar]
  17. Slater, M.D.; Kim, D.; Lee, E.; Johnson, C.S. Sodium-Ion Batteries. Adv. Funct. Mat. 2013, 23, 947–958. [Google Scholar] [CrossRef]
  18. Komaba, S.; Hasegawa, T.; Dahbi, M.; Kubota, K. Potassium intercalation into graphite to realize high-voltage/high-power potassium-ion batteries and potassium-ion capacitors. Electrochem. Commun. 2015, 60, 172–175. [Google Scholar] [CrossRef]
  19. Masquelier, C.; Croguennec, L. Polyanionic (phosphates, silicates, sulfates) frameworks as electrode materials for rechargeable Li (or Na) batteries. Chem. Rev. 2013, 113, 6552–6591. [Google Scholar] [CrossRef]
  20. Masquelier, C.; Wurm, C.; Rodrı’guez–Carvajal, J.; et al. A Powder Neutron Diffraction Investigation of the Two Rhombohedral NASICON Analogues: γ– Na3Fe2(PO4)3 and Li3Fe2(PO4)3. Chem. Mater. 2000, 12, 525–532. [Google Scholar] [CrossRef]
  21. D’Yvoire, F.; Pintard–Screpel, M.; Bretey, E.; et al. Les phosphate Na4M2(PO4)3: (M=Cr, Fe) et Na4Cr2(PO4)3: donnees cristallographiques et conductivete ionque. C. R. Acad. Sci. 1980, 290, 185–188. [Google Scholar]
  22. D’Yvoire, F.; Pintard–Screpel, M.; Bretey, E.; et al. Phase transitions and ionic conduction in 3d skeleton phosphates A3M2(PO4)3: A = Li, Na, Ag, K ; M = Cr, Fe. Solid State Ionics. 1983, 10, 851–858. [Google Scholar] [CrossRef]
  23. De la Rochere МDl d’Yvoire, F.; Collin, G.; et al. NASICON type materials Na3М2(PO4)3 (М=Fe, Cr), Na+ – Na+ correlation and phase transition. Solid State Ionics. 1983, 9–10, 825–828. [Google Scholar] [CrossRef]
  24. Kravchenko, V.V.; Sigaryov, S.E. Structural features of the superionic phase transitions in Na3Fe2(PO4)3. Solid State Coммunications. 1992, 83, 149–152. [Google Scholar] [CrossRef]
  25. Houria Kabbour,† Daniel Coillot,† Marie Colmont, et al. α- Na3М2(PO4)3 (M = Ti, Fe): Absolute Cationic Ordering in NASICON-Type Phases. American Chemical Society 2011, 133, 11900. [Google Scholar] [CrossRef] [PubMed]
  26. Kalinin, V.B.; Lazoryak, B.I.; Stefanovich, S.Y. Phase transitions in Na3Sc2(PO4)3 and in related compounds with {[М2(PO4)3] P –}3∞ frameworks. Crystallography 1983, 28, 264–270. [Google Scholar]
  27. Kalinin, V.B.; Stefanovich, S.Y.; Nogai, A. Crystal chemistry and properties of compounds with rhombohedral frameworks of composition {[M2(TO4)3]3–}3∞. and solid solutions based on them. Inorganic materials. 1986, 22, 107–111. [Google Scholar]
  28. Nogai, A.A.; Nogai, A.S.; Stefanovich, S.Y.; et al. The Dipole Ordering and the Ionic Conductivity in the NASICON–Like Structures of the Na3Fe2(PO4)3 Type. Physics of the Solid State. 2020, 62, 1370–1379. [Google Scholar] [CrossRef]
  29. Bih, H.; Bih, L.; Manoun, B. Raman spectroscopic study of the phase transitions sequence in Li3Fe2(PO4)3 and Na3Fe2(PO4)3 at high temperature. J. of Molecular Structure. 2009, 147–149. [Google Scholar] [CrossRef]
  30. Belokoneva, E.L.; Ruchkina, E.A.; Dimitrova, O.V.; et al. New trigonal Na3Fe2(PO4)3 phase: Synthesis and crystal structure. Russ. J. Inorg. Chem. 2002, 47, 1297–1300. [Google Scholar]
  31. Nogai, A.S.; Nogai, S.Y.; Stefanovich, D.E.; Uskenbae. Electrochemical properties of Na3Fe2(PO4)3 cathode materials produced by various synthesis methods and evaluation of the possibility of their use in sodium-ion batteries. Eurasian Journal of Physics and Functional Materials 2022, 6, 223–233. [Google Scholar] [CrossRef]
  32. Cao, Y.; Liu, Y.; Chen, T.; et al. Sol-gel synthesis of porous Na3Fe2(PO4)3 with enhanced sodium-ion storage capability. 2018, 1 – 8. [CrossRef]
  33. Bush, A.A. Physico-chemical foundations and methods of single crystal growth, growing Al2O3 crystals by crucibleless zone melting. MSTU MIREA, M. 2011, 36 p.
  34. Lebedeva, S.G.; Yantsa, V.E.; Lebedev, A.S. Correlations between switching of conductivity and optical radiation observed in thin graphite-like films. Nuclear Instruments and Methods in Physics Research A. 2008, 590, 227–233. [Google Scholar] [CrossRef]
  35. Gulamova, D.D., D. E. Effect. Applied Solar Energy (English translation of Geliotekhnika). 2006, 42, 40–42. [Google Scholar]
  36. Nogai, A.S.; Nogai, A.A.; Nogai, E.A.; Bush, A.A.; Uskenbaev, D.E. Influence of substitutions on the structure ionic conductivity and phase transitions in the system Na3Fe2(1-х)Sc2x(PO4)3 of (0<x<0.06) solid solutions. Eurasian Journal of Physics and Functional Materials. 2023, 7, 107–114. [Google Scholar]
Figure 1. Diffraction patterns of Na3Fe2(PO4)3 polycrystals obtained by solid-phase (Type 1) and melt (Type 2) methods.
Figure 1. Diffraction patterns of Na3Fe2(PO4)3 polycrystals obtained by solid-phase (Type 1) and melt (Type 2) methods.
Preprints 87890 g001
Figure 2. Microstructures of polycrystals and percentage of elemental composition for Na3Fe2(PO4)3 (at a scale of 30 μm), obtained by the solid-phase method: a) sample 1 type; melt method b) type 2 sample.
Figure 2. Microstructures of polycrystals and percentage of elemental composition for Na3Fe2(PO4)3 (at a scale of 30 μm), obtained by the solid-phase method: a) sample 1 type; melt method b) type 2 sample.
Preprints 87890 g002
Table 1. Technological regimes for the synthesis of polycrystalline Na3Fe2(PO4)3 samples obtained by solid-phase (type 1) and melt (type 2) methods.
Table 1. Technological regimes for the synthesis of polycrystalline Na3Fe2(PO4)3 samples obtained by solid-phase (type 1) and melt (type 2) methods.
Types of polycrystals 1st annealing 2nd annealing
Firing temperatures T, K Time annealing t, h Firing temperatures T, K Annealing time t, h
1st type - Na3Fe2(PO4)3 870 8 1070 8
2nd type Na3Fe2(PO4)3 1270 0.083 1070 8
Table 2. Structural parameters of Na3Fe2(PO4)3 polycrystals obtained by solid-phase (type 1) and melt (type 2) methods.
Table 2. Structural parameters of Na3Fe2(PO4)3 polycrystals obtained by solid-phase (type 1) and melt (type 2) methods.
Temperature Т,К Sp. gr. Unit cell parameters
Types of samples а, Å b, Å с, Å α0 β0 γ0
Na3Fe2(PO4)3
1st type
295 C 2 / m 15.1230 8.7168 21.5963 90.00 90.37 90.00
Na3Fe2(PO4)3
2nd type
295 C 2 / m 15.1320 8.7071 21.6082 90.00 90.42 90.00
Disclaimer/Publisher’s Note: The statements, opinions and data contained in all publications are solely those of the individual author(s) and contributor(s) and not of MDPI and/or the editor(s). MDPI and/or the editor(s) disclaim responsibility for any injury to people or property resulting from any ideas, methods, instructions or products referred to in the content.
Copyright: This open access article is published under a Creative Commons CC BY 4.0 license, which permit the free download, distribution, and reuse, provided that the author and preprint are cited in any reuse.
Prerpints.org logo

Preprints.org is a free preprint server supported by MDPI in Basel, Switzerland.

Subscribe

Disclaimer

Terms of Use

Privacy Policy

Privacy Settings

© 2026 MDPI (Basel, Switzerland) unless otherwise stated