Submitted:
25 September 2023
Posted:
25 September 2023
You are already at the latest version
Abstract
Keywords:
1. Introduction
- First of all, the state-of-the-art underwater sea cucumber detection approaches are summarized, including traditional methods, one-stage methods based on deep learning such as You Only Look Once (YOLO) series algorithms and Single Shot MultiBox Detector (SSD), two-stage methods based on deep learning such as R-CNN series algorithms, anchor free approaches such as DEtection TRansformer (DETR) and other methods.
- For the detection of sea cucumbers, fundamentals of YOLOv5 and DETR are firstly introduced. Then the training process, test results of YOLOv5 and DETR and the performance comparation of these two approaches are presented, proving the excellent performance of YOLOv5 and DETR in underwater sea cucumber detection.
2. Related Works
2.1. Dataset and Evaluation Metrics
3. Yolov5
3.1. Fundamentals of YOLOv5
a. Model Structure
b. Loss Function
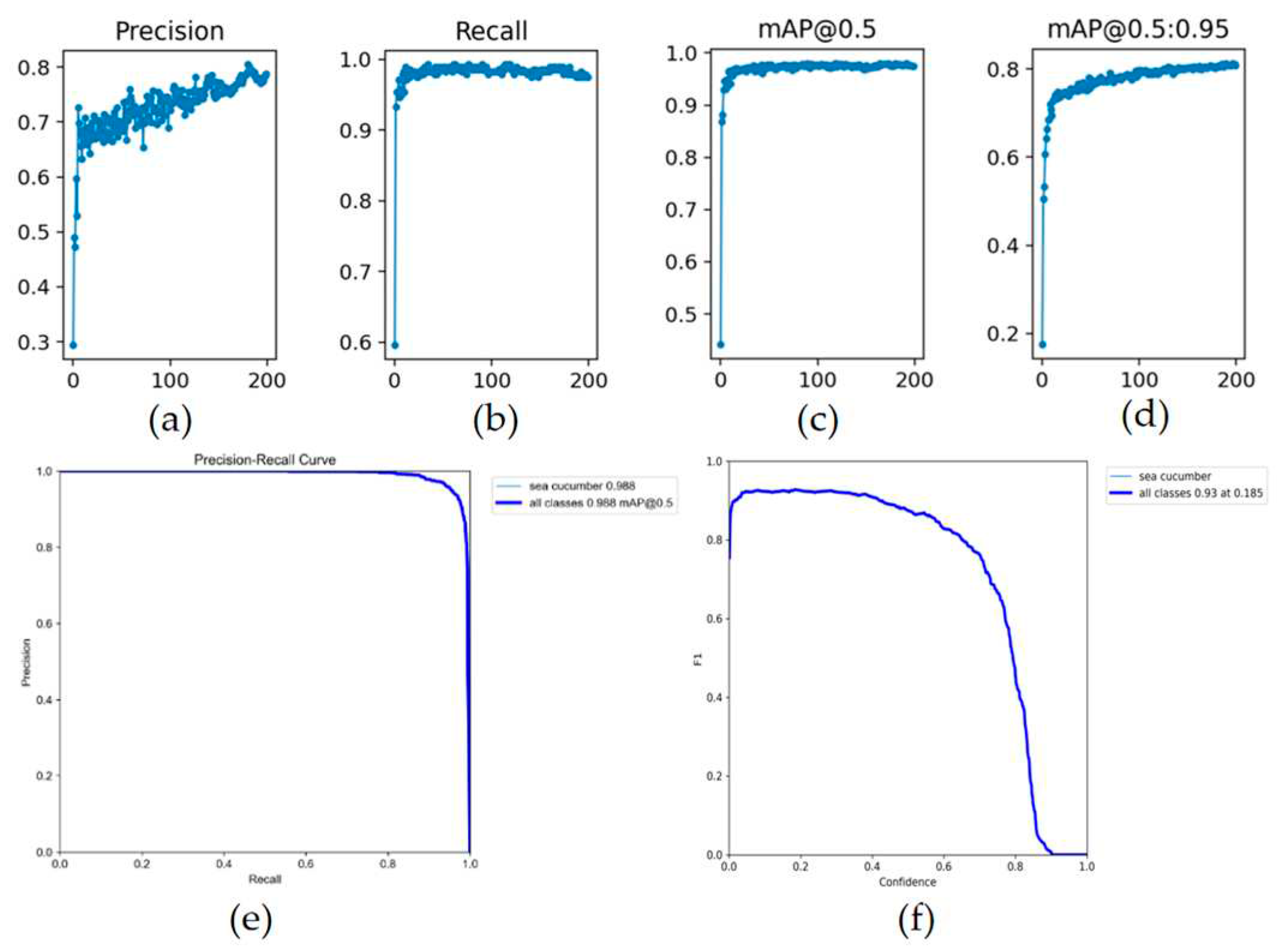
3.2. Detection of Sea Cucumbers Based on YOLOv5
4. DETR
4.1. Fundamentals of DETR
a. Position Encoding
b. Encoder-Decoder Structure
4.2. Detection of Sea Cucumbers Based on DETR
4.3. Performance Comparison of YOLOv5 and DETR
a. Principle of Comparison
b. Comparison of Simulation Results
5. Conclusions
5.1. Conclusions
5.2. Future Work
- Improving detection accuracy and processing time and optimizing the architecture and hyperparameters of both YOLOv5 and DETR models;
- Exploring and evaluating the performances of YOLOv5 and DETR for detecting other marine species;
- Developing new data augmentation techniques to increase the diversity and quantity of training data for underwater target detection;
- Developing real-time object detection systems using YOLOv5 and DETR and evaluating their performance in practical scenarios.
Author Contributions
Funding
Institutional Review Board Statement
Informed Consent Statement
Data Availability Statement
Acknowledgments
Conflicts of Interest
Abbreviations
References
- Sahoo, A.; Dwivedy, S.K.; Robi, P. Advancements in the field of autonomous underwater vehicle. Ocean Eng. 2019, 181, 145–160. [Google Scholar] [CrossRef]
- Xu, F.Q. et al. Real-time detecting method of marine small object with underwater robot vision. 2018 OCEANS-MTS/IEEE Kobe Techno-Oceans (OTO), Kobe, Japan, 28-31 May 2018, pp. 1-4.
- Lei, F.; Tang, F.; Li, S. Underwater target detection algorithm based on improved YOLOv5. J. Mar. Sci. Eng. 2022, 10(3), 310. [Google Scholar] [CrossRef]
- Lowe, D.G. Distinctive image features from scale-invariant keypoints. Int. J. Comput. Vis. 2004, 60, 91–110. [Google Scholar] [CrossRef]
- Dalal, N.; Triggs, B. Histograms of oriented gradients for human detection. In Proceedings of the 2005 IEEE Computer Society Conference on Computer Vision and Pattern Recognition (CVPR’05), San Diego, CA, USA, 20–25 June 2005; pp. 886–893. [Google Scholar]
- Platt, J. Sequential minimal optimization: A fast algorithm for training support vector machines. Adv. Kernel Methods-Support Vector Learn. 1998, 208. [Google Scholar]
- Felzenszwalb, P.F.; Girshick, R.B.; McAllester, D.; Ramanan, D. Object detection with discriminatively trained part-based models. IEEE Trans Pattern Anal Mach Intell. 2010, 32(9), 1627-45. [Google Scholar] [CrossRef]
- Shen, Z.; Liu, Z.; Li, J.; Jiang, Y.G.; Chen, Y.; Xue, X. Dsod: Learning deeply supervised object detectors from scratch. In Proceedings of the IEEE International Conference on Computer Vision, Venice, Italy, 22-29 October 2017; pp. 1919–1927. [Google Scholar]
- Girshick, R.; Donahue, J.; Darrell, T.; Malik, J. Rich feature hierarchies for accurate object detection and semantic segmentation. In Proceedings of the IEEE 2014 IEEE Conference on Computer Vision and Pattern Recognition (CVPR), Columbus, OH, USA, 23-28 June 2014; pp. 1–8. [Google Scholar]
- Girshick, R. Fast R-CNN. In Proceedings of the 2015 IEEE International Conference on Computer Vision (ICCV), Santiago, Chile, 7-13 December 2015. [Google Scholar]
- Ren, S.Q.; He, K.M.; Girshick, R.; Sun, J. Faster R-CNN: Towards real-time object detection with region proposal networks. IEEE Trans. Pattern Anal. Mach. Intell. 2017, 39, 1137–1149. [Google Scholar] [CrossRef]
- Dai, J.; Li, Y.; He, K.; Sun, J. R-FCN: Object detection via region-based fully convolutional networks. In Proceedings of the Advances in Neural Information Processing Systems, Barcelona, Spain, 5-10 December 2016; pp. 379–387. [Google Scholar]
- He, K.; Gkioxari, G.; Dollár, P.; Girshick, R. Mask R-CNN. IEEE Trans. Pattern Anal. Mach. Intell. 2017, 42, 386–397. [Google Scholar] [CrossRef]
- Cai, Z.; Vasconcelos, N. Cascade r-cnn: Delving into high quality object detection. In Proceedings of the IEEE Conference on Computer Vision and Pattern Recognition, Salt Lake City, UT, USA, 18–23 June 2018; pp. 6154–6162. [Google Scholar]
- Liu, W.; Anguelov, D.; Erhan, D.; Szegedy, C.; Reed, S.; Fu, C.Y.; Berg, A.C. SSD: Single Shot multi-box Detector. In Computer Vision—ECCV 2016; Leibe, B., Matas, J., Sebe, N., Welling, M., Eds.; Springer: Cham, Switzerland, 2016; pp. 21–37. [Google Scholar]
- Redmon, J.; Divvala, S.; Girshick, R.; Farhadi, A. You only look once: Unified, real-time object detection. In Proceedings of the 2016 IEEE Conference on Computer Vision and Pattern Recognition (CVPR), Las Vegas, NV, USA, 26 June-1 July 2016; pp. 779–788. [Google Scholar]
- Redmon, J.; Farhadi, A. Yolo9000: Better, faster, stronger. In Proceedings of the 2017 IEEE Conference on Computer Vision and Pattern Recognition (CVPR), Honolulu, HI, USA, 21-26 July 2017; pp. 6517–6525. [Google Scholar]
- Redmon, J.; Farhadi, A. Yolov3: An incremental improvement. arXiv 2018, arXiv:1804.02767. [Google Scholar]
- Bochkovskiy, A.; Wang, C.Y.; Liao, H.Y.M. Yolov4: Optimal speed and accuracy of object detection. arXiv 2020, arXiv:2004.10934. [Google Scholar]
- Glenn, J. YOLOv5 is here: State-of-the-art object detection at 140 FPS. Roboflow, 2020. Available online: https://blog.roboflow.com/yolov5-is-here/ (accessed on 22 September 2023).
- Thomas, R.; Thampi, L.; Kamal, S.; Balakrishnan, A.A.; Mithun Haridas, T.P.; Supriya, M.H. Dehazing underwater images using encoder decoder based generic model-agnostic convolutional neural network. In Proceedings of the 2021 International Symposium on Ocean Technology (SYMPOL), Kochi, India, 9-11 December 2021; pp. 1–4. [Google Scholar]
- Martin, M.; Sharma, S.; Mishra, N.; Pandey, G. UD-ETR Based Restoration & CNN Approach for Underwater Object Detection from Multimedia Data. In Proceedings of the 2nd International Conference on Data, Engineering and Applications (IDEA), Bhopal, India, 28-29 February 2020. [Google Scholar]
- Chen, L.; Liu, Z.; Tong, L.; et al. Underwater object detection using invert multi-class adaboost with deep learning. 2020 International Joint Conference on Neural Networks, 19-24 July 2020, pp. 1-8.
- Fu, C.Y.; Liu, W.; Ranga, A.; Tyagi, A.; Berg, A.C. Dssd: Deconvolutional single shot detector. arXiv preprint. arXiv:1701.06659.
- Berman, D.; Levy, D.; Avidan, S.; Treibitz, T. Underwater single image color restoration using haze-lines and a new quantitative dataset. IEEE Trans. Pattern Anal. Mach. Intell. 2021, 43, 2822–2837. [Google Scholar] [CrossRef]
- Qiao, W.; Khishe, M.; Ravakhah, S. Underwater targets classification using local wavelet acoustic pattern and multi-layer perceptron neural network optimized by modified whale optimization algorithm. Ocean Eng. 2021, 219, 108415. [Google Scholar] [CrossRef]
- Yeh, C.H.; Lin, C.H.; Kang, L.W.; Huang, C.H.; Lin, M.H.; Chang, C.Y.; Wang, C.C. Lightweight deep neural network for joint learning of underwater object detection and color conversion. IEEE Trans. Neural Netw. Learn. Syst. 2021, 33, 6129–6143. [Google Scholar] [CrossRef] [PubMed]
- Lin, T.Y.; Dollár, P.; Girshick, R.; He, K.; Hariharan, B.; Belongie, S. Feature pyramid networks for object detection. In Proceedings of the IEEE Conference on Computer Vision and Pattern Recognition, Honolulu, HI, USA, 21-26 July 2017; pp. 2117–2125. [Google Scholar]
- Hu, X.; Liu, Y.; Zhao, Z.; Liu, J.; Yang, X.; Sun, C.; Chen, S.; Li, B.; Zhou, C. Real-time detection of uneaten feed pellets in underwater images for aquaculture using an improved YOLO-V4 network. Comput. Electron. Agric. 2021, 185, 106135. [Google Scholar] [CrossRef]
- Bochkovskiy, A.; Wang, C.Y.; Liao, H.Y.M. Yolov4: Optimal speed and accuracy of object detection. arXiv 2020, arXiv:2004.10934. [Google Scholar]
- Zeng, L.; Sun, B.; Zhu, D. Underwater target detection based on Faster R-CNN and adversarial occlusion network. Eng. Appl. Artif. Intell. 2021, 100, 104190. [Google Scholar] [CrossRef]
- He, K.; Zhang, X.; Ren, S.; Sun, J. Deep residual learning for image recognition. In Proceedings of the IEEE Conference on Computer Vision and Pattern Recognition, Las Vegas, NV, USA, 27–30 June 2016; pp. 770–778. [Google Scholar]
- Peng, F.; Miao, Z.; Li, F.; Li, Z. S-FPN: A shortcut feature pyramid network for sea cucumber detection in underwater images. Expert Syst. Appl. 2021, 182, 115306. [Google Scholar] [CrossRef]
- Lin, W.H.; Zhong, J.X.; Liu, S.; Li, T.; Li, G. Roimix: Proposal-fusion among multiple images for underwater object detection. In Proceedings of the ICASSP 2020-2020 IEEE International Conference on Acoustics, Speech and Signal Processing (ICASSP), Barcelona, Spain, 4–8 May 2020; pp. 2588–2592. [Google Scholar]
- Dong, C.; Loy, C.C.; He, K.; Tang, X. Image super-resolution using deep convolutional networks. IEEE Trans. Pattern Anal. Mach. Intell. 2015, 38, 295–307. [Google Scholar] [CrossRef]
- Li, M.; Mathai, A.; Lau, S.L.; Yam, J.W.; Xu, X.; Wang, X. Underwater object detection and reconstruction based on active single-pixel imaging and super-resolution convolutional neural network. Sensors 2021, 21, 313. [Google Scholar] [CrossRef]
- Strong, D.; Chan, T. Edge-preserving and scale-dependent properties of total variation regularization. Inverse Probl. 2003, 19, S165–S187. [Google Scholar] [CrossRef]
- Park, J.H.; Kang, C. A study on enhancement of fish recognition using cumulative mean of YOLO network in underwater video images. J. Mar. Sci. Eng. 2020, 8, 952. [Google Scholar] [CrossRef]
- Zhang, M.; Xu, S.; Song, W.; He, Q.; Wei, Q. Lightweight underwater object detection based on YOLO v4 and multi-scale attentional feature fusion. Remote Sens. 2021, 13, 4706. [Google Scholar] [CrossRef]
- Gao, S.; Cheng, M.M.; Zhao, K.; Zhang, X.Y.; Yang, M.H.; Torr, P.H. Res2net: A new multi-scale backbone architecture. IEEE Trans. Pattern Anal. Mach. Intell. 2021, 43, 652–662. [Google Scholar] [CrossRef]
- Tan, M.; Le, Q.V. Mixconv: Mixed depthwise convolutional kernels. arXiv 2019, arXiv:1907.09595. [Google Scholar]
- Liu, L.X. Research on target detection and tracking technology of imaging sonar. Ph.D. Thesis, Harbin Engineering University, Harbin, China, 20 November 2015. [Google Scholar]
- Mandi´c, F.; Renduli´c, I.; Miškovi´c, N.; Nađ, Đ. Underwater object tracking using sonar and USBL measurements. J. Sens. 2016, 1–10. [Google Scholar] [CrossRef]
- Shandong Future Robot Co., Ltd. Available online: http://www.vvlai.com/ (accessed on 22 September 2023).
- COCO dataset. Available online: https://cocodataset.org/ (accessed on 22 September 2023).














| Experimental Platform | Configuration |
|---|---|
| CPU | Intel(R) Core(TM) i7-9750H CPU @ 2.60GHz |
| GPU | NVIDIA GeForce RTX 2070 with Max-Q Design |
| RAM | DDR4 3000MHz 16G |
| Hard Drive | PCIE 3.0 NVME 512G |
| OS | Windows 10 |
| CUDA | 11.6 |
| Python | 3.9 |
| Training Epochs | Batch Size | Learning Rate (Initial) | Weight Decay |
|---|---|---|---|
| 98 | 32 | 0.01 | 0.0005 |
| Precision | Recall | mAP@0.5 | mAP@0.5:0.95 | |
|---|---|---|---|---|
| above water surface | 88.9% | 97.3% | 98.4% | 86.7% |
| underwater clarity | 73.4% | 100% | 97.5% | 79.9% |
| underwater blurry | 76% | 96.1% | 96.4% | 76.6% |
| total | 78.1% | 97.5% | 97.8% | 81.0% |
| Precision | Recall | mAP@0.5 | mAP@0.5:0.95 | |
|---|---|---|---|---|
| above water surface | 84.6% | 91.7% | 92.9% | 70.1% |
| underwater clarity | 74.1% | 95.4% | 94.0% | 67.9% |
| underwater blurry | 72.4% | 94.6% | 94.8% | 62.8% |
| total | 76.5% | 95.4% | 95.2% | 67.5% |
| Precision | Recall | mAP@0.5 | mAP@0.5:0.95 | |
|---|---|---|---|---|
| More targets | 69.6% | 97.5% | 95.6% | 74.7% |
| Few targets | 93.2% | 98.3% | 99.3% | 87.9% |
| total | 78.1% | 97.5% | 97.8% | 81.0% |
| Precision | Recall | mAP@0.5 | mAP@0.5:0.95 | |
|---|---|---|---|---|
| More targets | 60.1% | 91.2% | 90.9% | 57.3% |
| Few targets | 87.2% | 96.8% | 97.2% | 76.3% |
| total | 76.5% | 95.4% | 95.2% | 67.5% |
Disclaimer/Publisher’s Note: The statements, opinions and data contained in all publications are solely those of the individual author(s) and contributor(s) and not of MDPI and/or the editor(s). MDPI and/or the editor(s) disclaim responsibility for any injury to people or property resulting from any ideas, methods, instructions or products referred to in the content. |
© 2023 by the authors. Licensee MDPI, Basel, Switzerland. This article is an open access article distributed under the terms and conditions of the Creative Commons Attribution (CC BY) license (http://creativecommons.org/licenses/by/4.0/).