Submitted:
12 October 2023
Posted:
13 October 2023
You are already at the latest version
Abstract
Keywords:
1. Introduction
2. Theory
3. The Copper Vicinal Surfaces Cu(11α)

| Surface | φ | ns | ac | ki,max | D | T | η | λHAS |
|---|---|---|---|---|---|---|---|---|
| [eV] | [Å21 | [Å-1] | [meV] | [K] | ||||
| Cu(112) a | 4.53 b | 6.8 c | 5.64 d | ~5.0 | 8.25 e | 130 | 1 | 0.29 |
| ~6.5 | 2 | 0.45 | ||||||
| 15.9 i | ~5.0 | 8.25 e | 130 | 1 | 0.10 | |||
| ~6.5 | 2 | 0.16 | ||||||
| Cu(115) a | 4.53 b | 6.8 c | 6.52 d | ~5.5 | 6.35 e | 130 | 1 | 0.26 |
| ~7.0 | 2 | 0.38 | ||||||
| Al(221) f | 4.26 h | 1.6 c | 7.09 d | ~6.5 | 7.0 e | 135 | 1 | 0.72 |
| Al(332) g | 4.26 h | 1.6 c | 7.09 d | ~7.2 | 7.0 e | 130 | 1 | 0.61 |
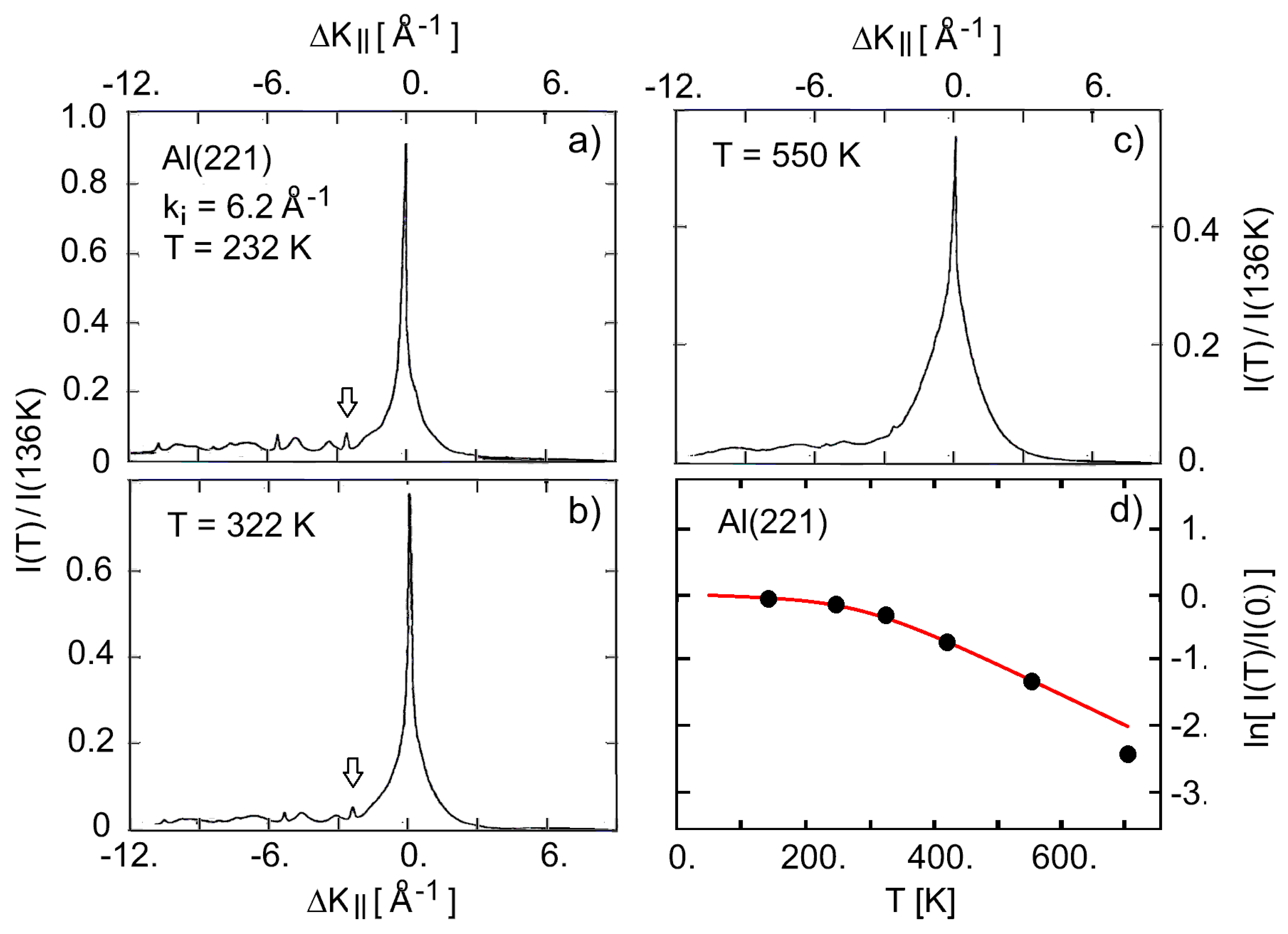
4. The Aluminium Vicinal Surfaces Al(221) and Al(332)
5. Conclusions
Acknowledgements
References
- C. Comsa, G. Mechtersheimer, B. Poelsema, S. Tomoda Direct Evidence for Terrace Bending from He Beam Scattering on Pt(997), Surf. Sci. 89, 123 (1979).
- J. Harris, A. Liebsch, G. Comsa, G. Mechtersheimer, B. Poelsema, S. Tomoda, Refraction effects in atom scattering from stepped surfaces, Surf. Sci. 118, 279 (1982).
- J. Villain, D.R. Grempel, J. Lapujoulade, Roughening transition of high-index crystal faces: the case of copper, J. Phys. F 15, 809 (1985).
- M. den Nijs, E. K. Riedel, E. H. Conrad, and T. Engel, Roughening of Stepped Metal Surfaces, Phys. Rev. Lett. 55, 1689 (1985) Erratum: Phys. Rev. Lett. 57, 1279 (1986).
- E. H. Conrad, L. R. Allen, D. L. Blanchard, T. Engel, Kosterlitz-Thouless roughening at the Ni(113) surface, Surf. Sci. 187, 265 (1987).
- E. H. Conrad, R. M. Aten, D. S. Kaufman, L. R. Allen, T. Engel, M. den Nijs, E. K. Riedel, Observation of surface roughening on Ni(115), J. Chem. Phys. 84, 1015 (1986); E: J. Chem. Phys. 85, 4756 (1986).
- A. Bartolini, F. Ercolessi, and E. Tosatti, “Magic” Vicinal Surfaces Stabilized by Reconstruction, Phys. Rev. Lett. 63, 872 (1989).
- J. Lapujoulade, B. Salanon, F. Fabre, and B. Loisel, The Roughening Transition of Vicinal Surfaces, in Kinetics of Ordering and Growth at Surfaces, ed. by M. G. Lagally (Plenum Press, New York, 1990) p. 355, and references therein.
- J. Lapujoulade, The roughening transition at metal surfaces, Surf. Sci. Rep. 20, 191 (1994).
- E. Hahn, H. Schief, V. Marsico, A. Fricke, and K. Kern, Orientational Instability of Vicinal Pt Surfaces Close to (111), Phys. Rev. Lett. 72, 3378 (1994).
- J. W. M. Frenken and P. Stoltze, Are Vicinal Metal Surfaces Stable?, Phys. Rev. Lett. 82, 3500 (1999).
- E. Le Goff, L. Barbier, L. Masson, and B. Salanon, Vicinal surfaces: free energy, terrace width distribution and step correlation functions, Surf. Sci. 432, 139(1999).
- P. Nozières, The roughening transition of vicinal surfaces, Eur. Phys. J. B 24, 383–386 (2001).
- E. G. Michel (ed.), Vicinal surfaces, J. Phys.: Condens. Matter, 15, E01 (2003); a special section collecting ten contributions on the expected relevant role of vicinal surfaces in different areas of surface science.
- C. Barreteau, F. Raouafi, M.-C. Desjonquères, D. Spanjaard, Modelisation of transition and noble metal vicinal surfaces: energetics, vibrations and stability, J. Phys.: Cond. Matter 15, S3171 (2003).
- J. L. F. Da Silva, C. Barreteau, K. Schroeder, and S. Blügel, All-electron first-principles investigations of the energetics of vicinal Cu surfaces, Phys. Rev. B 73, 125402 (2006).
- D. K. Yu, H. P. Bonzel, and M. Scheffler, The stability of vicinal surfaces and the equilibrium crystal shape of Pb by first principles theory, New Journal of Physics 8, 65 (2006).
- P. Hecquet, Stability of vicinal surfaces and role of the surface stress, Surf. Sci. 604, 834 (2010).
- L. Guin, M. E. Jabbour, L. Shaabani-Ardali, L. Benoit-Maréchal, and N. Triantafyllidis, Stability of Vicinal Surfaces: Beyond the Quasistatic Approximation, Phys. Rev. Lett. 124, 036101 (2020).
- L. Guin, M.E. Jabbour, L. Shaabani-Ardali, and N. Triantafyllidis, Revisiting step instabilities on crystal surfaces. Part I: The quasistatic approximation, J. Mech. Phys. Solids, 156, 104574 (2021); Part II: General theory, J. Mech. Phys. Solids, 156, 104582 (2021).
- V. Marsico, M. Blanc, K. Kuhnke, and K. Kern, Discrete Row Growth at Vicinal Surfaces ,Phys. Rev. Lett. 78, 94 (1997).
- K. Kuhnke and K. Kern, Vicinal metal surfaces as nanotemplates for the growth of low-dimensional structures, J. Phys.: Condens. Matter 15, S3311, (2003).
- T.-Y. Lee, S. Sarbach, K. Kuhnke , K. Kern, Growth and surface alloying of Fe on Pt(997), Surf. Sci. 600, 3266 (2006).
- Ch. Tegenkamp, Vicinal surfaces for functional nanostructures, J. Phys.: Condens. Matter 21, 013002 (2009).
- B. L. M. Hendriksen, M. D. Ackermann, R. van Rijn, D. Stoltz, I. Popa, O. Balmes, A. Resta, D. Wermeille, R. Felici, S. Ferrer, and J. W. M. Frenken, The role of steps in surface catalysis and reaction oscillations, Nature Chem. 2, 730 (2010).
- L.-F. Zhang, L. Flammia, L. Covaci, A. Perali and M. V. Miloševic, Multifaceted impact of a surface step on superconductivity in atomically thin films, Phys. Rev. B 96, 104509 (2017).
- Y. Xu, G. Jiang, J. Chiu, L. Miao, E. Kotta, Y. Zhang, R. R. Biswas, and L.A. Wray, Connection topology of step edge state bands at the surface of a three-dimensional topological insulator, New J. Phys. 20, 073014 (2018).
- Z.-H. Wang, F. Xu, L. Li, R. Lü, B. Wang, and W.-Q. Chen, One-dimensional topological superconductivity at the edges of twisted bilayer graphene nanoribbons, Phys. Rev. B 100, 094531 (2019).
- L. X. Xu, Y.Y Y. Xia, S. Liu, Y. W. Li, L.Y. Wei, H. Y. Wang, C. W. Wang, H. F. Yang, A. J. Liang, K. Huang , T. Deng, W. Xia, X. Zhang, H. J. Zheng, Y. J. Chen, L. X. Yang, M. X. Wang, Y. F. Guo , G. Li, Z. K. Liu, and Y. L. Chen, Evidence of a topological edge state in a superconducting non-symmorphic nodal-line semimetal, Phys. Rev. B 103, L201109 (2021).
- J. R. Manson, G. Benedek, S. Miret-Artés, Atom scattering as a probe of the surface electron-phonon interaction at conducting surfaces, Surf. Sci. Rep. 77,100552 (2022).
- J. R. Manson, G. Benedek, and Salvador Miret-Artès, Electron–Phonon Coupling Strength at Metal Surfaces Directly Determined from the Helium Atom Scattering Debye–Waller Factor, J. Phys. Chem. Lett. 7, 1016 (2016); 7, 1691 (2016).
- G. Benedek, Salvador Miret-Artès, J. P. Toennies, and J. R. Manson, Electron-Phonon Coupling Constant of Metallic Overlayers from Specular He-Atom Scattering, J. Phys. Chem. Lett. 9, 76−83 (2018).
- G. Benedek, J. R. Manson, and S. Miret-Artés, The Electron-Phonon Coupling Constant for Single-Layer Graphene on Metal Substrates Determined from He Atom Scattering, PCCP 23, 7553 (2021).
- G. Benedek, S. Miret-Artès, J. R. Manson, A. Ruckhofer, W. E. Ernst, and A. Tamtögl, Origin of the Electron-Phonon Interaction of Topological Semimetal Surfaces Measured with Helium Atom Scattering, J. Phys. Chem. Letters 11, 1927-1933 (2020).
- A. Tamtögl, P. Kraus, N. Avidor, M. Bremholm, E. M. J. Hedegaard, Bo B. Iversen, M. Bianchi, Ph. Hofmann, J. Ellis, W. Allison, G. Benedek, and W. Ernst, Electron-Phonon Coupling and Surface Debye Temperature of Bi2Te3(111) from Helium Atom Scattering, Phys. Rev. B 95, 195401 (2017).
- A. Ruckhofer, D. Campi, M. Bremholm, Ph. Hofmann, G. Benedek, M. Bernasconi, W. E. Ernst, and A. Tamtögl, THz Surface Excitations and Electron-Phonon Coupling in Bi2Se3(111) from Helium Atom Scattering, Phys. Rev. Res. 2, 023186 (2020).
- A. Ruckhofer, G. Benedek, M. Bremholm, W. E. Ernst, and A. Tamtögl, “Observation of Dirac Charge-Density Waves in Bi2Te2Se”, Nanomaterials 13, 476 (2023).
- G. Anemone, M. Garnica, M. Zappia, P. Casado Aguilar, A. Al Taleb, C.-N. Kuo, C. S. Lue, A. Politano, G. Benedek, A. L. Vázquez de Parga, R. Miranda, and D. Farías, Experimental determination of surface thermal expansion and electron-phonon coupling constant of 1T-PtTe2, 2D Materials 7, 025007 (2020).
- G. Anemone, P. Casado Aguilar, M. Garnica, F. Calleja, A. Al Taleb, C.-N. Kuo, C. S. Lue, A. Politano, A. L. Vàzquez de Parga, G. Benedek, D. Farìas, and R. Miranda, Electron-phonon coupling in superconducting 1T-PdTe2, npj 2D Materials and Applications 5, 25 (2021).
- G. Benedek, J. R. Manson, S. Miret-Artés, A. Ruckhofer, W. E. Ernst, A. Tamtögl, and J. P. Toennies, Measuring the Electron-Phonon Interaction in Two-Dimensional Superconductors with He Atom Scattering, Condens. Matter 5, 79 (2020); E: Condens. Matter 6, 54 (2021).
- G. Benedek, J. R. Manson, and S. Miret-Artés, The Electron–Phonon Interaction of Low-Dimensional and Multi-Dimensional Materials from He Atom Scattering, Advanced Materials 32, 2002072 (2020).
- J. Lapujoulade, J. Perreau and A. Kara, The Thermal Attenuation of Elastic Scattering of Helium from Copper Single Crystal Surfaces, Surf. Sci. 129, 59 (1983).
- J. Lapujoulade, Y. Lejay and N. Papanicolaou, Diffraction of Helium from a Stepped Surface: Cu(117)—An Experimental Study, Surf. Sci. 90 (1979) 133.
- G. Witte, J. Braun, A. Lock, and J.P. Toennies, Helium-atom-scattering study of the dispersion curves of step-localized phonons on Cu(211) and Cu(511), Phys. Rev. B 52, 2165 (1995).
- S. Miret-Artés, J. P. Toennies, and G. Witte, Surface-scattering study of the interaction potential of He atoms with the step edges of the Cu(211) and Cu(511) vicinal surfaces, Phys. Rev. B 54, 5881 (1996).
- A. Lock, Untersuchung der Struktur und Dynamik von gestuften Metall-Einkrill-oberflächen mittels Helium-Atomstreuung (Max-Planck-Institut für Strömungsforschung, Göttingen, Bericht 2/1991) ISSN 0436-1199.
- B.J. Hinch, A. Lock, H. H. Madden, J. P. Toennies, and G. Witte, Helium-atom scattering investigation of facetting of the Al stepped (332) surface, Phys. Rev. B 42, 1547 (1990).
- C.I. Medel-Ruiz, J.R. Molina-Contreras, C. Frausto-Reyes, J.R. Sevilla-Escoboza, H. Pérez Ladron de Guevara, Influence of the surface roughness on electron-phonon interaction in an intrinsic CdTe single crystal, Physica B 603 (2021) 412785.
- P.O. Gartland, S. Berge, B.J. Slagsvold, Photoelectric work function of a copper single-crystal for (100), (110), (111) and (112) faces, Phys. Rev. Lett. 28 (1972) s738.
- In Ref. [30], Eq. (151), the exponent γ ≡ -η is used, with the value γ = -1.
- J.L. Beeby, Scattering of helium atoms from surfaces, J. Phys. Chem. 4, L359 (1971).
- G. Vidali, G. Ihm, H.-Y. Kim, and M. W. Cole, Surf. Sci. Rep. 12, 133-181 (1991).
- J. Grepstad, P. Gartland, B. Slagsvold, Anisotropic workfunction of of clean and smooth low-index faces of aluminium, Surf. Sci. 57, 348 (1976). The (111) terrace workfunction is used for the two vicinal surfaces.
- G. Witte, Characterization of structure and dynamics of clean and adsorbate covered oxide and metal surfaces, Thesis (Georg-August Universität Göttingen, 1995).
- A. Lock, J. P. Toennies, G. Witte, Surface Phonons at Stepped Metal Surfaces, J. El. Spect. Rel. Phen., 54-55, 309 (1999).
- J. Lapujoulade, Y. Lejay and G. Armand, The Thermal Attenuation of Coherent Elastic Scattering of Noble Gas From Metal Surfaces ,Surface Sci. 95, 107 (1980).
- G. Grimvall, The Electron-Phonon Interaction in Metals, North-Holland, New York, 1981.
- J.R. Noonan, H.L. Davis, J. Vac. Sci. Technol. A8, 2671 (1990).
- Y. Zhang and D.J. Flannigan, Imaging Nanometer Phonon Softening at Crystal surface Steps with 4D Ultrafast Electron Microscopy, Nano Lett. 21, 7332 (2021).
- T.-Y. Lee, S. Sarbach, K. Kuhnke, K. Kern, Growth and surface alloying of Fe on Pt(997), Surf. Sci. 600, 3266 (2006).
- Quanxin Hu, Fazhi Yang, Xingyu Wang, Jiajun Li, Wenyao Liu, Lingyuan Kong , Shiliang Li, Lei Yan, Jinpeng Xu , and Hong Ding, Surface superconductivity emerged from disordered surface in undoped BaFe2As2, Phys. Rev. Materials 7, 034801 (2023).






Disclaimer/Publisher’s Note: The statements, opinions and data contained in all publications are solely those of the individual author(s) and contributor(s) and not of MDPI and/or the editor(s). MDPI and/or the editor(s) disclaim responsibility for any injury to people or property resulting from any ideas, methods, instructions or products referred to in the content. |
© 2023 by the authors. Licensee MDPI, Basel, Switzerland. This article is an open access article distributed under the terms and conditions of the Creative Commons Attribution (CC BY) license (http://creativecommons.org/licenses/by/4.0/).
