Submitted:
14 September 2023
Posted:
20 September 2023
You are already at the latest version
Abstract
Keywords:
1. Introduction
2. Results
2.1. Climate
2.2. Effects of the Fixed Factors
2.3. Growth and Early Yield
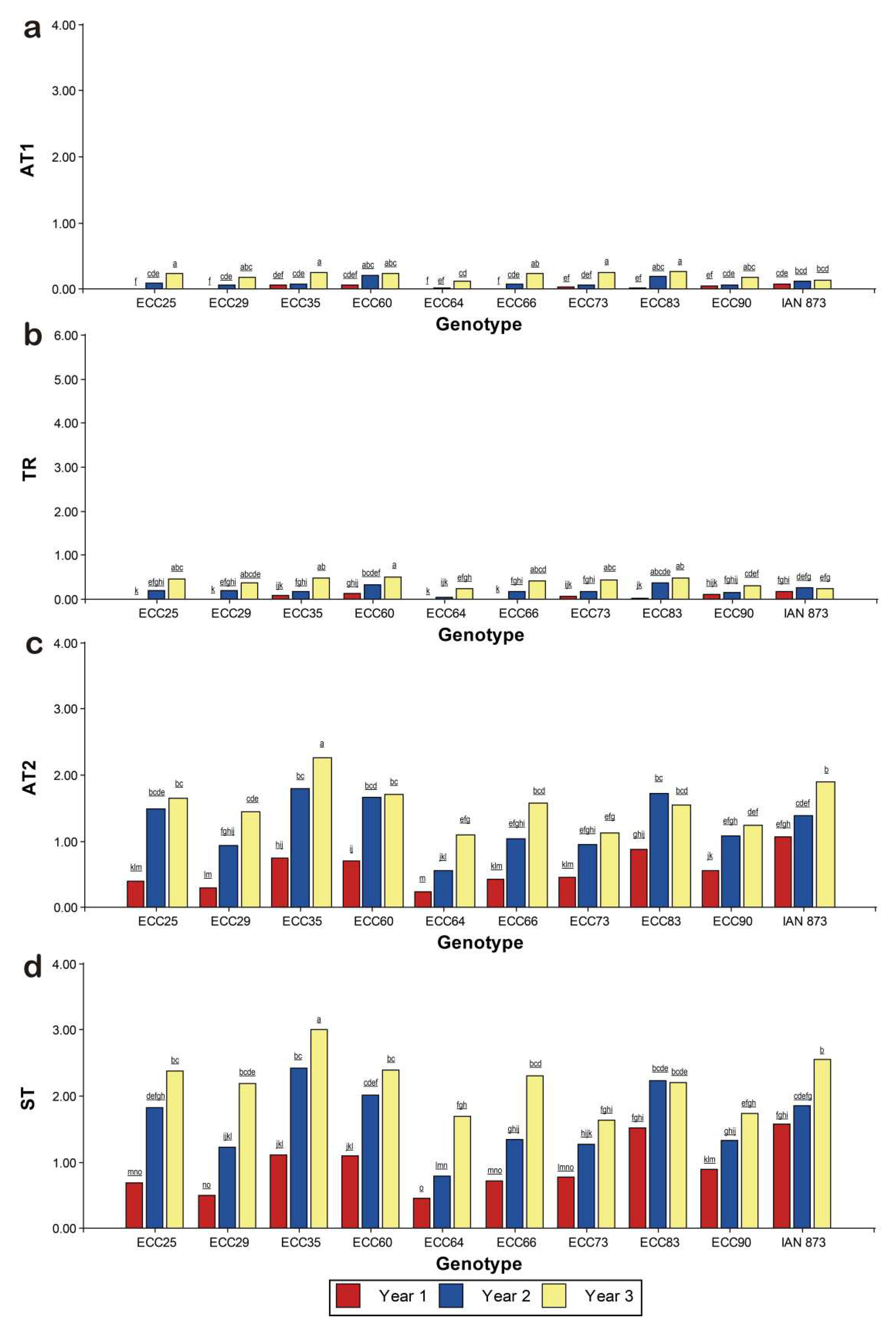
2.4. Resistance to SALB
3. Discussion
4. Materials and Methods
4.1. Study Area
4.1.1. Location
4.1.2. Soils
4.1.3. Climate
4.2. Experimental Design and Plot Management
4.3. Plant material
4.4. Evaluations and Data Analysis
4.4.1. Growth and early yield
4.4.2. Resistance to SALB
4.4.3. Statistical analysis
5. Conclusions
Author Contributions
Funding
Institutional Review Board Statement
Informed Consent Statement
Data Availability Statement
Acknowledgments
Conflicts of Interest
References
- Rivano, F.; Mattos, C.R.R.; Cardoso, S.E.A.; Martinez, M.; Cevallos, V.; Le Guen, V.; Garcia, D. Breeding Hevea Brasiliensis for Yield, Growth and SALB Resistance for High Disease Environments. Ind. Crops Prod. 2013, 44, 659–670. [Google Scholar] [CrossRef]
- Mazlan, S.; Jaafar, N.; Wahab, A.; Sulaiman, Z.; Rajandas, H.; Zulperi, D. Major Diseases of Rubber ( Hevea Brasiliensis ) in Malaysia. Pertanika J. Sch. Res. Rev. 2019, 5, 10–21. [Google Scholar]
- Prabhakaran, K.P. The Agronomy and Economy of Important Tree Crops of the Developing World; Nair, K.P.P., Ed.; Elsevier: New Delhi, India, 2010; ISBN 978-0-12-384677-8.
- FAO FAOSTAT; http://www.fao.org/faostat/, 2023;
- Sant’Anna, I. de C.; Gouvêa, L.R.L.; Martins, M.A.; Scaloppi Junior, E.J.; de Freitas, R.S.; Gonçalves, P. de S. Genetic Diversity Associated with Natural Rubber Quality in Elite Genotypes of the Rubber Tree. Sci. Rep. 2021, 11, 1–10. [Google Scholar] [CrossRef]
- Truong, V. Van; Lam, L. Van; Thuy, L.M.; Dinh, H.D.; Thao, N.T.; Rivallan, R.; Biet, H. Van; Guen, V. Le Population Genetic Structure of a Thousand Rubber Tree Accessions from Wild Rondônia Populations Conserved in Vietnam. Genet. Resour. Crop Evol. 2020, 67, 475–487. [Google Scholar] [CrossRef]
- Maiden, N.A.; Syd Ali, N.; Ahmad, K.; Atan, S.; Wong, M.Y. Growth and Physiological Responses of Hevea Brasiliensis to Rigidoporus Microporus Infection. J. Rubber Res. 2022, 25, 213–221. [Google Scholar] [CrossRef]
- Malmonge, J.A.; Camillo, E.C.; Moreno, R.M.B.; Mattoso, L.H.C.; McMahan, C.M. Comparative Study on the Technological Properties of Latex and Natural Rubber from Hancornia Speciosa Gomes and Hevea Brasiliensis. J. Appl. Polym. Sci. 2008, 111, 2986–2991. [Google Scholar] [CrossRef]
- Jaimes, Y.; Rojas, J.; Cilas, C.; Furtado, E.L. Suitable Climate for Rubber Trees Affected by the South American Leaf Blight (SALB): Example for Identification of Escape Zones in the Colombian Middle Magdalena. Crop Prot. 2016, 81, 99–114. [Google Scholar] [CrossRef]
- Lieberei, R. South American Leaf Blight of the Rubber Tree (HeveaSpp.): New Steps in Plant Domestication Using Physiological Features and Molecular Markers. Ann. Bot. 2007, 100, 1125–1142. [Google Scholar] [CrossRef]
- da Hora Júnior, B.T. Da; de Macedo, D.M.; Barreto, R.W.; Evans, H.C.; Mattos, C.R.R.; Maffia, L.A.; Mizubuti, E.S.G. Erasing the Past: A New Identity for the Damoclean Pathogen Causing South American Leaf Blight of Rubber. PLoS One 2014, 9. [Google Scholar] [CrossRef]
- Le Guen, V.; Garcia, D.; Mattos, C.R.R.; Doaré, F.; Lespinasse, D.; Seguin, M. Bypassing of a Polygenic Microcyclus Ulei Resistance in Rubber Tree, Analyzed by QTL Detection. New Phytol. 2007, 173, 335–345. [Google Scholar] [CrossRef]
- Sobha, S.; Rekha, K.; Uthup, T.K.; Abstract Biotechnological Advances in Rubber Tree (Hevea Brasiliensis Muell. Arg.) Breeding. In Advances in Plant Breeding Strategies: Industrial and Food Crops; Al-Khayri, J.M., Jain, S.M., Johnson, D. V, Eds.; Springer Nature Switzerland: Switzerland, 2019; Vol. 6, pp. 179–236 ISBN 9783030232658.
- Sterling, A.; Pimentel-Parra, G.A.; Virguez-Díaz, Y.R.; Suárez-Córdoba, Y.D.; Hoyos-Duarte, J.D.; Fonseca-Restrepo, J.A. Long-Term Resistance in Promising Rubber Tree Genotypes as a Breeding Source for Improving South American Leaf Blight Management under High Disease Incidence in the Colombian Amazon. Crop Prot. 2021, 150. [Google Scholar] [CrossRef]
- Sterling, A.; Galindo-Rodríguez, L.C.; Suárez-Córdoba, Y.D.; Velasco-Anacona, G.; Andrade-Ramírez, T.; Gómez-Torres, A.K. Early Assessing Performance and Resistance of Colombian Rubber Tree Genotypes under High South American Leaf Blight Pressure in Amazon. Ind. Crops Prod. 2019, 141. [Google Scholar] [CrossRef]
- Sterling, A.; Martínez-Viuche, E.J.; Suárez-Córdoba, Y.D.; Agudelo-Sánchez, A.A.; Fonseca-Restrepo, J.A.; Andrade-Ramírez, T.K.; Virguez-Díaz, Y.R. Assessing Growth, Early Yielding and Resistance in Rubber Tree Clones under Low South American Leaf Blight Pressure in the Amazon Region, Colombia. In Industrial Crops and Products; Elsevier B.V., 2020; Vol. 158.
- Sterling, A.; Rodríguez, C.H. Valoración de Nuevos Clones de Hevea Brasiliensis Con Proyección Para La Amazonia Colombiana: Fases de Pre y Post-Sangría Temprana En El Caquetá; Sterling, A., Rodríguez, C.H., Eds.; Instituto Amazónico de Investigaciones Científicas - SINCHI: Bogotá (Colombia), 2020; ISBN 978-958-5427-25-9. [Google Scholar]
- Sterling, A.; Rodríguez, C.H. Estrategias de Manejo Para Las Principales Enfermedades y Plagas Del Cultivo Del Caucho Con Énfasis En La Amazonia Colombiana.; Instituto Amazónico de Investigaciones Científicas - SINCHI: Florencia Caquetá, 2018; ISBN 9789585427082. [Google Scholar]
- Rivano, F.; Vera, J.; Cevallos, V.; Almeida, D.; Maldonado, L.; Flori, A. Performance of 10 Hevea Brasiliensis Clones in Ecuador, under South American Leaf Blight Escape Conditions. Ind. Crops Prod. 2016, 94, 762–773. [Google Scholar] [CrossRef]
- Sterling, A.; Martínez-Viuche, E.J.; Pimentel-Parra, G.A.; Suárez-Córdoba, Y.D.; Fonseca-Restrepo, J.A.; Virguez-Díaz, Y.R. Dynamics of Adaptive Responses in Growth and Resistance of Rubber Tree Clones under South American Leaf Blight Non-Escape Conditions in the Colombian Amazon. Ind. Crops Prod. 2019, 141. [Google Scholar] [CrossRef]
- Castañeda, A. Zonas Aptas Para El Cultivo de Caucho En Colombia; Serie Técnica No. 39 - CONIF: Bogotá, Colombia, 1997;
- Correa-Pinilla, D.E.; Gutiérrez-Vanegas, A.J.; Gil-Restrepo, J.P.; Martínez-Atencia, J.; Córdoba-Gaona, O. de J. Agroecological and South American Leaf Blight Escape Zones for Rubber Cultivation in Colombia. Agron. J. 2022, 114, 2830–2844. [Google Scholar] [CrossRef]
- Da Silva, K.R.; Cecílio, R.A.; Xavier, A.C.; Pezzopane, J.R.M.; Garcia, E.G. de O. Zoneamento Edafoclimático Para a Cultura Da Seringueira No Espírito Santo. 2013, 1–12.
- Guyot, J.; Condina, V.; Doaré, F.; Cilas, C.; Sache, I. Segmentation Applied to Weather-Disease Relationships in South American Leaf Blight of the Rubber Tree. Eur. J. Plant Pathol. 2010, 126, 349–362. [Google Scholar] [CrossRef]
- Rivano, F.; Maldonado, L.; Simbaña, B.; Lucero, R.; Gohet, E.; Cevallos, V.; Yugcha, T. Suitable Rubber Growing in Ecuador: An Approach to South American Leaf Blight. Ind. Crops Prod. 2015, 66, 262–270. [Google Scholar] [CrossRef]
- Sterling, A.; Suárez, J.C.; Rodríguez, C.H.; Caicedo, D.F.; Salas, Y.M.; Virguez, Y.R. Crecimiento Inicial de Clones Promisorios de Hevea Brasiliensis (Willd. Ex A. Juss.) Müll. Arg. En Sistema Agroforestal En Caquetá, Colombia. Colomb. For. 2015, 18, 175. [Google Scholar] [CrossRef]
- Gireesh, T.; Meenakumari, T.; Mydin, K.K. Fast Track Evaluation and Selection of Hevea Brasiliensis Clones from a Clonal Nursery. Ind. Crops Prod. 2017, 103, 195–201. [Google Scholar] [CrossRef]
- Gonçalves, P.D.S.; Bortoletto, N.; Furtado, E.L. Desempenho de Clones de Seringueira Da Série IAC 300 Selecionados Para a Região Noroeste Do Estado de São Paulo ( 1 ) Material e Métodos. 2001, 589–599.
- Vrignon-Brenas, S.; Gay, F.; Ricard, S.; Snoeck, D.; Perron, T.; Mareschal, L.; Laclau, J.P.; Gohet, É.; Malagoli, P. Nutrient Management of Immature Rubber Plantations. A Review. Agron. Sustain. Dev. 2019, 39. [Google Scholar]
- Gouvêa, L.R.L.; Silva, G.A.P.; Verardi, C.K.; Oliveira, A.L.B.; Gonçalves, P. de S. Simultaneous Selection of Rubber Yield and Girth Growth in Young Rubber Trees. Ind. Crops Prod. 2013, 50, 39–43. [Google Scholar] [CrossRef]
- Gonçalves, P. de S.; Silva, M. de A.; Gouvêa, L.R.L.; Scaloppi Junior, E.J. Genetic Variability for Girth Growth and Rubber Yield in Hevea Brasiliensis. Sci. Agric. 2006, 63, 246–254. [Google Scholar] [CrossRef]
- Vélez-Sánchez, D.F.; Nieto-Rodríguez, V.M. Desempeño Inicial de Clones de Caucho En El Municipio de Puerto Carreño, Vichada, Colombia. Colomb. For. 2013, 16, 186–199. [Google Scholar]
- Vinod, K.K.; Rajeswari, M.J.; Pothen, J.; Krishnakumar, A.K.; Sethuraj, M.R. Performance Analysis for Wintering Pattern in Hevea Brasiliensis Clones; 1996; Vol. 9;
- Quesada-Méndez, I.; Aristizábal-Gutiérrez, F.; Montoya-Castaño, D. Characterization of Two Latex Parameters from Hevea Brasiliensis (Willd. Ex A. Juss.) Müll. Arg. Clones in the Colombian Altillanura. Colomb. For. 2012, 15, 139. [Google Scholar] [CrossRef]
- Sethuraj, M.R. Yield Components in Hevea Brasiliensis. In Natural Rubber Biology, Cultivation and Technology; Sethuraj, M.R., Mathew, N.M., Eds.; Developments in Crop Science; Elsevier: Kerala, India, 1992; Volume 23, pp. 137–163. [Google Scholar]
- Mendoza-Vargas, L.P.; Jiménez-Forero, J.A. Effect of Inclusion of Anticoagulants during the Benefit of Hevea Brasiliensis (Willd. Ex a.Juss.) Müll. Arg. Colomb. For. 2018, 21, 91–101. [Google Scholar] [CrossRef]
- Ajith, S. V.; Nair, N.N.; Sathik, M.B.M.; Meenakumari, T. Breeding for Low-Temperature Stress Tolerance in Hevea Brasiliensis: Screening of Newly Developed Clones Using Latex Biochemical Parameters. J. Rubber Res. 2021, 24, 819–828. [Google Scholar] [CrossRef]
- Quesada-Méndez, I.; Aristizábal-Gutiérrez, F. Characterization of Two Latex Parameters from Hevea Brasiliensis (Willd. Ex A. Juss.) Müll. Arg. Clones in the Colombian Altillanura. Colomb. For. 2012, 15, 139–146. [Google Scholar]
- Cáceres, S.A.P.; Gauthier-Maradei, P. Thermogravimetric Analysis as a New Method to Determine of Total Solid Content (TSC) and Dry Rubber Content (DRC) of Natural Latex. Rev. ION 2012, 57–65. [Google Scholar]
- Támara, A.M.; Reyes, H. Physicochemical Analysis and Characterization of the Hevea Brasiliensis Species. Entre Cienc. e Ingienería 2015, 18, 9–15. [Google Scholar]
- Jacob, J..; Prévöt, J.C.; Roussel, D.; Lacrotte, R.; Serres, E.; d’Auzac, J.; Eschbach, J.M.; Omont, H. Yield Limiting Factors for Latex Yield of Hevea. In Physiology of rubber tree latex. The laticiferous cell and latex : a model of cytoplasm; D’Auzac, J., Jacob, J.-L., Chrestin, H., Eds.; CRC Press: Florida, United States, 1989; Vol. 1, pp. 345–397 ISBN 0849348935.
- Guyot, J.; Condina, V.; Doaré, F.; Cilas, C.; Sache, I. Role of Ascospores and Conidia in the Initiation and Spread of South American Leaf Blight in a Rubber Tree Plantation. Plant Pathol. 2014, 63, 510–518. [Google Scholar] [CrossRef]
- Guyot, J.; Le Guen, V. A Review of a Century of Studies on South American Leaf Blight of the Rubber Tree. Plant Dis. 2018, 1–14. [Google Scholar] [CrossRef]
- Rivano, F.; Martinez, M.; Cevallos, V.; Cilas, C. Assessing Resistance of Rubber Tree Clones to Microcyclus Ulei in Large-Scale Clone Trials in Ecuador: A Less Time-Consuming Field Method. Eur. J. Plant Pathol. 2010, 126, 541–552. [Google Scholar] [CrossRef]
- Rivano, F.; Martinez, M.; Cevallos, V.; Cilas, C. Assessing Resistance of Rubber Tree Clones to Microcyclus Ulei in Large-Scale Clone Trials in Ecuador: A Less Time-Consuming Field Method. Eur. J. Plant Pathol. 2010, 126, 541–552. [Google Scholar] [CrossRef]
- Le Guen, V.; Garcia, D.; Mattos, C.; Fouet, O.; Doaré, F.; Condina, V.; Seguin, M. A Newly Identified Locus Controls Complete Resistance to Microcyclus Ulei in the Fx2784 Rubber Clone. Tree Genet. Genomes 2013, 9, 805–812. [Google Scholar] [CrossRef]
- Instituto Geográfico Agustín Codazzi (IGAC) Estudio General de Suelos y Zonificación de Tierras Departamento de Caquetá Escala 1.100.000; Imprenta Nacional de Colombia: Bogotá (Colombia), 2014.
- Instituto Geográfico Agustín Codazzi -IGAC Caquetá. Características Geodráficas; IGAC: Bogotá (Colombia), 2010; ISBN 978-958-8323-37-4.
- Clément-Demange, A.; Nicolas, D.; Legnaté, H.; Rivano, F.; Le Guen, V.; Gnagne, M.; Chapuset, T. Hévéa: Stratégies de Sélection. Plant. Rech. Développement 1995, 2, 5–14. [Google Scholar]
- Sterling, A.; Andrade-Ramírez, T.K.; Clavijo-Arias, E.A.; Guaca-Cruz, L.; Celis-Hernández, M.D.; Noriega, J.E.; Torres-Barrero, R.; Suárez-Salazar, J.C. Evaluación de Los Rasgos de Crecimiento, Nutricionales y Fisiológicos de Genotipos Caquetenses Selección ECC 1 de Caucho (Hevea Brasiliensis) En Campos Clonales a Gran Escala En El Caquetá. In Valoración de nuevos clones de Hevea brasiliensis con proyección para la Amazonia colombiana: fases de pre y post-sangría temprana en el Caquetá; Sterling, A., Rodríguez, C.H., Eds.; Instituto Amazónico de Investigaciones Científicas SINCHI: Bogotá, Colombia, 2020; pp. 127–152 ISBN 978-958-5427-25-9.
- Sterling, A.; Rodríguez, C.H. Nuevos Clones de Cuacho Natural Para La Amazonía Colombiana :Enfasís En La Resistencia Al Mal Suramericano de Las Hojas (Mycrocyclus Ulei); Sterling, A., Rodríguez, C.H., Eds.; 1st ed.; Instituto Amazónico de Investigaciones Científicas SINCHI: Bogotá, Colombia, 2011; ISBN 978-958-8317-68-7.
- 2015; 52. Confederación Cauchera Colombiana (CCC) Estado Actual Del Gremio Cauchero Colombiano; Bogotá, Colombia, 2015;
- Sterling, A.; Rodríguez, C.H. Estrategias de Manejo Para Las Principales Enfermedades y Plagas Del Cultivo Del Caucho Con Énfasis En La Amazonia Colombiana; Instituto Amazónico de Investigaciones Científicas - SINCHI: Florencia, Colombia, 2018; ISBN 978-958-5427-08-2.
- Silva, G.A.P.; Gouvêa, L.R.L.; Verardi, C.K.; Oliveira, A.L.B. de; Gonçalves, P. de S. Annual Growth Increment and Stability of Rubber Yield in the Tapping Phase in Rubber Tree Clones: Implications for Early Selection. Ind. Crops Prod. 2014, 52, 801–808. [Google Scholar] [CrossRef]
- Meenakumari, T.; Meenattoor, J.R.; Thirunavoukkarasu, M.; Vinod, K.K.; Krishan, B.; Gireesh, T.; Thomas, V.; Mydin, K.K.; Jacob, J. Dynamics of Long-Term Adaptive Responses in Growth and Rubber Yield among Hevea Brasiliensis Genotypes Introduced to a Dry Sub-Humid Climate of Eastern India. Ind. Crops Prod. 2018, 119, 294–303. [Google Scholar] [CrossRef]
- Lacote, R.; Gabla, O.; Obouayeba, S.; Eschbach, J.M.; Rivano, F.; Dian, K.; Gohet, E. Long-Term Effect of Ethylene Stimulation on the Yield of Rubber Trees Is Linked to Latex Cell Biochemistry. F. Crop. Res. 2010, 115, 94–98. [Google Scholar] [CrossRef]
- Chee, K.H.; Holliday, P. South American Leaf Blight of Hevea Rubber. Malaysian Rubber Res. Dev. Board Monogr. 1986, 13, 50. [Google Scholar]
- Junqueira, N.T. V; Chaves, G.M.; Zambolim, L.; Gasparotto, L.; Alfenas, A.C. Variabilidade Fisiológica de Microcyclus Ulei. Fitopatol. Bras. 1986, 11, 823–833. [Google Scholar]
- Mattos, C.; Garcia, D.; Pinard, F.; Le Guen, V. Variabilidade de Isolados de Microcyclus Ulei No Sudeste de Bahia. Fitopatol. Bras. 2003, 5, 502–507. [Google Scholar]
- Verbeke, G.; Molenberghs, G. Linear Mixed Models For Longitudinal Data. 2010.
- Pinheiro, J.; Bates, D.; Saikat, D. Deepayan Sarkar and the R Development Core Team. Nlme: Linear and Nonlinear Mixed Effects Models. R Packag. 2013, 3, 1–109. [Google Scholar]
- R. Core Team R: A Language and Environment for Statistical Computing. 2018.
- Di Rienzo, J.A.; Casanoves, F.; Balzarine, M.G.; Gonzales, L.; Tablada, M.; Robledo, C.W. InfoStat Versión 2018 2018.
- Dolédec, S.; Chessel, D. Co-inertia Analysis: An Alternative Method for Studying Species–Environment Relationships. Freshw. Biol. 1994, 31, 277–294. [Google Scholar] [CrossRef]
- Thioulouse, J.; Chessel, D.; Dolédec, S.; Olivier, J.-M. ADE-4 a Multivariate Analysis and Graphical Display Software. Stat. Comput. 1997, 7. [Google Scholar] [CrossRef]



| Model | Compound symmetric model with heterogeneous variances (CSH) | First order autoregressive model with heterogeneous variances (ARH1) | First order continuous autoregressive model with heterogeneous variances (CARH1) | Unstructured model with heterogeneous variances (UNH) | |||||||||||
| Variable | log Lik | AIC | BIC | log Lik | AIC | BIC | log Lik | AIC | BIC | log Lik | AIC | BIC | |||
| CTpt | -175.38 | 420.77 | 508.26 | -170.39 | 410.77 | 498.27 | -170.39 | 410.77 | 498.27 | -165.18 | 404.35 | 496.84 | |||
| AT1 | 159.78 | -235.6 | -130.6 | 159.97 | -236 | -131 | 159.97 | -235.95 | -131 | 161.4 | -234.8 | -124.81 | |||
| AT2 | 63.18 | -56.36 | 31.13 | 63.29 | -56.59 | 30.91 | 63.29 | -56.59 | 30.91 | 64.22 | -54.44 | 38.06 | |||
| ST | 48.8 | -27.59 | 59.9 | 48.68 | -27.37 | 60.13 | 48.68 | -27.36 | 60.13 | 49.65 | -25.3 | 67.2 | |||
| TR | 97.9 | -125.8 | -38.31 | 97.1 | -124.2 | -36.7 | 97.1 | -124.19 | -36.7 | 101.28 | -128.57 | -36.07 | |||
| log Lik, Log-likelihood; AIC, Akaike criterion; BIC, Bayesian criterion (Verbeke and Molenberghs, 2000). | |||||||||||||||
| CTpt, circumference of the trunk in the pre-tapping phase; AT1, attack severity on young leaves; AT2, attack severity on mature leaves; TR, type of reaction on young leaves (conidial sporulation intensity, TR); ST, stroma density on mature leaves [16,20,44]. | |||||||||||||||
| Variable | DF1a | DF2b | DF3c | Genotype | Year | Genotype x Year |
| CTpt | 9 | 2 | 18 | 4.42 (0.0001) | 714.72 (<0.0001) | 2.23 (0.0074) |
| AT1 | 9 | 2 | 18 | 5.35 (<0.0001) | 89.39 (<0.0001) | 2.98 (0.0004) |
| AT2 | 9 | 2 | 18 | 16.19 (<0.0001) | 256.90 (<0.0001) | 2.68 (0.0012) |
| ST | 9 | 2 | 18 | 19.30 (<0.0001) | 215.16 (<0.0001) | 3.08 (0.0002) |
| TR | 9 | 2 | 18 | 3.50 (0.0010) | 116.21 (<0.0001) | 2.09 (0.0125) |
| DRC | 9 | - | - | 10.14 (<0.0001) | - | - |
| DRY | 9 | - | - | 18.85 (<0.0001) | - | - |
| CTo | 9 | - | - | 5.69 (<0.0001) | - | - |
| CTpt, circumference of the trunk in the pre-tapping phase; AT1, attack severity on young leaves; AT2, attack severity on mature leaves; TR, type of reaction on young leaves (conidial sporulation intensity, TR); ST, stroma density on mature leaves [16,20,44]. DRC dry rubber content, DRY dry rubber yield, CTo circumference of the trunk at opening [16,55] | ||||||
| DF1a Degrees of freedom for the factor genotype. | ||||||
| DF2b Degrees of freedom for the factor year. | ||||||
| DF3c Degrees of freedom for interaction genotype x year.-Not applicable | ||||||
| Genotype | Year 1 | Year 2 | Year 3 |
| ECC 25 | 9.37 ± 0,49akb | 18.33 ± 0.88def | 25.75 ± 1.24ab |
| ECC 29 | 9.43 ± 0,49k | 16.98 ± 0.88fgh | 22.80 ± 1.24bc |
| ECC 35 | 7.78 ± 0.49l | 13.33 ± 0.88i | 20.23 ± 1.24cde |
| ECC 60 | 9.03 ± 0.49k | 14.89 ± 0.88hi | 21.44 ± 1.24c |
| ECC 64 | 10.69 ± 0.49j | 20.44 ± 0.88cd | 27.48 ± 1. 24a |
| ECC 66 | 8.73 ± 0.49kl | 15.31 ± 0.88ghi | 22.54 ± 1.24bc |
| ECC 73 | 9.44 ± 0.49k | 16.66 ± 0.88fgh | 22.84 ± 1.24bc |
| ECC 83 | 9.62 ± 0.49 jk | 17.31 ± 0.88efg | 23.61 ± 1.24bc |
| ECC 90 | 9.02 ± 0.49k | 15.83 ± 0.88gh | 23.63 ± 1.24bc |
| IAN 873 | 9.82 ± 0.49jk | 16.28 ± 0.88fgh | 22.41 ± 1.24bc |
| a Standard error. | |||
| b Means in each column with the same letter do not differ statistically (Fisher’s LSD test, p < 0.05). | |||
| Genotype | CTo (cm) | DRY (g.tree−1 .tap−1) | DRC (%) |
| ECC 25 | 26.86 ± 0. 35abb | 5.57 ± 0. 43a | 32.45 ± 0. 44a |
| ECC 29 | 26.49 ± 0. 37b | 0.74 ± 0.18c | 31.44 ± 2. 29a |
| ECC 35 | 25.00 ± 2. 45b | 0.42 ± 1.14c | 26.24 ± 0.76b |
| ECC 60 | 25.03 ± 0.93b | 1.21 ± 0.43c | 30.43 ± 0.70ab |
| ECC 64 | 27.92 ± 0. 26a | 3.76 ± 0.66b | 31.38 ± 1.01a |
| ECC 66 | 25.54 ± 0. 78b | 1.09 ± 0.43c | 30.75 ± 1. 10a |
| ECC 73 | 25.62 ± 0. 56b | 2.23 ± 0.43bc | 32.42 ± 1. 18a |
| ECC 83 | 26.09 ± 0. 45b | 3.30 ± 0.24b | 30.53 ± 1.98ab |
| ECC 90 | 26.94 ± 0. 57b | 2.96 ± 0.81bc | 28.83 ± 3.05ab |
| IAN 873 | 25.47 ± 0. 60b | 1.88 ± 0.28c | 32.83 ± 0. 10a |
| CTo circumference of the trunk at opening (time of commencement of tapping or 3th year), DRY dry rubber yield, DRC dry rubber content (all in the early tapping). a Standard error. b Means in each column with the same letter do not differ statistically (Fisher’s LSD test, p < 0.05) | |||
Disclaimer/Publisher’s Note: The statements, opinions and data contained in all publications are solely those of the individual author(s) and contributor(s) and not of MDPI and/or the editor(s). MDPI and/or the editor(s) disclaim responsibility for any injury to people or property resulting from any ideas, methods, instructions or products referred to in the content. |
© 2023 by the authors. Licensee MDPI, Basel, Switzerland. This article is an open access article distributed under the terms and conditions of the Creative Commons Attribution (CC BY) license (http://creativecommons.org/licenses/by/4.0/).
