Submitted:
22 May 2025
Posted:
23 May 2025
You are already at the latest version
Abstract
Keywords:
1. Introduction
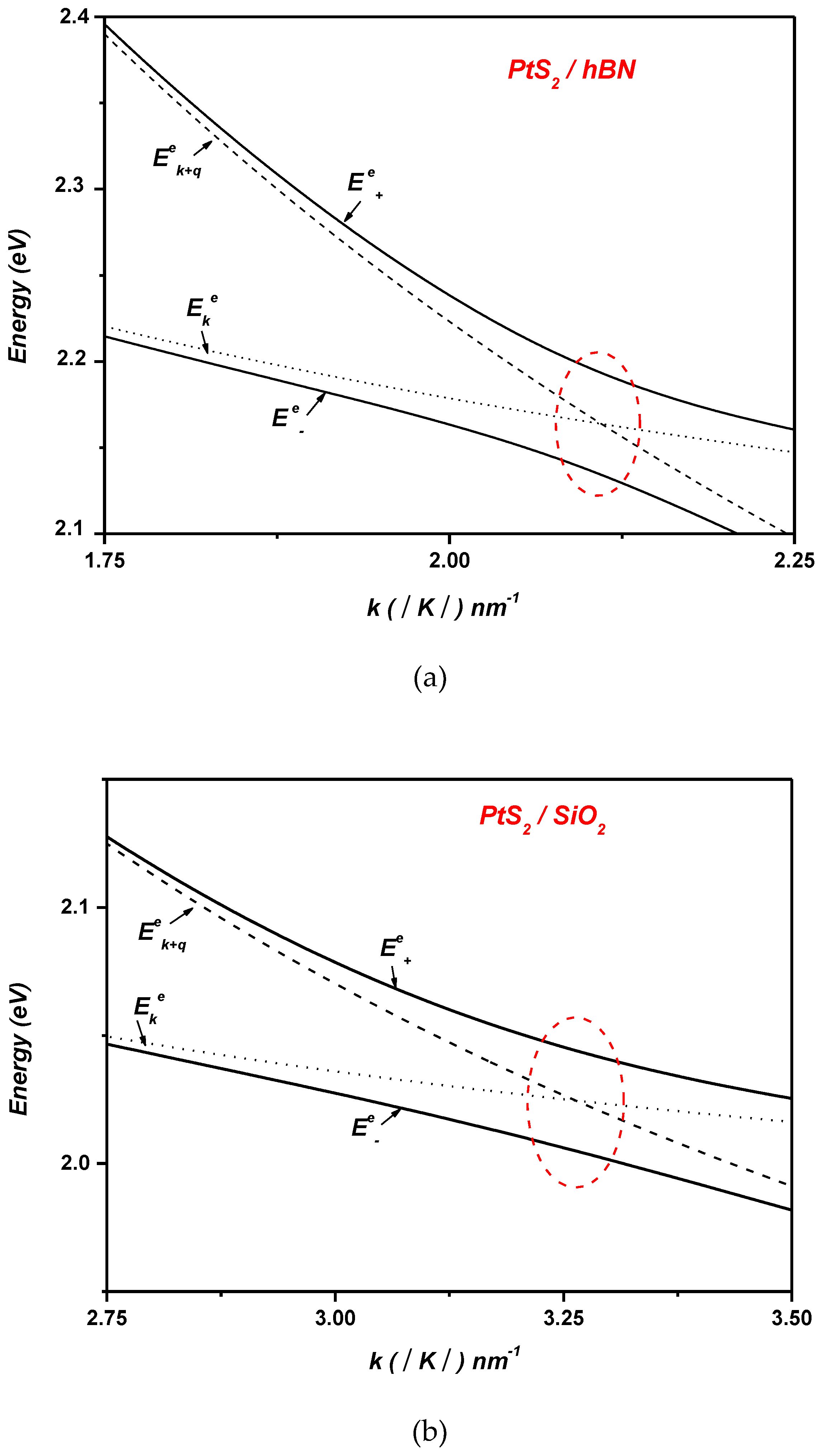
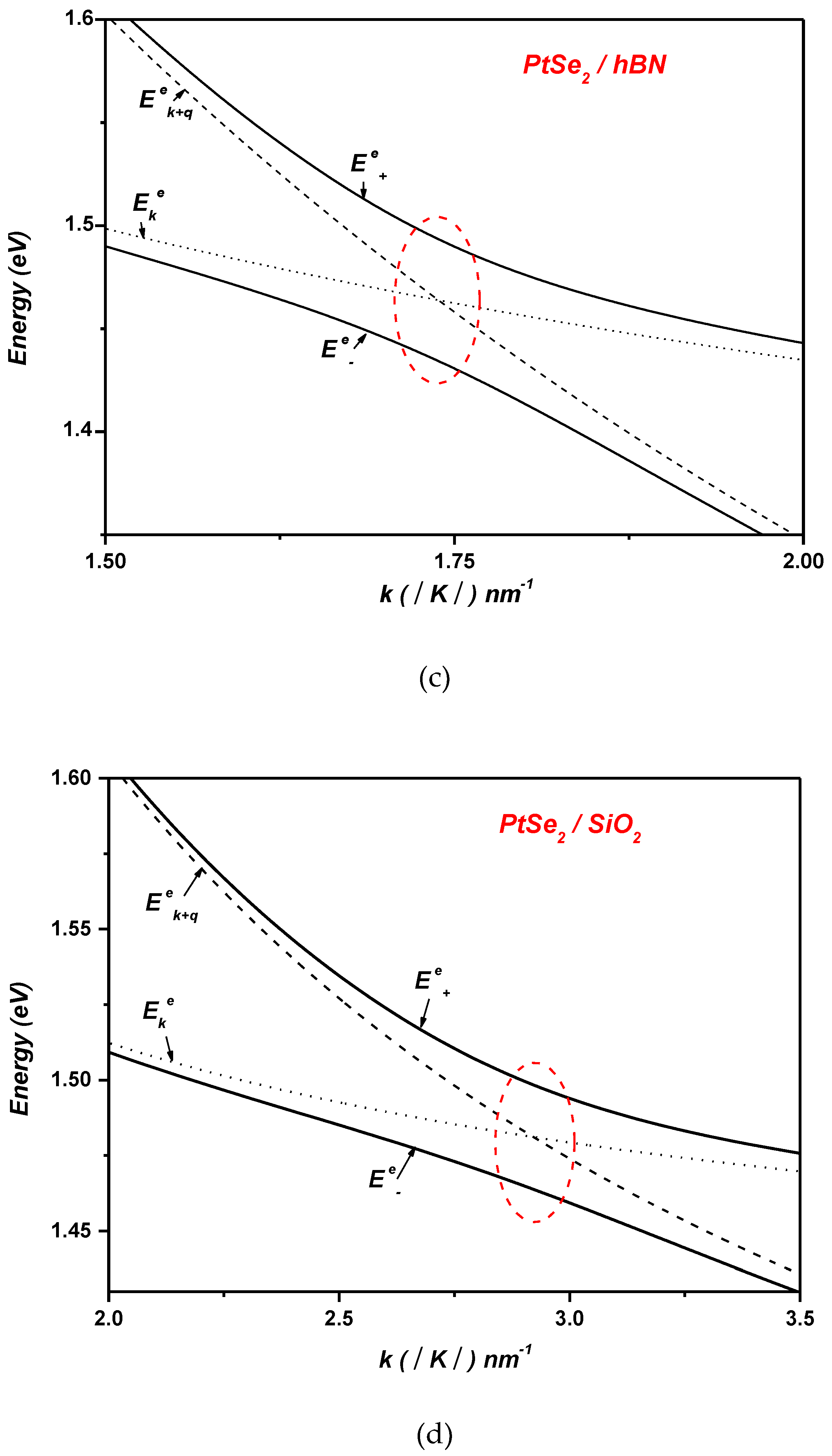
2. Electron-Surface Optical Phonon Interaction in ML PtSe2 and PtS2 on Polar Substrates
3. Polaronic Oscillator Strength of ML PtS2 and PtSe2 on SiO2 and hBN Dielectric Polar Substrates
4. Polaronic Scattering Rate in ML and on Polar Substrates
5. Conclusions
Author Contributions
Funding
Institutional Review Board Statement
Informed Consent Statement
Data Availability Statement
Conflicts of Interest
References
- Miró, P.; Ghorbani-Asl, M.; Heine, T. Two Dimensional Materials Beyond MoS2: Noble-Transition-Metal Dichalcogenides. Angew. Chemie Int. Ed. 2014, 53, 3015–3018. [Google Scholar] [CrossRef] [PubMed]
- Zhao, Y.; Qiao, J.; Yu, Z.; Yu, P.; Xu, K.; Lau, S.P.; Zhou, W.; Liu, Z.; Wang, X.; Ji, W.; et al. High-Electron-Mobility and Air-Stable 2D Layered PtSe2 FETs. Adv. Mater. 2017, 29, 1604230. [Google Scholar] [CrossRef]
- Oyedele, A.D.; Yang, S.; Liang, L.; Puretzky, A.A.; Wang, K.; Zhang, J.; Yu, P.; Pudasaini, P.R.; Ghosh, A.W.; Liu, Z.; et al. PdSe2: Pentagonal Two-Dimensional Layers with High Air Stability for Electronics. J. Am. Chem. Soc. 2017, 139, 14090–14097. [Google Scholar] [CrossRef] [PubMed]
- Ermolaev, G.; Voronin, K.; Baranov, D.G.; Kravets, V.; Tselikov, G.; Stebunov, Y.; Yakubovsky, D.; Novikov, S.; Vyshnevyy, A.; Mazitov, A.; et al. Topological phase singularities in atomically thin high-refractive-index materials. Nature Communications 2022, 13, 2049. [Google Scholar] [CrossRef]
- Yu, X.; Yu, P.; Wu, D.; Singh, B.; Zeng, Q.; Lin, H.; Zhou, W.; Lin, J.; Suenaga, K.; Liu, Z.; et al. Atomically thin noble metal dichalcogenide: A broadband mid-infrared semiconductor. Nat. Commun. 2018, 9, 1545. [Google Scholar] [CrossRef]
- Yuan, J.; Mu, H.; Li, L.; Chen, Y.; Yu, W.; Zhang, K.; Sun, B.; Lin, S.; Li, S.; Bao, Q. Few-Layer Platinum Diselenide as a New Saturable Absorber for Ultrafast Fiber Lasers. ACS Appl. Mater. Interfaces 2018, 10, 21534–21540. [Google Scholar] [CrossRef]
- Han, S.S.; Kim, J.H.; Noh, C.; Kim, J.H.; Ji, E.; Kwon, J.; Yu, S.M.; Ko, T.-J.; Okogbue, E.; Oh, K.H.; et al. Horizontal-to-VerticalTransition of 2D Layer Orientation in Low-Temperature Chemical Vapor Deposition-Grown PtSe 2 and Its Influences on Electrical Properties and Device Applications. ACS Appl. Mater. Interfaces 2019, 11, 13598–13607. [Google Scholar] [CrossRef] [PubMed]
- Jia, Y.; Li, Z.; Wang, H.; Saeed, M.; Cai, H. Sensitivity Enhancement of a Surface Plasmon Resonance Sensor with Platinum Diselenide. Sensors 2019, 20, 131. [Google Scholar] [CrossRef]
- Wang, Y.; Deng, Z.-L.; Hu, D.; Yuan, J.; Ou, Q.; Qin, F.; Zhang, Y.; Ouyang, X.; Li, Y.; Peng, B.; et al. Atomically Thin Noble Metal Dichalcogenides for Phase-Regulated Meta-optics. Nano Lett. 2020, 20, 7811–7818. [Google Scholar] [CrossRef]
- Lin, H.; Xu, Z.-Q.; Cao, G.; Zhang, Y.; Zhou, J.; Wang, Z.; Wan, Z.; Liu, Z.; Loh, K.P.; Qiu, C.-W.; et al. Diffraction-limited imaging with monolayer 2D material-based ultrathin flat lenses. Light Sci. Appl. 2020, 9, 137. [Google Scholar] [CrossRef]
- Zhang, C.; et al. High mobility and gate-tunable transport in PtSe2 thin films. Advanced Functional Materials 2023, 33, 2208725. [Google Scholar]
- Aftab, S.; et al. Ambient stable PtS2 thin films on SiO2 for optoelectronic applications. Journal of Alloys and Compounds 2023, 945, 169188. [Google Scholar] [CrossRef]
- Yang, F.; et al. Layer-dependent optical properties of PtSe2 and PtS2 for broadband photodetection. ACS Applied Materials & Interfaces 2024, 16, 1304–1312. [Google Scholar]
- Lee, J.H.; et al. Photocarrier dynamics in PtS2-based photodetectors. Nano Research 2023, 16, 582–591. [Google Scholar]
- Fischetti, M.V.; et al. Electron interaction with surface optical phonons in supported 2D semiconductors. Journal of Applied Physics 2023, 133, 114501. [Google Scholar] [CrossRef]
- Park, J.H.; et al. Remote phonon scattering in monolayer TMDs on polar substrates. Nano Letters 2022, 22, 1998–2005. [Google Scholar] [CrossRef]
- Wu, F.; et al. Electron–phonon interaction in PtSe2/hBN heterostructures: First-principles insights. 2D Materials 2023, 10, 035005. [Google Scholar]
- Kang, K.; et al. Carrier transport modulation in PtS2 on dielectric substrates. ACS Applied Materials & Interfaces 2023, 15, 102–110. [Google Scholar]
- Ullah, S.; et al. High-performance broadband PtSe2/SiO2 photodetectors. Nanomaterials 2024, 15, 519. [Google Scholar]
- Jia, J.; et al. Growth of high-quality PtSe2 films on hBN for broadband photodetectors. Applied Surface Science 2023, 628, 157321. [Google Scholar] [CrossRef]
- Kim, J.; et al. Charge transport in PtS2/hBN heterostructures. ACS Applied Electronic Materials 2023, 5, 55–62. [Google Scholar]
- Glazov, M.M.; Ivchenko, E.L. Valley Orientation of Electrons and Excitons in Atomically Thin Transition Metal Dichalcogenide Monolayers. JETP Lett. 2021, 113, 7–17. [Google Scholar] [CrossRef]
- Durnev, M.V.; Glazov, M.M. Excitons and trions in two-dimensional semiconductors based on transition metal dichalcogenides. Phys.–Uspekhi 2018, 61, 825–845. [Google Scholar] [CrossRef]
- Kormanyos, A.; Burkard, G.; Gmitra, M.; Fabian, J.; Zolyomi, V.; Drummond, N.D.; Fal’ko, V. k·p theory for two-dimensional transition metal dichalcogenide semiconductors. 2D Mater. 2015, 2, 022001. [Google Scholar] [CrossRef]
- Antonius, G.; Louie, S.G. Theory of exciton-phonon coupling. Phys. Rev. B 2022, 105, 085111 . [Google Scholar] [CrossRef]
- Sohier, T.; Calandra, M.; Mauri, F. Two-dimensional Fröhlich interaction in transition-metal dichalcogenide monolayers: Theoretical modeling and first-principles calculations. Phys. Rev. B 2016, 94, 085415. [Google Scholar] [CrossRef]
- Wang, Y.; He, C.; Tan, Q.; Tang, Z.; Huang, L.; Liu, L.; Yin, J.; Wang, X.; Pan, A. Exciton–phonon coupling in two-dimensional layered (BA)2PbI4 perovskite microplates. RSC Adv. 2023, 13, 5893–5899. [Google Scholar] [CrossRef] [PubMed]
- Ma, J.; Xu, D.; Hu, R.; Luodoi, X. Examining two-dimensional Fröhlich model and enhancing the electron mobility of monolayer InSe by dielectric engineering. J. Appl. Phys. 2020, 128, 035107. [Google Scholar] [CrossRef]
- Hinsche, N.F.; Thygesen, K.S. Electron–phonon interaction and transport properties of metallic bulk and monolayer transition metal dichalcogenide TaS2. 2D Mater. 2017, 5, 015009. [Google Scholar] [CrossRef]
- Xiao, Y.; Li, Z.Q.; Wang, Z.W. Polaron effect on the bandgap modulation in monolayer transition metal dichalcogenides. J. Phys. Cond. Matter 2017, 29, 485001. [Google Scholar] [CrossRef]
- Nguepnang, J.V.; Kenfack, C.; Kenfack, A.; Fobasso, M.F.C.; Sun, Y. Optical signature of bipolaron in monolayer transition metal dichalcogenides: All coupling approach. Opt. Quantum Electron. 2021, 53, 728. [Google Scholar] [CrossRef]
- Devreese, J.T.; Huybrechts, W.; Lemmeks, L. On the optical absorption of free polarons at weak coupling. Phys. Status Solidi 1971, 48, 77–86. [Google Scholar] [CrossRef]
- Mafra, D.L.; Araujo, P.T. Intra- and Interlayer Electron-Phonon Interactions in 12/12C and 12/13C BiLayer Graphene. Appl. Sci. 2014, 4, 207–239 . [Google Scholar] [CrossRef]
- Wang, S.Q.; Mahan, G.D. Electron Scattering from Surface Excitations. Phys. Rev. B 1972, 6, 4517. [Google Scholar] [CrossRef]
- Tomadin, A.; Brida, D.; Cerullo, G.; Ferrari, A.C.; Polini, M. Nonequilibrium dynamics of photoexcited electrons in graphene: Collinear scattering, Auger processes, and the impact of screening. PHYSICAL REVIEW B 2013, 88, 035430. [Google Scholar] [CrossRef]
- Fischetti, M.V.; Neumayer, D.A.; Cartier, E.A. Effective electron mobility in Si inversion layers in metal–oxide–semiconductor systems with a high-κ insulator: The role of remote phonon scattering. J. Appl. Phys. 2001, 90, 4587. [Google Scholar] [CrossRef]
- Schiefele, J.; Sols, F.; Guinea, F. Temperature dependence of the conductivity of graphene on boron. Phys. Rev. B 2012, 85, 195420. [Google Scholar] [CrossRef]
- Geick, R.; Perry, C.H.; Rupprecht, G. Normal Modes in Hexagonal Boron Nitride. Phys. Rev. 1966, 146, 543. [Google Scholar] [CrossRef]
- Zhao, Y.; Yang, L.; Liu, H.; Sun, S.; Wei, X. Tuning the optoelectronic properties of PtS2/PtSe2 heterostructure via strain engineering. Journal of Computational Electronics 2024, 23, 1413–1422. [Google Scholar] [CrossRef]
- Zhang, W.; Huang, Z.; Zhang, W.; et al. Two-dimensional semiconductors with possible high room temperature mobility. Nano Res. 2014, 7, 1731–1737. [Google Scholar] [CrossRef]
- Zhang, H.; Pei, M.; Liu, B.; Wang, Z.; Zhao, X. The structure and electronic properties of the MoSe2/PtS2 van der Waals heterostructure. Phys. Chem. Chem. Phys. 2022, 24, 19853. [Google Scholar] [CrossRef] [PubMed]
- Huang, X.; Xu, L.; Li, H.; Tang, S.; Ma, Z.; Zeng, J.; Xiong, F.; Li, Z.; Wang, L.-L. Two-dimensional PtSe2/hBN vdW heterojunction as photoelectrocatalyst for the solar-driven oxygen evolution reaction: A first principles study. Applied Surface Science 2021, 570, 151207. [Google Scholar] [CrossRef]
- Schiefele, J.; Sols, F.; Guinea, F. Temperature dependence of the conductivity of graphene on boron nitride. Phys. Rev. B 2012, 85, 195420. [Google Scholar] [CrossRef]
- Mahdouani, M.; Bourguiga, R.; Gardelis, S. A Theoretical Study of the Electron–Surface Optical Phonon Interaction in Monolayer Transition Metal Dichalcogenides Deposited on SiC and Hexagonal BN Dielectric Substrates in the Vicinity of the Points K+(K−) of the Brillouin Zone. Materials 2024, 17, 5552. [Google Scholar] [CrossRef]
- Mahdouani, M.; Bourguiga, R.; Gardelis, S. Auger Recombination and Carrier-Surface Optical Phonon Interaction in Van Der Waals Heterostructures Composed of Graphene and 2D Transition Metal Chalcogenides. Materials 2025, 18, 720. [Google Scholar] [CrossRef]
- Mahdouani, M. Investigation of the electron-surface phonon interaction effects in graphene on a substrate made of polar materials. PHYSE 2017, 87, 192–198. [Google Scholar] [CrossRef]
- Mahdouani, M.; Gardelis, S.; Bourguiga, R. The effect of Si impurities on the transport properties and the electron-surface phonon interaction in single layer graphene deposited on polar substrates. Phys. B Condens. Matter 2018, 550, 171–178. [Google Scholar] [CrossRef]
- Mahdouani, M.; Bourguiga, R. Auger and carrier-surface phonon interaction processes in graphene on a substrate made of polar materials. Superlattices Microstruct. 2017, 102, 212–220. [Google Scholar] [CrossRef]
- Mahdouani, M.; Bourguiga, R.; Jaziri, S. Polaronic states in Si nanocrystals embedded in SiO2 matrix. Physica E 2008, 41, 228–234. [Google Scholar] [CrossRef]
- Mahdouani, M.; Gardelis, S.; Nassiopoulou, A.G. Role of surface vibration modes in Si nanocrystals within light emitting porous Si at the strong confinement regime. J. Appl. Phys. 2011, 110, 023527. [Google Scholar] [CrossRef]
- Gardelis, S.; Nassiopoulou, A.G.; Mahdouani, M.; Bourguiga, R.; Jaziri, S. Enhancement and red shift of photoluminescence (PL) of fresh porous Si under prolonged laser irradiation or ageing: Role of surface vibration modes. Physica E 2009, 41, 986–989. [Google Scholar] [CrossRef]
- Mahdouani, M.; Bourguiga, R.; Jaziri, S. Polaronic states in Si nanocrystals embedded in SiO2 matrix. Phys. E 2008, 41, 228–234. [Google Scholar] [CrossRef]
- Hwang, E.H.; Sarma, S.D. Surface polar optical phonon interaction induced many-body effects and hot-electron relaxation in graphene. Phys. Rev.B 2013, 87, 115432. [Google Scholar] [CrossRef]
- Mahdouani, M.; Zalfani, M.; Bourguiga, R.; Su, B.-L. Radiative and non radiative recombinations study in the novel nanocomposites BiVO4/3DOM-TiO2, ZnO/3DOM-TiO2 and BiVO4/3DOM-ZnO: Application to the photocatalysis. Physica E 2019, 108, 269–280. [Google Scholar] [CrossRef]
- Perebeinos, V.; Avouris, P. Inelastic scattering and current saturation in graphene. Phys. Rev. B 2010, 81, 195442. [Google Scholar] [CrossRef]
- Gopalan, S.; Van de Put, M.L.; Gaddemane, G.; Fischetti, M.V. Theoretical study of electronic transport in two-dimensional transition metal dichalcogenides: Effects of the dielectric environment. Physical Review Applied 2022, 18, 054062. [Google Scholar] [CrossRef]
- Chow, C.M.; Yu, H.; Jones, A.M.; Yan, J.; Mandrus, D.G.; Taniguchi, T.; Watanabe, K.; Yao, W.; Xu, X. Unusual exciton-phonon interactions at van der Waals engineered interfaces. Nano Letters 2017, 17. [Google Scholar] [CrossRef]
- Kizel, I.; et al. Photoluminescence detection of polytype polarization in r-MoS2 enabled by asymmetric dielectric environments. arXiv 2025, arXiv:2503.03466. https://arxiv.org/abs/2503, 03466. [Google Scholar]
- Giustino, F. Electron–phonon interactions from first principles. Reviews of Modern Physics 2017, 89, 015003. [Google Scholar] [CrossRef]
- Stier, A.V.; et al. Probing the influence of dielectric environment on excitons in monolayer WSe2: Insight from high magnetic fields. Nano Letters 2016, 16, 7054–7060. [Google Scholar] [CrossRef]
- Adeniran, O.; Liu, Z.-F. Dielectric screening at TMD:hBN interfaces: Monolayer-to-bulk transition, local-field effect, and spatial dependence. Phys. Rev. Materials 2023, 7, 054001. [Google Scholar] [CrossRef]
- Knobloch, T.; Illarionov, Y.Y.; Ducry, F.; et al. The performance limits of hexagonal boron nitride as an insulator for scaled CMOS devices based on two-dimensional materials. Nat Electron 2021, 4, 98–108. [Google Scholar] [CrossRef]
- Wang, Z.; et al. Influence of SiO2 or h-BN substrate on the room-temperature electronic transport in chemically derived single layer graphene. RSC Adv. 2019, 9, 38011. [Google Scholar] [CrossRef] [PubMed]








| 3.9 | 5.09 | |
| 2.4 | 4.1 | |
| 58.9 | 101.7 | |
| 62.5 | 103.7 | |
| 0.237 | 0.258 | |
| 0.4 | 0.34 |
Disclaimer/Publisher’s Note: The statements, opinions and data contained in all publications are solely those of the individual author(s) and contributor(s) and not of MDPI and/or the editor(s). MDPI and/or the editor(s) disclaim responsibility for any injury to people or property resulting from any ideas, methods, instructions or products referred to in the content. |
© 2025 by the authors. Licensee MDPI, Basel, Switzerland. This article is an open access article distributed under the terms and conditions of the Creative Commons Attribution (CC BY) license (http://creativecommons.org/licenses/by/4.0/).