Submitted:
11 April 2024
Posted:
12 April 2024
Read the latest preprint version here
Abstract
Keywords:
1. Introduction
2. Cosmic Acceleration
3. De-Sitter Phase
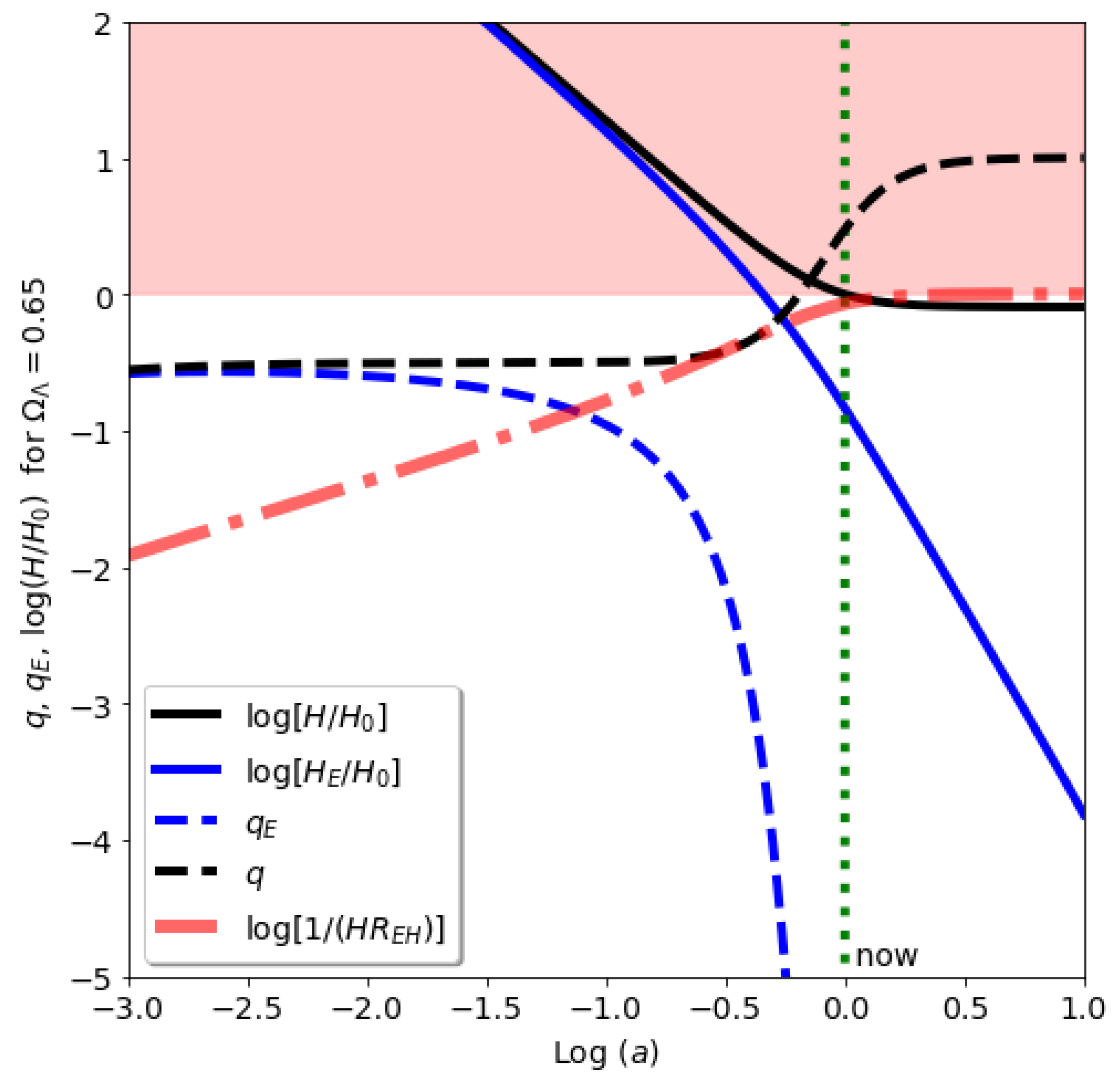
4. Event Acceleration
5. Event Horizon

6. Comparison to Data
7. Discussion & Conclusion
Funding
Data Availability Statement
Conflicts of Interest
Appendix A. Newtonian and Hookeonian Limits
References
- de Boer, J.; Dittrich, B.; Eichhorn, A.; Giddings, S.B.; Gielen, S.; Liberati, S.; Livine, E.R.; Oriti, D.; Papadodimas, K.; Pereira, A.D.; Sakellariadou, M.; Surya, S.; Verlinde, H. Frontiers of Quantum Gravity: shared challenges, converging directions. e-prints 2022, p. arXiv:2207.10618.
- DES Collaboration. DES Year 3 results: Cosmological constraints from galaxy clustering and weak lensing. PRD 2022, 105, 023520. [Google Scholar] [CrossRef]
- Huterer, D.; Turner, M.S. Prospects for probing the dark energy via supernova distance measurements. PRD 1999, 60, 081301. [Google Scholar] [CrossRef]
- Weinberg, S. The cosmological constant problem. Reviews of Modern Physics 1989, 61, 1–23. [Google Scholar] [CrossRef]
- Carroll, S.M.; Press, W.H.; Turner, E.L. The cosmological constant. ARAA 1992, 30, 499–542. [Google Scholar] [CrossRef]
- Peebles, P.J.; Ratra, B. The cosmological constant and dark energy. Reviews of Modern Physics 2003, 75, 559–606. [Google Scholar] [CrossRef]
- Lanczos, K. Bemerkung zur de Sitterschen Welt. Phys.Z. 1922, 23, 539–543. [Google Scholar]
- Mitra, A. Interpretational conflicts between the static and non-static forms of the de Sitter metric. Nature Sci. Reports 2012, 2, 923. [Google Scholar] [CrossRef] [PubMed]
- Gaztañaga, E. The Black Hole Universe, Part I. Symmetry 2022, 14, 1849. [Google Scholar] [CrossRef]
- Ellis, G.F.R.; Rothman, T. Lost horizons. American Journal of Physics 1993, 61, 883–893. [Google Scholar] [CrossRef]
- Scolnic, D.M.; Jones, D.O.; Rest, A.; Pan, Y.C.; Chornock, R.; Foley, R.J.; Huber, M.E.; Kessler, R.; Narayan, G.; Riess, A.G.; Rodney, S.; Berger, E.; Brout, D.J.; Challis, P.J.; Drout, M.; Finkbeiner, D.; Lunnan, R.; Kirshner, R.P.; Sanders, N.E.; Schlafly, E.; Smartt, S.; Stubbs, C.W.; Tonry, J.; Wood-Vasey, W.M.; Foley, M.; Hand, J.; Johnson, E.; Burgett, W.S.; Chambers, K.C.; Draper, P.W.; Hodapp, K.W.; Kaiser, N.; Kudritzki, R.P.; Magnier, E.A.; Metcalfe, N.; Bresolin, F.; Gall, E.; Kotak, R.; McCrum, M.; Smith, K.W. The Complete Light-curve Sample of Spectroscopically Confirmed SNe Ia from Pan-STARRS1 and Cosmological Constraints from the Combined Pantheon Sample. ApJ 2018, 859, 101. [Google Scholar] [CrossRef]
- Liu, Y.; Cao, S.; Biesiada, M.; Lian, Y.; Liu, X.; Zhang, Y. Measuring the Speed of Light with Updated Hubble Diagram of High-redshift Standard Candles. ApJ 2023, 949, 57. [Google Scholar] [CrossRef]
- Gaztañaga, E.; Miquel, R.; Sánchez, E. First Cosmological Constraints on Dark Energy from the Radial Baryon Acoustic Scale. Phy.Rev.Lett. 2009, 103, 091302. [Google Scholar] [CrossRef]
- Gaztañaga, E.; Cabré, A.; Hui, L. Clustering of luminous red galaxies - IV. Baryon acoustic peak in the line-of-sight direction and a direct measurement of H(z). MNRAS 2009, 399, 1663–1680. [Google Scholar] [CrossRef]
- Niu, J.; Chen, Y.; Zhang, T.J. Reconstruction of the dark energy scalar field potential by Gaussian process. e-prints 2023, p. arXiv:2305.04752.
- Planck Collaboration. Planck 2018 results. VI. Cosmological parameters. A&A 2020, 641, A6. [Google Scholar]
- Riess, A.G. The expansion of the Universe is faster than expected. Nature Reviews Physics 2019, 2, 10–12. [Google Scholar] [CrossRef]
- Abdalla, E.; et al. Cosmology intertwined: A review of the particle physics, astrophysics, and cosmology associated with the cosmological tensions and anomalies. JHEA 2022, 34, 49–211. [Google Scholar]
- Bautista, J.; et al. Measurement of baryon acoustic oscillation correlations at z = 2.3 with SDSS DR12 Lyα-Forests. A& A 2017, 603, A12. [Google Scholar]
- Gaztañaga, E. Do White Holes Exist? Universe 2023, 9, 194. [Google Scholar] [CrossRef]
- Gaztañaga, E. The mass of our observable Universe. MNRAS 2023, 521, L59–L63. [Google Scholar] [CrossRef]
- Padmanabhan, T. Gravitation, Cambridge U. Press; 2010.
- Gaztañaga, E. The size of our causal Universe. MNRAS 2020, 494, 2766–2772. [Google Scholar] [CrossRef]
- Gaztañaga, E. The cosmological constant as a zero action boundary. MNRAS 2021, 502, 436–444. [Google Scholar] [CrossRef]
- Calder, L.; Lahav, O. Dark energy: back to Newton? Astronomy & Geophysics 2008, 49, 1–13. [Google Scholar]




Disclaimer/Publisher’s Note: The statements, opinions and data contained in all publications are solely those of the individual author(s) and contributor(s) and not of MDPI and/or the editor(s). MDPI and/or the editor(s) disclaim responsibility for any injury to people or property resulting from any ideas, methods, instructions or products referred to in the content. |
© 2024 by the authors. Licensee MDPI, Basel, Switzerland. This article is an open access article distributed under the terms and conditions of the Creative Commons Attribution (CC BY) license (http://creativecommons.org/licenses/by/4.0/).