Submitted:
08 October 2023
Posted:
09 October 2023
You are already at the latest version
Abstract
Keywords:
1. Introduction
2. The black hole background and wavelike equations

3. Methods for finding of quasinormal modes
3.1. WKB approach
3.2. Leaver method
3.3. Time-domain integration
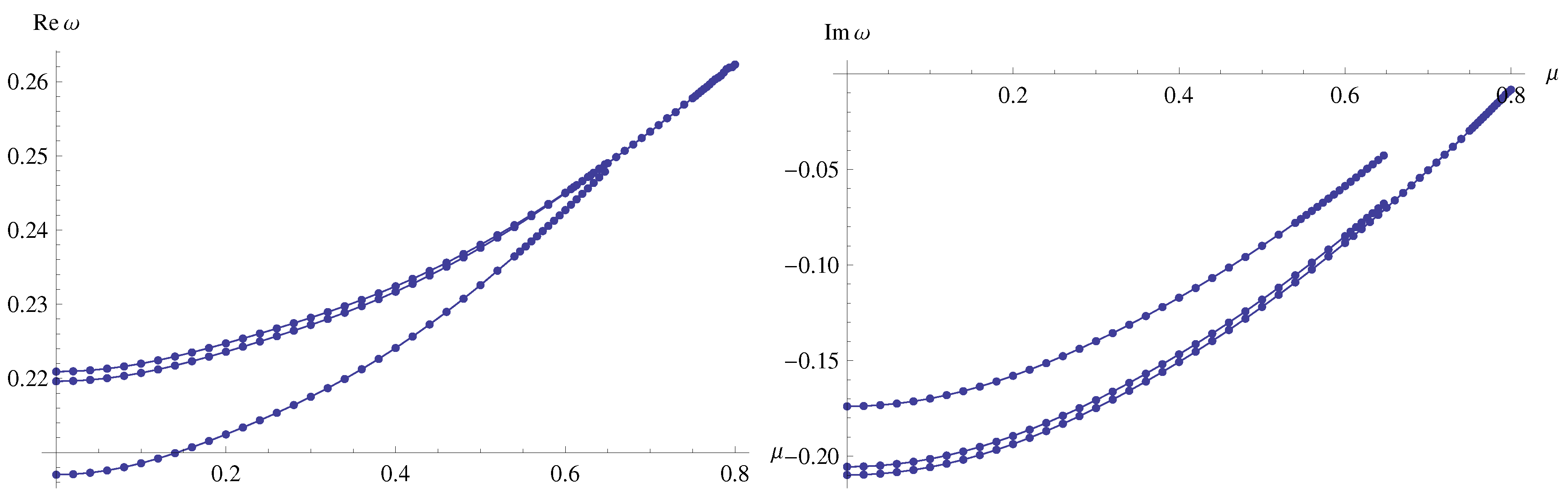
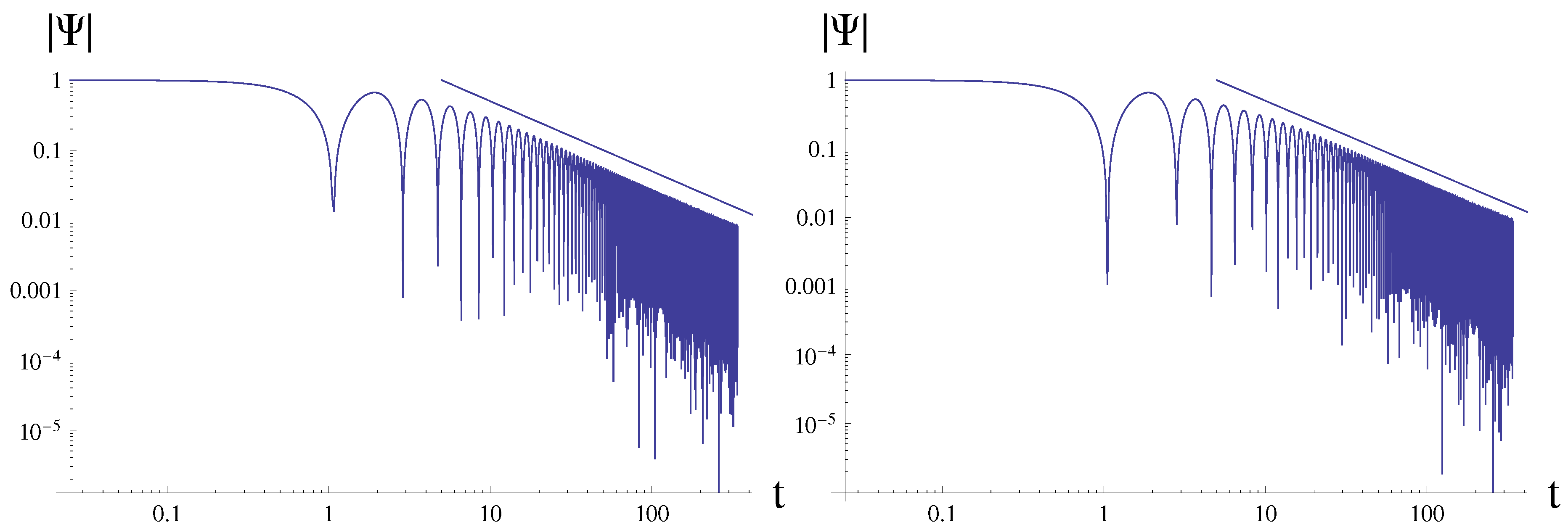
4. Quasi-resonances and outburst of overtones
5. Conclusions
- The outburst of overtones, i.e. the deviation of the overtones from their Schwarzschild limits at a much higher rate than it happens for the fundamental mode, occurs also for the massive field when the quantum deformation parameter is considered as a near-horizon deformation that induces the outburst.
- At asymptotically late time the oscillatory tails dominate and the decay law is different from those for the Schwarzschild, Reissner-Nordström and a number of other spacetimes both at intermediate and asymptotic times.
- The quasinormal frequencies were found precisely with the help of the convergent Frobenius method and checked with the higher order WKB method and time-domain integration. Comparison with the accurate Frobenius data shows that the WKB approach with Padé approximants is more accurate than the usual WKB method. Nevertheless, the error of the WKB method grows as is increased.
Acknowledgments
References
- Bardeen, J.M. Non-singular general relativistic gravitational collapse. Abstracts of the 5th international conference on gravitation and the theory of relativity (GR5), Tbilisi, USSR, Sept. 9-13, 1968, edited by V. A. Fock et al. (Tbilisi University Press, 1968) 1968, p. 174.
- Ayon-Beato, E.; Garcia, A. The Bardeen model as a nonlinear magnetic monopole. Phys. Lett. B 2000, 493, 149–152, [gr-qc/0009077]. doi:10.1016/S0370-2693(00)01125-4. [CrossRef]
- Bronnikov, K.A. Regular magnetic black holes and monopoles from nonlinear electrodynamics. Phys. Rev. D 2001, 63, 044005, [gr-qc/0006014]. doi:10.1103/PhysRevD.63.044005. [CrossRef]
- Nollert, H.P. TOPICAL REVIEW: Quasinormal modes: the characteristic `sound’ of black holes and neutron stars. Class. Quant. Grav. 1999, 16, R159–R216. doi:10.1088/0264-9381/16/12/201. [CrossRef]
- Kokkotas, K.D.; Schmidt, B.G. Quasinormal modes of stars and black holes. Living Rev. Rel. 1999, 2, 2, [gr-qc/9909058]. doi:10.12942/lrr-1999-2. [CrossRef]
- Berti, E.; Cardoso, V.; Starinets, A.O. Quasinormal modes of black holes and black branes. Class. Quant. Grav. 2009, 26, 163001, [arXiv:gr-qc/0905.2975]. doi:10.1088/0264-9381/26/16/163001. [CrossRef]
- Konoplya, R.A.; Zhidenko, A. Quasinormal modes of black holes: From astrophysics to string theory. Rev. Mod. Phys. 2011, 83, 793–836, [arXiv:gr-qc/1102.4014]. doi:10.1103/RevModPhys.83.793. [CrossRef]
- Fernando, S.; Correa, J. Quasinormal Modes of Bardeen Black Hole: Scalar Perturbations. Phys. Rev. D 2012, 86, 064039, [arXiv:gr-qc/1208.5442]. doi:10.1103/PhysRevD.86.064039. [CrossRef]
- Breton, N.; Lopez, L.A. Quasinormal modes of nonlinear electromagnetic black holes from unstable null geodesics. Phys. Rev. D 2016, 94, 104008, [arXiv:gr-qc/1607.02476]. doi:10.1103/PhysRevD.94.104008. [CrossRef]
- Flachi, A.; Lemos, J.P.S. Quasinormal modes of regular black holes. Phys. Rev. D 2013, 87, 024034, [arXiv:gr-qc/1211.6212]. doi:10.1103/PhysRevD.87.024034. [CrossRef]
- Toshmatov, B.; Abdujabbarov, A.; Stuchlík, Z.; Ahmedov, B. Quasinormal modes of test fields around regular black holes. Phys. Rev. D 2015, 91, 083008, [arXiv:gr-qc/1503.05737]. doi:10.1103/PhysRevD.91.083008. [CrossRef]
- Toshmatov, B.; Stuchlík, Z.; Ahmedov, B.; Malafarina, D. Relaxations of perturbations of spacetimes in general relativity coupled to nonlinear electrodynamics. Phys. Rev. D 2019, 99, 064043, [arXiv:gr-qc/1903.03778]. doi:10.1103/PhysRevD.99.064043. [CrossRef]
- Mahdavian Yekta, D.; Karimabadi, M.; Alavi, S.A. Quasinormal modes for non-minimally coupled scalar fields in regular black hole spacetimes: Grey-body factors, area spectrum and shadow radius. Annals Phys. 2021, 434, 168603, [arXiv:hep-th/1912.12017]. doi:10.1016/j.aop.2021.168603. [CrossRef]
- Liu, H.; Zhang, C.; Gong, Y.; Wang, B.; Wang, A. Exploring nonsingular black holes in gravitational perturbations. Phys. Rev. D 2020, 102, 124011, [arXiv:gr-qc/2002.06360]. doi:10.1103/PhysRevD.102.124011. [CrossRef]
- Mondal, M.; Yadav, A.K.; Pradhan, P.; Islam, S.; Rahaman, F. Null geodesics and QNMs in the field of regular black holes. Int. J. Mod. Phys. D 2021, 30, 2150095, [arXiv:gr-qc/2009.03265]. doi:10.1142/S0218271821500954. [CrossRef]
- Rincón, A.; Santos, V. Greybody factor and quasinormal modes of Regular Black Holes. Eur. Phys. J. C 2020, 80, 910, [arXiv:gr-qc/2009.04386]. doi:10.1140/epjc/s10052-020-08445-2. [CrossRef]
- López, L.A.; Ramírez, V. Quasi-normal modes of a Generic-class of magnetically charged regular black hole: scalar and electromagnetic perturbations. Eur. Phys. J. Plus 2023, 138, 120, [arXiv:gr-qc/2205.10166]. doi:10.1140/epjp/s13360-023-03735-6. [CrossRef]
- Ulhoa, S.C. On Quasinormal Modes for Gravitational Perturbations of Bardeen Black Hole. Braz. J. Phys. 2014, 44, 380–384, [arXiv:gr-qc/1303.3143]. doi:10.1007/s13538-014-0209-7. [CrossRef]
- Macedo, C.F.B.; Crispino, L.C.B.; de Oliveira, E.S. Scalar waves in regular Bardeen black holes: Scattering, absorption and quasinormal modes. Int. J. Mod. Phys. D 2016, 25, 1641008, [arXiv:gr-qc/1605.00123]. doi:10.1142/S021827181641008X. [CrossRef]
- Wahlang, W.; Jeena, P.A.; Chakrabarti, S. Quasinormal modes of scalar and Dirac perturbations of Bardeen de-Sitter black holes. Int. J. Mod. Phys. D 2017, 26, 1750160, [arXiv:gr-qc/1703.04286]. doi:10.1142/S0218271817501607. [CrossRef]
- Saleh, M.; Thomas, B.B.; Kofane, T.C. Quasinormal modes of gravitational perturbation around regular Bardeen black hole surrounded by quintessence. Eur. Phys. J. C 2018, 78, 325. doi:10.1140/epjc/s10052-018-5818-9. [CrossRef]
- Dey, S.; Chakrabarti, S. A note on electromagnetic and gravitational perturbations of the Bardeen de Sitter black hole: quasinormal modes and greybody factors. Eur. Phys. J. C 2019, 79, 504, [arXiv:gr-qc/1807.09065]. doi:10.1140/epjc/s10052-019-7004-0. [CrossRef]
- Jusufi, K.; Amir, M.; Ali, M.S.; Maharaj, S.D. Quasinormal modes, shadow and greybody factors of 5D electrically charged Bardeen black holes. Phys. Rev. D 2020, 102, 064020, [arXiv:gr-qc/2005.11080]. doi:10.1103/PhysRevD.102.064020. [CrossRef]
- Rayimbaev, J.; Majeed, B.; Jamil, M.; Jusufi, K.; Wang, A. Quasiperiodic oscillations, quasinormal modes and shadows of Bardeen–Kiselev Black Holes. Phys. Dark Univ. 2022, 35, 100930, [arXiv:gr-qc/2202.11509]. doi:10.1016/j.dark.2021.100930. [CrossRef]
- Wu, S.R.; Wang, B.Q.; Long, Z.W. Probing Bardeen-Kiselev black hole with cosmological constant caused by Einstein equations coupled with nonlinear electrodynamics using quasinormal modes and greybody bounds 2022. [arXiv:gr-qc/2207.05907].
- Sun, Q.; Li, Q.; Zhang, Y.; Li, Q.Q. Quasinormal modes, Hawking radiation and absorption of the massless scalar field for Bardeen black hole surrounded by perfect fluid dark matter 2023. [arXiv:physics.gen-ph/2302.10758].
- Vishvakarma, B.K.; Singh, D.V.; Siwach, S. Shadows and quasinormal modes of the Bardeen black hole in cloud of strings. Eur. Phys. J. Plus 2023, 138, 536, [arXiv:gr-qc/2304.14754]. doi:10.1140/epjp/s13360-023-04174-z. [CrossRef]
- Liu, Y.; Zhang, X. Quasinormal modes of the Bardeen black hole with a cloud of strings 2023. [arXiv:gr-qc/2305.02642]. [CrossRef]
- Nicolini, P.; Spallucci, E.; Wondrak, M.F. Quantum Corrected Black Holes from String T-Duality. Phys. Lett. B 2019, 797, 134888, [arXiv:gr-qc/1902.11242]. doi:10.1016/j.physletb.2019.134888. [CrossRef]
- Maluf, R.V.; Neves, J.C.S. Bardeen regular black hole as a quantum-corrected Schwarzschild black hole. Int. J. Mod. Phys. D 2018, 28, 1950048, [arXiv:gr-qc/1801.08872]. doi:10.1142/S0218271819500482. [CrossRef]
- Damour, T.; Solodukhin, S.N. Wormholes as black hole foils. Phys. Rev. D 2007, 76, 024016, [arXiv:gr-qc/0704.2667]. doi:10.1103/PhysRevD.76.024016. [CrossRef]
- Konoplya, R.A.; Zhidenko, A. First few overtones probe the event horizon geometry 2022. [arXiv:gr-qc/2209.00679].
- Giesler, M.; Isi, M.; Scheel, M.A.; Teukolsky, S. Black Hole Ringdown: The Importance of Overtones. Phys. Rev. X 2019, 9, 041060, [arXiv:gr-qc/1903.08284]. doi:10.1103/PhysRevX.9.041060. [CrossRef]
- Konoplya, R.A.; Ovchinnikov, D.; Ahmedov, B. Bardeen spacetime as a quantum corrected Schwarzschild black hole: Quasinormal modes and Hawking radiation 2023. [arXiv:gr-qc/2307.10801].
- Konoplya, R.A. Quasinormal modes and grey-body factors of regular black holes with a scalar hair from the Effective Field Theory. JCAP 2023, 07, 001, [arXiv:gr-qc/2305.09187]. doi:10.1088/1475-7516/2023/07/001. [CrossRef]
- Konoplya, R.A.; Stuchlik, Z.; Zhidenko, A.; Zinhailo, A.F. Quasinormal modes of renormalization group improved Dymnikova regular black holes. Phys. Rev. D 2023, 107, 104050, [arXiv:gr-qc/2303.01987]. doi:10.1103/PhysRevD.107.104050. [CrossRef]
- Konoplya, R.A. Quasinormal modes in higher-derivative gravity: Testing the black hole parametrization and sensitivity of overtones. Phys. Rev. D 2023, 107, 064039, [arXiv:gr-qc/2210.14506]. doi:10.1103/PhysRevD.107.064039. [CrossRef]
- Konoplya, R.A.; Zinhailo, A.F.; Kunz, J.; Stuchlik, Z.; Zhidenko, A. Quasinormal ringing of regular black holes in asymptotically safe gravity: the importance of overtones. JCAP 2022, 10, 091, [arXiv:gr-qc/2206.14714]. doi:10.1088/1475-7516/2022/10/091. [CrossRef]
- Ohashi, A.; Sakagami, M.a. Massive quasi-normal mode. Class. Quant. Grav. 2004, 21, 3973–3984, [gr-qc/0407009]. doi:10.1088/0264-9381/21/16/010. [CrossRef]
- Konoplya, R.A.; Zhidenko, A.V. Decay of massive scalar field in a Schwarzschild background. Phys. Lett. B 2005, 609, 377–384, [gr-qc/0411059]. doi:10.1016/j.physletb.2005.01.078. [CrossRef]
- Konoplya, R.A. Massive vector field perturbations in the Schwarzschild background: Stability and unusual quasinormal spectrum. Phys. Rev. D 2006, 73, 024009, [gr-qc/0509026]. doi:10.1103/PhysRevD.73.024009. [CrossRef]
- Konoplya, R.A.; Zhidenko, A. Stability and quasinormal modes of the massive scalar field around Kerr black holes. Phys. Rev. D 2006, 73, 124040, [gr-qc/0605013]. doi:10.1103/PhysRevD.73.124040. [CrossRef]
- Konoplya, R.A.; Zhidenko, A. Massive charged scalar field in the Kerr-Newman background I: quasinormal modes, late-time tails and stability. Phys. Rev. D 2013, 88, 024054, [arXiv:gr-qc/1307.1812]. doi:10.1103/PhysRevD.88.024054. [CrossRef]
- Churilova, M.S.; Konoplya, R.A.; Zhidenko, A. Arbitrarily long-lived quasinormal modes in a wormhole background. Phys. Lett. B 2020, 802, 135207, [arXiv:gr-qc/1911.05246]. doi:10.1016/j.physletb.2020.135207. [CrossRef]
- Zinhailo, A.F. Quasinormal modes of the four-dimensional black hole in Einstein–Weyl gravity. Eur. Phys. J. C 2018, 78, 992, [arXiv:gr-qc/1809.03913]. doi:10.1140/epjc/s10052-018-6467-8. [CrossRef]
- Konoplya, R.A.; Zinhailo, A.F.; Stuchlík, Z. Quasinormal modes, scattering, and Hawking radiation in the vicinity of an Einstein-dilaton-Gauss-Bonnet black hole. Phys. Rev. D 2019, 99, 124042, [arXiv:gr-qc/1903.03483]. doi:10.1103/PhysRevD.99.124042. [CrossRef]
- Churilova, M.S. Black holes in Einstein-aether theory: Quasinormal modes and time-domain evolution. Phys. Rev. D 2020, 102, 024076, [arXiv:gr-qc/2002.03450]. doi:10.1103/PhysRevD.102.024076. [CrossRef]
- Konoplya, R.A.; Fontana, R.D.B. Quasinormal modes of black holes immersed in a strong magnetic field. Phys. Lett. B 2008, 659, 375–379, [arXiv:hep-th/0707.1156]. doi:10.1016/j.physletb.2007.10.065. [CrossRef]
- Konoplya, R.A. Magnetic field creates strong superradiant instability. Phys. Lett. B 2008, 666, 283–287, [arXiv:hep-th/0801.0846]. doi:10.1016/j.physletb.2008.11.059. [CrossRef]
- Wu, C.; Xu, R. Decay of massive scalar field in a black hole background immersed in magnetic field. Eur. Phys. J. C 2015, 75, 391, [arXiv:gr-qc/1507.04911]. doi:10.1140/epjc/s10052-015-3632-1. [CrossRef]
- Seahra, S.S.; Clarkson, C.; Maartens, R. Detecting extra dimensions with gravity wave spectroscopy: the black string brane-world. Phys. Rev. Lett. 2005, 94, 121302, [gr-qc/0408032]. doi:10.1103/PhysRevLett.94.121302. [CrossRef]
- Ishihara, H.; Kimura, M.; Konoplya, R.A.; Murata, K.; Soda, J.; Zhidenko, A. Evolution of perturbations of squashed Kaluza-Klein black holes: escape from instability. Phys. Rev. D 2008, 77, 084019, [arXiv:hep-th/0802.0655]. doi:10.1103/PhysRevD.77.084019. [CrossRef]
- Jing, J. Late-time evolution of charged massive Dirac fields in the Reissner-Nordstrom black-hole background. Phys. Rev. D 2005, 72, 027501, [gr-qc/0408090]. doi:10.1103/PhysRevD.72.027501. [CrossRef]
- Koyama, H.; Tomimatsu, A. Slowly decaying tails of massive scalar fields in spherically symmetric space-times. Phys. Rev. D 2002, 65, 084031, [gr-qc/0112075]. doi:10.1103/PhysRevD.65.084031. [CrossRef]
- Moderski, R.; Rogatko, M. Late time evolution of a selfinteracting scalar field in the space-time of dilaton black hole. Phys. Rev. D 2001, 64, 044024, [gr-qc/0105056]. doi:10.1103/PhysRevD.64.044024. [CrossRef]
- Rogatko, M.; Szyplowska, A. Decay of massive scalar hair on brane black holes. Phys. Rev. D 2007, 76, 044010. doi:10.1103/PhysRevD.76.044010. [CrossRef]
- Koyama, H.; Tomimatsu, A. Asymptotic tails of massive scalar fields in Schwarzschild background. Phys. Rev. D 2001, 64, 044014, [gr-qc/0103086]. doi:10.1103/PhysRevD.64.044014. [CrossRef]
- Koyama, H.; Tomimatsu, A. Asymptotic power law tails of massive scalar fields in Reissner-Nordstrom background. Phys. Rev. D 2001, 63, 064032, [gr-qc/0012022]. doi:10.1103/PhysRevD.63.064032. [CrossRef]
- Konoplya, R.A.; Zhidenko, A. Asymptotic tails of massive gravitons in light of pulsar timing array observations, arXiv: 2307.01110 2023. [arXiv:gr-qc/2307.01110].
- Afzal, A.; others. The NANOGrav 15 yr Data Set: Search for Signals from New Physics. Astrophys. J. Lett. 2023, 951, L11, [arXiv:astro-ph.HE/2306.16219]. doi:10.3847/2041-8213/acdc91. [CrossRef]
- Borde, A. Open and closed universes, initial singularities and inflation. Phys. Rev. D 1994, 50, 3692–3702, [gr-qc/9403049]. doi:10.1103/PhysRevD.50.3692. [CrossRef]
- Padmanabhan, T. Hypothesis of path integral duality. 1. Quantum gravitational corrections to the propagator. Phys. Rev. D 1998, 57, 6206–6215. doi:10.1103/PhysRevD.57.6206. [CrossRef]
- Schutz, B.F.; Will, C.M. Black Hole Normal Modes: A semianalytic approach. Astrophys. J. Lett. 1985, 291, L33–L36. doi:10.1086/184453. [CrossRef]
- Iyer, S.; Will, C.M. Black Hole Normal Modes: A WKB Approach. 1. Foundations and Application of a Higher Order WKB Analysis of Potential Barrier Scattering. Phys. Rev. D 1987, 35, 3621. doi:10.1103/PhysRevD.35.3621. [CrossRef]
- Konoplya, R.A. Quasinormal behavior of the d-dimensional Schwarzschild black hole and higher order WKB approach. Phys. Rev. D 2003, 68, 024018, [gr-qc/0303052]. doi:10.1103/PhysRevD.68.024018. [CrossRef]
- Matyjasek, J.; Opala, M. Quasinormal modes of black holes. The improved semianalytic approach. Phys. Rev. D 2017, 96, 024011, [arXiv:gr-qc/1704.00361]. doi:10.1103/PhysRevD.96.024011. [CrossRef]
- Hatsuda, Y. Quasinormal modes of black holes and Borel summation. Phys. Rev. D 2020, 101, 024008, [arXiv:gr-qc/1906.07232]. doi:10.1103/PhysRevD.101.024008. [CrossRef]
- Konoplya, R.A.; Zhidenko, A.; Zinhailo, A.F. Higher order WKB formula for quasinormal modes and grey-body factors: recipes for quick and accurate calculations. Class. Quant. Grav. 2019, 36, 155002, [arXiv:gr-qc/1904.10333]. doi:10.1088/1361-6382/ab2e25. [CrossRef]
- Leaver, E.W. An Analytic representation for the quasi normal modes of Kerr black holes. Proc. Roy. Soc. Lond. A 1985, 402, 285–298. doi:10.1098/rspa.1985.0119. [CrossRef]
- Konoplya, R.A.; Zhidenko, A. High overtones of Schwarzschild-de Sitter quasinormal spectrum. JHEP 2004, 06, 037, [hep-th/0402080]. doi:10.1088/1126-6708/2004/06/037. [CrossRef]
- Nollert, H.P. Quasinormal modes of Schwarzschild black holes: The determination of quasinormal frequencies with very large imaginary parts. Phys. Rev. D 1993, 47, 5253–5258. doi:10.1103/PhysRevD.47.5253. [CrossRef]
- Zhidenko, A. Massive scalar field quasi-normal modes of higher dimensional black holes. Phys. Rev. D 2006, 74, 064017, [gr-qc/0607133]. doi:10.1103/PhysRevD.74.064017. [CrossRef]
- Rostworowski, A. Quasinormal frequencies of D-dimensional Schwarzschild black holes: Evaluation via continued fraction method. Acta Phys. Polon. B 2007, 38, 81–89, [gr-qc/0606110].
- Gundlach, C.; Price, R.H.; Pullin, J. Late time behavior of stellar collapse and explosions: 1. Linearized perturbations. Phys. Rev. D 1994, 49, 883–889, [gr-qc/9307009]. doi:10.1103/PhysRevD.49.883. [CrossRef]
- Price, R.H. Nonspherical Perturbations of Relativistic Gravitational Collapse. II. Integer-Spin, Zero-Rest-Mass Fields. Phys. Rev. D 1972, 5, 2439–2454. doi:10.1103/PhysRevD.5.2439. [CrossRef]
- Konoplya, R.A.; Zhidenko, A.; Molina, C. Late time tails of the massive vector field in a black hole background. Phys. Rev. D 2007, 75, 084004, [gr-qc/0602047]. doi:10.1103/PhysRevD.75.084004. [CrossRef]




| 6th order WKB | 6th order WKB (Padé) | |
| 0 | 0.221975-0.197486 i | 0.222075-0.204366 i |
| 0.076900 | 0.221357-0.195036 i | 0.221328-0.201852 i |
| 0.153960 | 0.219231-0.188351 i | 0.218964-0.194429 i |
| 0.230940 | 0.215410-0.178090 i | 0.214506-0.182665 i |
| 0.307920 | 0.211166-0.161320 i | 0.207185-0.167769 i |
| 0.384900 | 0.204884-0.136559 i | 0.197486-0.149965 i |
| 0.461880 | 0.188871-0.115497 i | 0.184550-0.130050 i |
| 0.538860 | 0.169534-0.102332 i | 0.167158-0.113730 i |
| 0.615840 | 0.153222-0.091109 i | 0.150697-0.101041 i |
| 0.692820 | 0.138409-0.080712 i | 0.135941-0.089442 i |
| 0.707107 | 0.135788-0.078886 i | 0.133340-0.087390 i |
| 6th order WKB | 6th order WKB (Padé) | |
| 0 | 0.224475-0.185482 i | 0.223078-0.187959 i |
| 0.0769800 | 0.223926-0.183054 i | 0.222378-0.185482 i |
| 0.153960 | 0.222000-0.176407 i | 0.220164-0.178191 i |
| 0.230940 | 0.218576-0.166027 i | 0.216100-0.166505 i |
| 0.307920 | 0.214889-0.149117 i | 0.209832-0.151197 i |
| 0.384900 | 0.208804-0.125374 i | 0.200926-0.133411 i |
| 0.461880 | 0.193936-0.104960 i | 0.188563-0.114835 i |
| 0.538860 | 0.175728-0.090518 i | 0.174069-0.098438 i |
| 0.615840 | 0.155379-0.077731 i | 0.160034-0.084484 i |
| 0.692820 | 0.0826083-0.0762320 i | 0.146702-0.072321 i |
| 0.707107 | 0.0398834-0.1042191 i | 0.144315-0.070234 i |
| 6th order WKB | 6th order WKB (Padé) | |
| 0 | 0.588055-0.194179 i | 0.588100-0.193976 i |
| 0.076980 | 0.585306-0.191929 i | 0.585355-0.191707 i |
| 0.153960 | 0.577042-0.185315 i | 0.577098-0.185051 i |
| 0.230940 | 0.563209-0.174751 i | 0.563262-0.174462 i |
| 0.307920 | 0.543741-0.160957 i | 0.543780-0.160679 i |
| 0.384900 | 0.518628-0.144963 i | 0.518651-0.144727 i |
| 0.461880 | 0.488058-0.128116 i | 0.488074-0.127929 i |
| 0.538860 | 0.452714-0.112025 i | 0.452730-0.111870 i |
| 0.615840 | 0.414145-0.098120 i | 0.414160-0.097984 i |
| 0.692820 | 0.374510-0.086926 i | 0.374524-0.086805 i |
| 0.707107 | 0.367202-0.085122 i | 0.367216-0.085003 i |
| 6th order WKB | 6th order WKB (Padé) | |
| 0 | 0.594775-0.190117 i | 0.594819-0.189916 i |
| 0.076980 | 0.592039-0.187890 i | 0.592086-0.187669 i |
| 0.153960 | 0.583813-0.181343 i | 0.583866-0.181080 i |
| 0.230940 | 0.570051-0.170889 i | 0.570102-0.170601 i |
| 0.307920 | 0.550702-0.157241 i | 0.550741-0.156964 i |
| 0.384900 | 0.525781-0.141419 i | 0.525806-0.141183 i |
| 0.461880 | 0.495517-0.124749 i | 0.495535-0.124562 i |
| 0.538860 | 0.460652-0.108789 i | 0.460669-0.108634 i |
| 0.615840 | 0.422780-0.094872 i | 0.422796-0.094737 i |
| 0.692820 | 0.384070-0.083425 i | 0.384086-0.083305 i |
| 0.707107 | 0.376959-0.081543 i | 0.376975-0.081425 i |
| 6th order WKB | 6th order WKB (Padé) | |
| 0 | 0.606020-0.183244 i | 0.606067-0.183042 i |
| 0.076980 | 0.603304-0.181052 i | 0.603353-0.180831 i |
| 0.153960 | 0.595143-0.174607 i | 0.595195-0.174347 i |
| 0.230940 | 0.581504-0.164317 i | 0.581554-0.164032 i |
| 0.307920 | 0.562361-0.150885 i | 0.562402-0.150609 i |
| 0.384900 | 0.537772-0.135307 i | 0.537802-0.135071 i |
| 0.461880 | 0.508038-0.118868 i | 0.508061-0.118679 i |
| 0.538860 | 0.474000-0.103023 i | 0.474020-0.102868 i |
| 0.615840 | 0.437328-0.088932 i | 0.437347-0.088797 i |
| 0.692820 | 0.400205-0.076839 i | 0.400224-0.076720 i |
| 0.707107 | 0.393431-0.074773 i | 0.393450-0.074657 i |
Disclaimer/Publisher’s Note: The statements, opinions and data contained in all publications are solely those of the individual author(s) and contributor(s) and not of MDPI and/or the editor(s). MDPI and/or the editor(s) disclaim responsibility for any injury to people or property resulting from any ideas, methods, instructions or products referred to in the content. |
© 2023 by the authors. Licensee MDPI, Basel, Switzerland. This article is an open access article distributed under the terms and conditions of the Creative Commons Attribution (CC BY) license (http://creativecommons.org/licenses/by/4.0/).
