Submitted:
11 October 2023
Posted:
12 October 2023
You are already at the latest version
Abstract
Keywords:
1. Introduction
2. Materials and Methods
| Data BP | Bathymetric elevation (m) | Annual rate (mm/year) |
|---|---|---|
| 120000 | 0 | 0 |
| 110000 | −45 | −4.5 |
| 100000 | −25 | 2 |
| 85000 | −45 | −1.33 |
| 80000 | −30 | 3 |
| 65000 | −95 | −4.33 |
| 55000 | −75 | 2 |
| 26000 | −90 | −0.517 |
| 18000 | −130 | −5 |
| 12700 | −55 | 14.15 |
| 11500 | −55 | 0 |
| 8000 | −25 | 8.571 |
| 6000 | 0 | 12.5 |

2.1. Methods
2.1.1. Step 1. Determination of the position of the coastline at specific points in time

2.1.2. Step 2. Relationship between each archaeological site and its paleo-coastline
- Chronological: The study began with dates whose calibration provided dates between 120,000–6,000 BP, which is the chronological range of the sea-level change curve used for this research (Figure 3). The lower margin was slightly expanded to include a reading after the Flandrian maximum, up to 4,000 BP, in order to contrast with that moment.
- Spatial: All the dates from the SW Iberian Peninsula that were within an area of 20 km inland from the current coastline were selected, including the coastline defined at the time of the Flandrian maximum transgression (c. 6,500 BP).
- Typological: The dates resulting from the application of the spatial criterion were filtered to select only those that explicitly mention a functional typology of habitat or settlement. We excluded those of a funerary nature because we consider that their location in space, although in most cases linked to the corresponding habitat, can be found anywhere without any special or determining role in the economic strategy of territory exploitation.
- Quality: In regards to this criterion, all dates with a deviation estimate greater than 100 years were eliminated.

2.1.3. Step 3. Distance of each site from its paleo-coastline during its determined life span
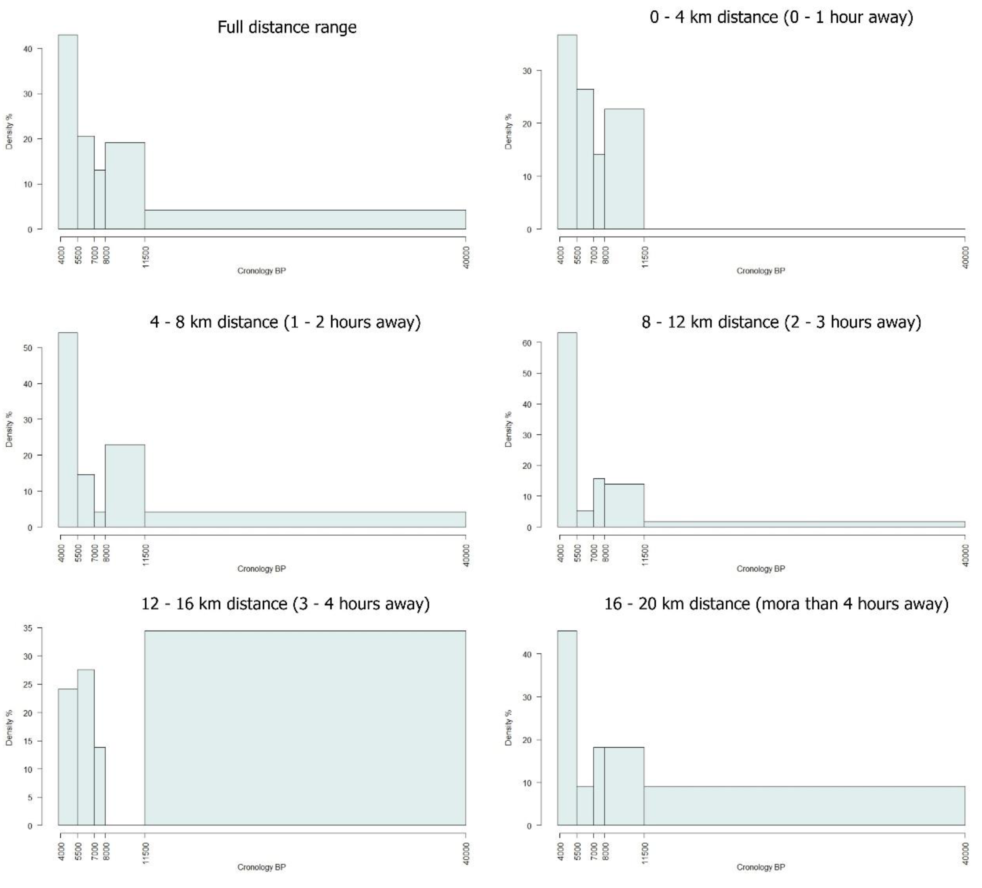
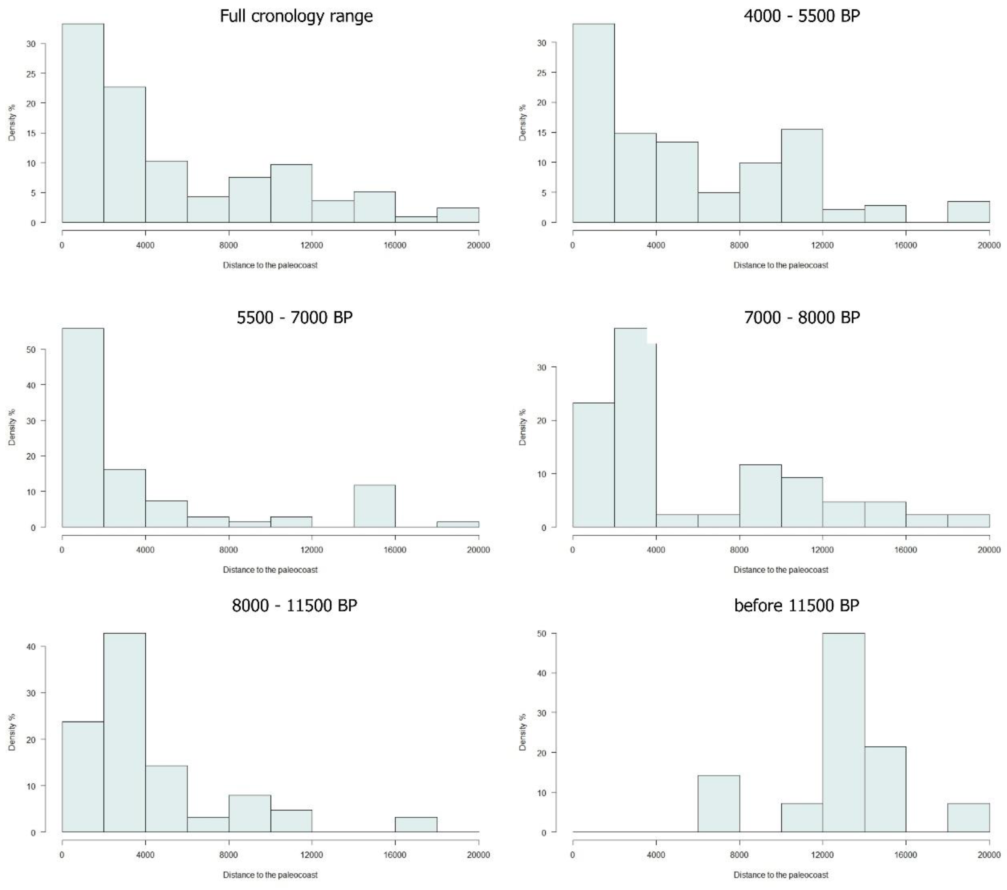
3. Results
4. Discussion
5. Conclusions
Author Contributions
Funding
Data Availability Statement
Acknowledgments
Conflicts of Interest
References
- Weschenfelder, J.; Corrêa, I.C.S.; Aliotta, S.; Baitelli, R. Paleochannels related to late Quaternary sea-level changes in Southern Brazil. Brazilian Journal of Oceanography 2010, 58, 35–44. [Google Scholar] [CrossRef]
- Macieira, R.M.; Simon, T.; Pimentel, C.R.; Joyeux, J.C. Isolation and speciation of tidepool fishes as a consequence of Quaternary sea-level fluctuations. Environmental Biology of Fishes 2015, 98, 385–393. [Google Scholar] [CrossRef]
- Yokoyama, Y.; Lambeck, K.; De Deckker, P.; Johnston, P.; Fifield, L.K. Timing of the Last Glacial Maximum from observed sea-level minima. Nature 2000, 406, 713–716. [Google Scholar] [CrossRef] [PubMed]
- Yokoyama, Y.; Esat, T.M.; Thompson, W.G.; Thomas, A.L.; Webster, J.M.; Miyairi, Y.; Fallon, S. Rapid glaciation and a two-step sea level plunge into the Last Glacial Maximum. Nature 2018, 559, 603–607. [Google Scholar] [CrossRef] [PubMed]
- Siddall, M.; Rohling, E.J.; Almogi-Labin, A.; Hemleben, C.; Meischner, D.; Schmelzer, I.; Smeed, D.A. Sea-level fluctuations during the last glacial cycle. Nature 2003, 423, 853–858. [Google Scholar] [CrossRef]
- Lambeck, K.; Chappell, J. Sea level change through the last glacial cycle. Science 2001, 292, 679–686. https://www.science.org/doi/10.1126/science.1059549. [CrossRef]
- Gregory, D.J.; Bennike, O.; Jensen, J.B.; Rasmussen, P.; Al-Hamdani, Z. Development of Predictive Geoarchaeological Models to Locate and Assess the Preservation Potential of Submerged Prehistoric Sites Using Remote Sensing, Palaeoenvironmental Analysis, and GIS. Heritage 2021, 4, 4678–4699. [Google Scholar] [CrossRef]
- Turney, C.S.; Brown, H. Catastrophic early Holocene sea level rise, human migration and the Neolithic transition in Europe. Quaternary Science Reviews 2007, 26, 2036–2041. [Google Scholar] [CrossRef]
- Josenhans, H.; Fedje, D.; Pienitz, R.; Southon, J. Early humans and rapidly changing holocene sea levels in the queen Charlotte islands-Hecate strait, british Columbia, Canada. Science 1997, 277, 71–74. https://www.science.org/doi/10.1126/science.277.5322.71. [CrossRef]
- Chappell, J. Late Pleistocene coasts and human migrations in the Austral region. In A community of culture: the people and prehistory of the Pacific; Spriggs, M., Yen, D.E., Ambrose, W., Jones, R., Thorne, A., Andrews, A., Eds.; The Australian National University: Canberra, Australia, 1993; pp. 43–48. http://www.jstor.org/stable/30135988.
- Hill, J.; Avdis, A.; Bailey, G.; Lambeck, K. Sea-level change, palaeotidal modelling and hominin dispersals: The case of the southern red sea. Quaternary Science Reviews 2022, 293, 107719. [Google Scholar] [CrossRef]
- Fladmark, K.R. Routes: Alternate migration corridors for early man in North America. American Antiquity 1979, 44, 55–69. [Google Scholar] [CrossRef]
- Erlandson, J.M.; Braje, T.J. From Asia to the Americas by boat? Paleogeography, paleoecology, and stemmed points of the northwest Pacific. Quaternary International 2011, 239, 28–37. [Google Scholar] [CrossRef]
- Borreggine, M.; Powell, E.; Pico, T.; Mitrovica, J.X.; Meadow, R.; Tryon, C. Not a bathtub: A consideration of sea-level physics for archaeological models of human migration. Journal of Archaeological Science 2022, 137, 105507. [Google Scholar] [CrossRef]
- Clark, P.U.; Mix, A.C. Ice sheets and sea level of the Last Glacial Maximum. Quaternary Science Reviews 2002, 21, 1–7. [Google Scholar] [CrossRef]
- Lambeck, K.; Chappell, J. Sea level change through the last glacial cycle. Science 2001, 292, 679–686. https://www.science.org/doi/10.1126/science.1059549. [CrossRef]
- Hayden, B.; Chisholm, B.; Schwarcz, H.P. Fishing and foraging. Marine resources in the Upper Paleolithic of France. In The Pleistocene Old World. Regional Perspectives; Soffer, O., Ed.; Springer: New York, USA, 1987; pp. 279–291. [Google Scholar] [CrossRef]
- Bailey, G. World prehistory from the margins: the role of coastlines in human evolution. Journal of Interdisciplinary Studies in History and Archaeology 2004, 1, 39–50. [Google Scholar]
- Marean, C.W. The origins and significance of coastal resource use in Africa and Western Eurasia. Journal of Human Evolution 2014, 77, 17–40. [Google Scholar] [CrossRef]
- Álvarez-Fernández, E. Humans and marine resource interaction reappraised: Archaeofauna remains during the late Pleistocene and Holocene in Cantabrian Spain. Journal of Anthropological Archaeology 2011, 30, 327–343. [Google Scholar] [CrossRef]
- Adán, G.E.; Álvarez-Lao, D.; Turrero, P.; Arbizu, M.; García-Vázquez, E. Fish as diet resource in North Spain during the Upper Paleolithic. Journal of Archaeological Science 2009, 36, 895–899. [Google Scholar] [CrossRef]
- Bailey, G.; Milner, N. Coastal hunter-gatherers and social evolution: marginal or central? Before Farming 2002, 2002, 1–22. [Google Scholar] [CrossRef]
- Fraile Jurado, P.; Álvarez Francoso, J.I.; Ojeda Zújar, J. Cartografía de la probabilidad de inundación del litoral andaluz a finales del siglo XXI ante la subida del nivel del mar. Cuadernos Geográficos 2018, 57, 6–26. [Google Scholar] [CrossRef]
- Ojeda-Zújar, J.; Fraile-Jurado, P.; Álvarez-Francoso, J. Sea level rise inundation risk assessment in residential cadastral parcels along the Mediterranean Andalusian coast. Cuadernos de Investigación Geográfica 2021, 47, 243–263. [Google Scholar] [CrossRef]
- Vanney, J.R.; Ménanteau, L. Géographie du golfe ibéro-marocain; Casa de Velázquez: Madrid, Spain, 2004. [Google Scholar]
- Barragán Mallofret, D. La transgresión flandriense en la vega de Sevilla. El paleoestuario del río Guadalquivir. PhD Tesis, Sevilla University, Sevilla, 2016. [Google Scholar]
- Fraile-Jurado, P.; Mejías-García, J.C. Método para el cálculo, análisis y representación espacial de la variable “tiempo sumergido bajo el nivel del mar durante la última glaciación” en la plataforma continental del Golfo de Cádiz (España y Portugal). Revista de Geografía Norte Grande 2022, 81, 183–205. [Google Scholar] [CrossRef]
- Silva, P.G.; Bardají, T.; Roquero, E.; Baena-Preysler, J.; Cearreta, A.; Rodríguez-Pascua, M.A.; Goy, J.L. El Periodo Cuaternario: La Historia Geológica de la Prehistoria. Cuaternario y Geomorfología 2017, 31, 113–154. [Google Scholar] [CrossRef]
- Zazo, C. Explorando las costas de un pasado reciente: los cambios del nivel del mar; Real Academia de Ciencias Exactas, Físicas y Naturales: Madrid, Spain, 2015. [Google Scholar]
- Straus, L.G. Southwestern Europe at the last glacial maximum. Current Anthropology 1991, 32, 189–199. https://www.jstor.org/stable/2743649. [CrossRef]
- Straus, L.G. El Paleolítico Superior de la península ibérica. Trabajos de Prehistoria 2018, 75, 9–51. [Google Scholar] [CrossRef]
- Raposo, L. Ambientes, territorios y subsistencia en el Paleolítico Medio de Portugal. Complutum 1995, 6, 57–78. [Google Scholar]
- Nocete Calvo, F. Tercer Milenio Antes de Nuestra Era: Relaciones y Contradicciones Centro-Periferia en el Valle del Guadalquivir. Bellaterra: Barcelona, Spain, 2001. [Google Scholar]
- Valera, A.C. Landscapes of complexity in South Portugal during the 4th and 3rd millennium BC. In Megaliths–Societies–LandscapesEarly Monumentality and Social Differentiation in Neolithic Europe; Johannes Müller, Martin Hinz, Maria Wunderlich, Eds.; Verlag Dr. Rudolf Habelt GmbH: Kiel, Germany, 2019; pp. 1039–1054. [Google Scholar]
- Carvalho, A.F. O Mesolítico final em Portugal. In El Mesolítico geométrico en la Península Ibérica; María del Pilar Utrilla Miranda, Lourdes Montes Ramírez, Eds.; Universidad de Zaragoza: Zaragoza, Spain, 2009; pp. 33–68. [Google Scholar]
- Bicho, N.; Haws, J. At the land’s end: marine resources and the importance of fluctuations in the coastline in the prehistoric hunter–gatherer economy of Portugal. Quaternary Science Reviews 2008, 27, 2166–2175. [Google Scholar] [CrossRef]
- Sánchez, M.C.; Espejo, F.J.J.; Vallejo, M.D.S.; Bao, J.F.G.; Carvalho, A.F.; Martinez-Ruiz, F.; Gamiz, M.R.; Flores, J.A.; Paytan, A.; Sáez, J.A.L.; Peña-Chocarro, L. The Mesolithic–Neolithic transition in southern Iberia. Quaternary Research 2012, 77, 221–234. [Google Scholar] [CrossRef]
- Arteaga, O.; Barragán Mallofret, D.; Ménanteau, L.; Morán, E.; Pareira, R.; Roos, A.M.; Schulz, H.D. Introducción a la Geoarqueología en la Ribeira de Bensafrim, estuario del río Moleão y Bahía de Lagos (Portugal). Informe de la campaña de 2010. Direcção Regional de Cultura do Algarve, Câmara Municipal de Lagos. unpublished.
- Barragán Mallofret, D.; Arteaga, O. Sondeos geoarqueológicos en la Rua da Barroca (Lagos, Portugal): Informe Final. Direcção Regional de Cultura do Algarve, Câmara Municipal de Lagos. unpublished.
- Arteaga, O.; Schulz, H.D.; Roos, A.M. Geoarqueología Dialéctica en la Bahía de Cádiz. RAMPAS 2008, 10, 21–116. [Google Scholar] [CrossRef]
- Arteaga, O.; Roos, A.M. Geoarchäologische Forschungen im Umkreis der Marismas am Río Guadalquivir (Niederandalusien). Madrider Mitteilungen 1995, 36, 199–218. [Google Scholar] [CrossRef]
- Alday, A.; Mejías-García, J.C. La cronología de la Prehistoria de la Península Ibérica y los Sistemas de Información Geográfica del registro arqueológico. CuPAUAM 2019, 45, 9–26. [Google Scholar] [CrossRef]
- Alday, A.; Mejías-García, J.C. Una base de datos de cronología C-14 para la Península Ibérica y las Islas Baleares y su gestión desde un Sistema de Información. In Métodos Cronométricos en Arqueología, Historia y Paleontología; Barceló, J.A., Morell, B., Eds.; Dextra Editorial: Barcelona, Spain, 2020; pp. 540–545. Available online: http://info.dextraeditorial.com/metodoscronometricos/.
- Naismith, W.W. Three days among the Cuchullins. The Scottish Mountaneering Club Journal 1892, 2, 56–62. [Google Scholar]
- Aitken, R. Wilderness areas in Scotland. PhD Tesis, Aberdeen University, Aberdeen, 1997. [Google Scholar]
- Ericson, J.E.; Goldstein, R. Work space: a new approach to the analysis of energy expenditure within site catchments. Antropology 1980, 10, 21–30. [Google Scholar]
- Langmuir, E. Mountaincraft and leadership: a handbook for mountaineers and hillwalking leaders in the British Isles. The Scottish Sport Council: Edimburgh, England, 1984. [Google Scholar]
- Tobler, W. Three Presentations on Geographical Analysis and Modeling: Non-Isotropic Geographic Modeling; Speculations on the Geometry of Geography; and Global Spatial Analysis (93-1). UC Santa Barbara: National Center for Geographic Information and Analysis 1993. Available online: https://escholarship.org/uc/item/05r820mz.
- Rees, W. Least cost in mountainous terrain. Computers and Geosciences 2003, 30, 203–209. [Google Scholar] [CrossRef]
- Márquez Pérez, J.; Vallejo Villalta, I.; Álvarez Francoso, J.I. Estimación del tiempo de demora en rutas pedestres: comparación de algoritmos. Geofocus: Revista Internacional de Ciencia y Tecnología de la Información Geográfica 2015, 15, 47–74. [Google Scholar]
- Vita-Finzi, C.; Higgs, E.; Sturdy, D.; Harriss, J.; Legge, A.; Tippett, H. Prehistoric Economy in the Mount Carmel Area of Palestine: Site Catchment Analysis. Proceedings of the Prehistoric Society 1970, 36, 1–37. [Google Scholar] [CrossRef]
- Alday, A. Los últimos cazadores-recolectores de la Iberia interior: La Alta-Media Cuenca del Ebro y la Meseta Norte. Munibe 2002, 54, 79–101. [Google Scholar]
- Uriarte González, A. Arqueología del Paisaje y Sistema de Información Geográfica: una aplicación en el estudio de las sociedades protohistóricas de la cuenca del Guadiana Menor (Andalucía Oriental). In Bronce Final y Edad del Hierro en la Península Ibérica; Blanco, A., Cancelo, C., Esparza, A., Eds.; Editorial Universidad de Salamanca: Salamanca, Spain, 2005; pp. 602–621. [Google Scholar]
- Gilio, B.L.; Skarbun, F.; Franco, N.V. Modelado de vías de movilidad entre sitios de cazadores-recolectores en la margen norte del río Santa Cruz (Patagonia, Argentina) durante el Holoceno tardío. Geografía y Sistemas de Información Geográfica 2016, 8, 51–73. Available online: https://docs.wixstatic.com/ugd/79758e_e676d1371d2e405b9b673306a6a35833.pdf (accessed on 1 November 2022).
- Paris Roche, F. Método de Información para Excursiones (MIDE); Federación Aragonesa de Montañismo (FAM): Zaragoza, Spain, 2002. Available online: www.montanasegura.com/MIDE/manuelMIDE.pdf (accessed on 15 January 2023).
- Alday, A.; Soto, A. Poblamiento prehistórico de la península ibérica: dinámica demográfica versus frecuencias del C14. Munibe 2018, 69, 75–91. [Google Scholar] [CrossRef]
- Mejías-García, J.C.; Alday Ruiz, A.; Rodríguez-Lejarza, A.; Fraile-Jurado, P. Las dataciones del Neolítico en Andalucía. Análisis geoestadístico de su distribución espacial. In Actas del VII Congreso Internacional sobre Neolítico en la Península Ibérica; García Rivero, D., Ed.; Editorial Universidad de Sevilla: Sevilla, Spain, 2023; pp. 103–119. [Google Scholar]
- Lario, J.; Zazo, C.; Goy, J.L.; Dabrio, C.J.; Borja, F.; Silva, P.G.; Yll, E. Changes in sedimentation trends in SW Iberia Holocene estuaries (Spain). Quaternary International 2002, 93, 171–176. [Google Scholar] [CrossRef]
- Martinez, A.; Kluiving, S.; Muñoz-Rojas, J.; Borja Barrera, C.; Fraile Jurado, P.; Roldán Muñoz, M.E.; Mejías-García, J.C. Energy regimes help tackle limitations with the prehistoric cultural-phases approach to learn about sustainable transitions: Archaeological evidence from northern Spain. J. Quaternary Sci. 2023, 38, 921–937. [Google Scholar] [CrossRef]
- de Carvalho, C.N.; Muniz, F.; Cáceres, L.M.; Rodríguez-Vidal, J.; Medialdea, A.; del Val, M.; Cunha, P.P.; García, J.M.; Giles-Guzmán, F.; Carrión, J.S.; Belaústegui, Z. Neanderthal footprints in the “Matalascañas trampled surface”(SW Spain): new OSL dating and Mousterian lithic industry. Quaternary Science Reviews 2023, 313, 108200. [Google Scholar] [CrossRef]







Disclaimer/Publisher’s Note: The statements, opinions and data contained in all publications are solely those of the individual author(s) and contributor(s) and not of MDPI and/or the editor(s). MDPI and/or the editor(s) disclaim responsibility for any injury to people or property resulting from any ideas, methods, instructions or products referred to in the content. |
© 2023 by the authors. Licensee MDPI, Basel, Switzerland. This article is an open access article distributed under the terms and conditions of the Creative Commons Attribution (CC BY) license (http://creativecommons.org/licenses/by/4.0/).