Submitted:
03 October 2023
Posted:
06 October 2023
You are already at the latest version
Abstract
Keywords:
1. Introduction
2. Uniaxial compression experiment of coal-rock combination
2.1. Samples making
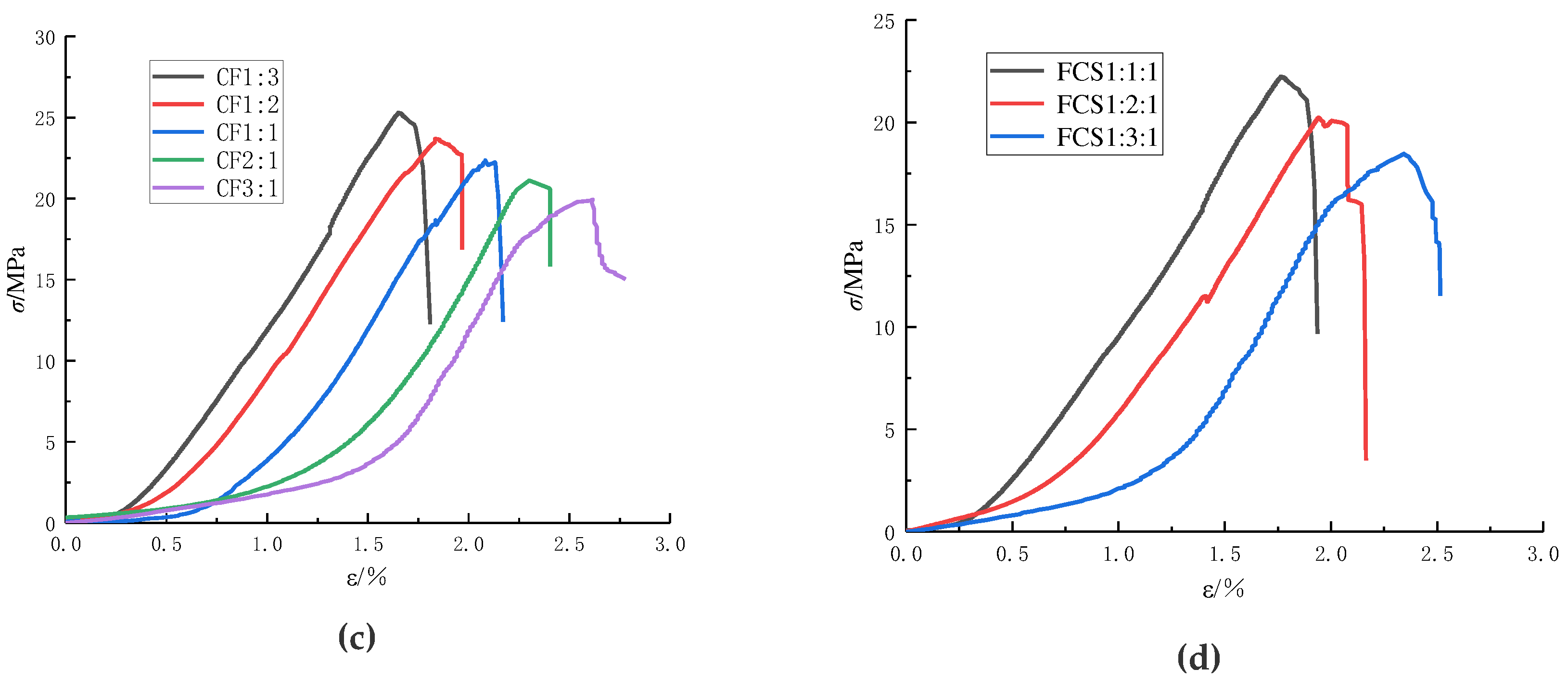
2.2. Stress-strain curve of coal-rock combination
3. Strength and elastic modulus analysis of combination
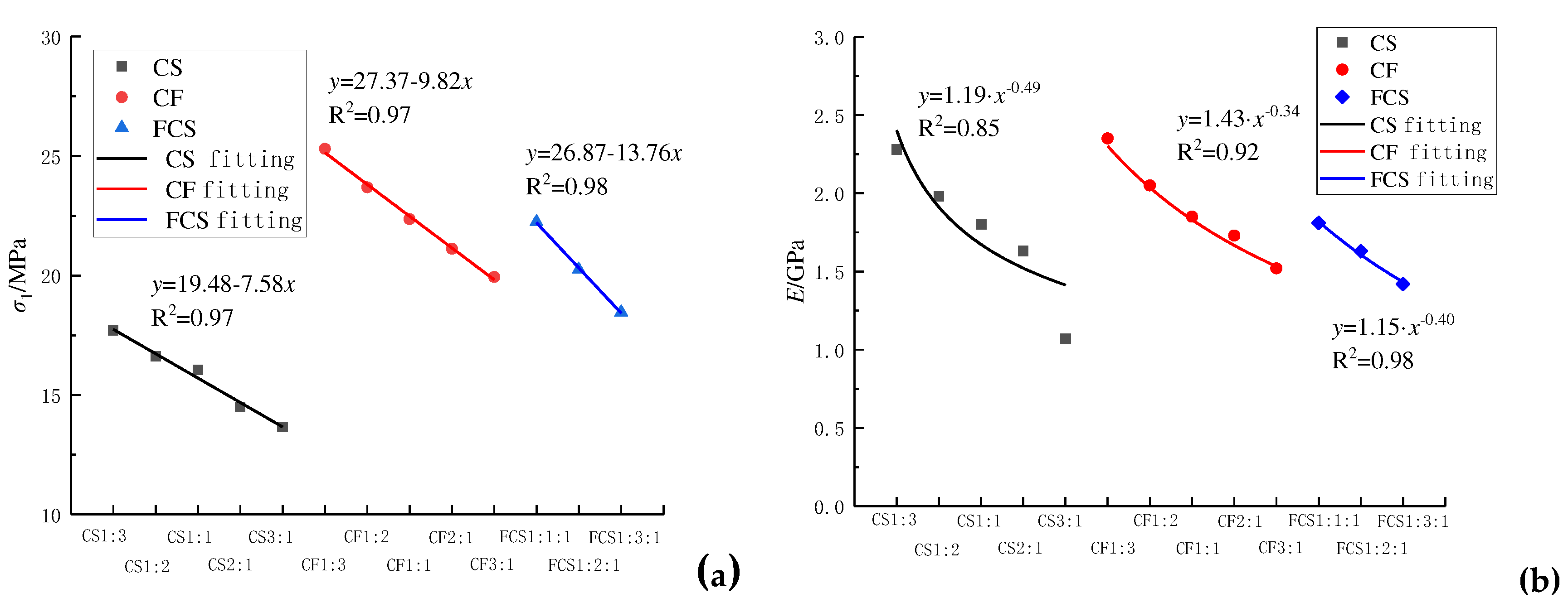
3.1. Relationship between strength and elastic modulus of coal-rock combination and coal-rock monomer
3.2. Influence of coal thickness on the strength of combinations
3.3. Influence of lithology on the strength of combinations
4. Energy accumulation law of coal-rock combination body
4.1. Energy accumulation characteristics of combination body
4.2. The influence of coal thickness on the energy accumulation characteristics of the combination
4.3. The influence of lithology on the energy accumulation characteristics of the combination
5. Coal-rock combination structure model
5.1. Mechanical model of coal-rock combination structure
5.2. Relationship between combinations stress and coal thickness
5.3. Relationship between combinations of energy and coal thickness
6. Discussion
7. Conclusions
- (1)
- The coal-rock combinations' peak strength and elastic modulus are between coal and rock but closer to the coal monomer. As the coal thickness ratio increases, the peak strength and elastic modulus of combinations gradually decrease, except for strength, which has a clear linear relationship to the coal thickness ratio, and elastic modulus, which has a clear inverse relationship to the coal thickness ratio. The combination's strength and modulus of elasticity with the equal percentage of coal thickness are positively correlated with the rock's strength and elastic modulus.
- (2)
- The pre-peak energy lies between coal and rock, while the post-peak energy and impact energy index does not show any apparent regularities with coal and rock. The combination's pre-peak energy and impact energy index shows an apparent positive correlation with coal thickness, while post-peak energy shows no obvious regular pattern.
- (3)
- Coal thickness accounted for the same percentage, the pre-peak energy of the combination, impact energy index, and rock strength and modulus of elasticity showed a positive correlation, the post-peak energy and coal thickness changes have no obvious regularity and hard rock stratum help the combination pre-peak energy accumulation, the greater the likelihood of its occurrence of impact.
- (4)
- The stress distribution of surrounding rock in coal thickness variation is abnormal. Surrounding rock stress shows a negative correlation with percent coal thickness, and surrounding rock energy shows a positive correlation with percent coal thickness, indicating that surrounding rock stress is more significant in the thinning coal thickness region than in the thickening coal thickness region and surrounding rock energy accumulation is less in the thinning coal thickness region than in the thickening coal thickness region. The abnormal stress distribution and high energy accumulation of surrounding rock in the area of coal thickness change are easy to induce dynamic disasters such as rock burst.
Author Contributions
Funding
Institutional Review Board Statement
Informed Consent Statement
Data Availability Statement
Conflicts of Interest
References
- YUAN Liang, WANG Enyuan, MA Yankun, et al. Research progress of coal and rock dynamic disasters and scientific and technological problems in China[J]. Journal of China Coal Society 2023, 48, 1825–1845. [Google Scholar]
- DOU Linming, TIAN Xinyuan, CAO Anye,et al. Present situation and problems of coal mine rock burst prevention and control in China [J]. Journal of China Coal Society, 2022, 47, 152–171.
- Cao Jinrong, Dou Linming, Konietzky Heinz, et al. Failure mechanism and control of the coal bursts triggered by mining-induced seismicity: a case study[J]. Environmental Earth Sciences, 2023, 82, 168. [CrossRef]
- PAN Yishan, XIAO Yonghui, LUO Hao, et al. Study on safety of rockburst mine[J]. Journal of China Coal Society 2023, 48, 1846–1860.
- JIANG Fuxing, ZHANG Xiang, ZHU Sitao. Discussion on key problems in prevention and control system.
- of coal mine rock burst[J]. Coal Science and Technology 2023, 51, 203–213.
- PAN Yishan, SONG Yimin, ZHU Chenli, et al. Localization method of coal rock deformation for rock burst prediction [J]. Journal of China Coal Society 2023, 48, 185–198.
- NAN Cunquan, DING Weibo, Lv Jinguo, et al. Numerical simulation for the changing regularity of the leading support pressure in the coal seam variety region under the mining impact [J]. Journal of Safety and Environment 2018, 18, 2200–2204. [Google Scholar]
- ZUO Jianping, XIE Heping, WU Aimin, et al. Investigation on failure mechanisms and mechanical behaviors of deep coal-rock single body and combined body [J]. Chinese Journal of Rock Mechanics and Engineering 2011, 30, 84–92. [Google Scholar]
- Pan Bao, Yu Weijian, Shen Wenbing. Experimental Study on Energy Evolution and Failure Characteristics of Rock-Coal-Rock Combination with Different Height Ratios [J]. Geotechnical and Geological Engineering 2021, 39, 425–35. [Google Scholar] [CrossRef]
- Guo Dongming, Zhang Wei, Chen Qiyu, et al. Failure Mechanism and Acoustic Emission Characteristics of Coal-Rock Samples[J]. Journal of Mining Science 2022, 58, 390–397. [Google Scholar] [CrossRef]
- Cheng Zhanbo, Li, LiangHui, Zhang, YaNing. Laboratory investigation of the mechanical properties of coal-rock combined body[J]. Bulletin of Engineering Geology and the Environment 2020, 79, 1947–1958. [Google Scholar] [CrossRef]
- ZUO Jianping,SONG Hongqiang. Energy evolution law and differential energy instability model of coal-rock combined body [J]. Journal of China Coal Society 2022, 47, 3037–3051. [Google Scholar]
- CHEN Guangbo, ZHANG Junwen, HE Yongliang, et al. Derivation of pre-peak energy distribution formula and energy accumulation tests of coal-rock combined body [J]. Rock and Soil Mechanics 2022, 43, 130–143. [Google Scholar]
- CHEN Guangbo, QIN Zhongcheng, ZHANG Guohua, et al. Law of energy distribution before failure of a loaded coal-rock combined body [J]. Rock and Soil Mechanics 2020, 41, 2021–2033. [Google Scholar]
- Bai Xianxi, Cao Anye, Cai Wu, et al. Rock burst mechanism induced by stress anomaly in roof thickness variation zone: a case study[J]. Geomatics, Natural Hazards and Risk 2022, 13, 1805–1830. [CrossRef]
- Wang Jianchao, Jiang Fuxing, Meng Xiangjun, et al. Mechanism of Rock Burst Occurrence in Specially Thick Coal Seam with Rock Parting[J]. Rock Mechanics and Rock Engineering 2016, 49, 1953–1965. [Google Scholar] [CrossRef]
- Zhu Guangan, Dou Linming, Li Zhenlei, et al. Mining-induced stress changes and rock burst control in a variable-thickness coal seam[J]. Arabian Journal of Geosciences 2016, 9, 365. [Google Scholar] [CrossRef]
- WANG Yong, YANG Bi, DENG Chuan, et al. Numerical Simulation Analysis of Influence of Coal Thickness Change on Rock Burst [J]. Safety in Coal Mines 2017, 48, 198–201. [Google Scholar]
- SHEN Tengfei, GU Shitan, LEI Ruide, et al. Distribution Laws and Influence Factors of Elastic Strain Energy in Thickness Variation of Coal Seam [J]. Safety in Coal Mines 2015, 46, 187–189. [Google Scholar]
- REN Zhongping, WANG Chunqiu, JIANG Bangyou, et al. Numerical Simulation on Influence of Coal Seam Thickness Variation on Rock Burst Danger [J]. Safety in Coal Mines 2014, 45, 51–53. [Google Scholar]
- Wang Changbin, Cao Anye, Zhu Guangan, et al. Mechanism of rock burst induced by fault slip in an island coal panel and hazard assessment using seismic tomography: a case study from Xuzhuang colliery, Xuzhou, China[J]. Geosciences Journal 2017, 21, 469–481. [CrossRef]
- Zhao Tongbin, Guo Weiyao, Tan Yunliang, et al. Mechanics mechanism of rock burst caused by mining in the variable region of coal thickness [J]. Journal of China Coal Society 2016, 41, 1659–1666. [Google Scholar]
- Xu Zhilun. A concise course in elasticity [M]. 3rd ed. Beijing: Advanced Education Press, 2002. (in Chinese).
- CHEN Guangbo, WANG Eryu, WANG Wencai, et al. Experimental study on the influence of lithology and rock-coal height ratio on mechanical properties and impact effect of combined body [J]. Energy Sources Part A-recovery Utilization and Environmental Effects, 2019: 1-24.
- Zhao Yangsheng, Feng Zengchao, Wan Zhijun. Least energy priciple of dynamical failure of rock mass [J]. Chinese Journal of Rock Mechanics and Engineering 2003, 22, 1781–1783. [Google Scholar]











| Sample | Peak strength /MPa | Elastic modulus /GPa | Pre-peak energy /102MJ·m-3 |
Post-peak energy / 102MJ·m-3 |
Impact energy index |
| F | 74.50 | 7.48 | 36.9 | 4.15 | 8.90 |
| S | 33.10 | 2.70 | 19.83 | 4.61 | 4.30 |
| C | 12.72 | 0.96 | 9.36 | 2.45 | 3.82 |
| CS1:3 | 17.7 | 2.28 | 8.04 | 2.16 | 3.72 |
| CS1:2 | 16.62 | 1.98 | 8.22 | 2.37 | 3.46 |
| CS1:1 | 16.05 | 1.8 | 8.39 | 2.55 | 3.29 |
| CS2:1 | 14.49 | 1.63 | 8.61 | 2.07 | 4.15 |
| CS3:1 | 13.66 | 1.07 | 8.71 | 2.15 | 4.05 |
| CF1:3 | 25.3 | 2.35 | 15.82 | 3.43 | 4.61 |
| CF1:2 | 23.69 | 2.05 | 16.22 | 2.96 | 5.48 |
| CF1:1 | 22.36 | 1.85 | 16.27 | 2.08 | 7.82 |
| CF2:1 | 21.12 | 1.73 | 15.89 | 2.18 | 7.28 |
| CF3:1 | 19.94 | 1.52 | 17.93 | 2.66 | 6.74 |
| FCS1:1:1 | 22.24 | 1.81 | 14.53 | 3.38 | 4.30 |
| FCS1:2:1 | 20.25 | 1.63 | 14.67 | 3.92 | 3.94 |
| FCS1:3:1 | 18.46 | 1.42 | 14.96 | 2.87 | 5.21 |
Disclaimer/Publisher’s Note: The statements, opinions and data contained in all publications are solely those of the individual author(s) and contributor(s) and not of MDPI and/or the editor(s). MDPI and/or the editor(s) disclaim responsibility for any injury to people or property resulting from any ideas, methods, instructions or products referred to in the content. |
© 2023 by the authors. Licensee MDPI, Basel, Switzerland. This article is an open access article distributed under the terms and conditions of the Creative Commons Attribution (CC BY) license (http://creativecommons.org/licenses/by/4.0/).