Preprint
Article

This version is not peer-reviewed.

Casimir-Lifshitz frictional heating in a system of parallel metallic plates

A peer-reviewed article of this preprint also exists.

Submitted:

11 September 2023

Posted:

13 September 2023

You are already at the latest version

Abstract
The Casimir–Lifshitz friction force and the heating rates of two metal plates with a narrow vacuum gap between them during nonrelativistic motion of one of them are calculated analytically and numerically within the framework of fluctuation electrodynamics. Changes in material properties are taken into account using the Bloch-Grüneisen and modified Bloch-Grüneisen (with finite residual resistance) resistivity models within the Drude approximation. It is shown that identical plates with the same initial temperature have the same heating rate, determined by the power of the friction force, and the possibility of measuring the friction force from the heating kinetics of nonmagnetic metal plates with temperatures of 1–10 K is substantiated.
Keywords: 
;  ;  

1. Introduction

Over the past two decades, much effort has been spent on investigating the static [1,2] and dynamic [3,4] Casimir effect in various geometric configurations, including a system of two parallel metal (dielectric) plates separated by a narrow vacuum gap. The main objective of these studies is the properties of a fluctuating electromagnetic field and its interaction with matter on the nanoscale. The measurement of these effects paves the way to the core of nonequilibrium quantum field theory [6,7,8].
In addition to the attractive (in most cases) Casimir forces between electrically neutral bodies at rest, a dissipative tangential force arises when one or both bodies move relative to each other. In this case, the corresponding fluctuation electromagnetic forces are called “van der Waals” [9], “Casimir” [10] or “quantum” [11] forces of friction. In our opinion, it is convenient to use the general name “Casimir-Lifshitz” (CL) friction force, which incorporates all the features of these dissipative forces regarding their distance, temperature and material properties.
It is worth noting that, despite many intense efforts, no convincing experimental measurements of the CL friction forces have been carried out to date. This is due not only to the small magnitude of these forces relative to the “ordinary” Casimir forces (forces of attraction), but also to the imperfections of the measurement layout. In particular, the effective interaction area and the relative velocity are significantly limited in the “pendulum” measurement scheme used in [12]. Other experimental scenarios [9,13,14,15,16,17] seem to be more exotic. Recently, in [15,16,17], in order to measure traces of quantum friction, the authors suggested a scenario, in which the nitrogen vacancy center in diamond acquires the geometric phase during rotation at a frequency of 103–104 rps near the Si- or Au-coated surface. The nitrogen vacancy centers have been proposed for use as the main components of quantum computer processors [18].
Nearly all experiments to measure Casimir-Lifshitz forces (both conservative and dissipative) have been performed with well conducting materials (metals like gold) under near-normal temperature conditions. Regarding Casimir-Lifshitz friction forces, it has usually been assumed that they decrease with decreasing temperature, as the resistivity of metals and ohmic losses fall. Therefore, at first glance, the friction force also does. The conclusion that for metals the temperature behavior of the CL friction is not so simple, was first made in [19] and later discussed in [20,21]. In has been shown that at temperatures T << θD ( θD is the Debye temperature) the force of friction can increase by several orders of magnitude compared to normal conditions. However, several issues have not been elucidated there, in particular, the relation between friction and heating effects at thermal nonequilibrium, relation between quantum friction and friction at close to zero temperature, kinetics of radiation heating, etc. The effects of thermal nonequilibrium on the CL forces and nonequilibrium thermodynamics of quantum friction have recently been considered in [22,23,24,25].
The main objective of this paper, in addition to studying CL friction and heating in a system of parallel metallic plates of nonmagnetic metals like gold, is to substantiate the possibility of determining the friction force from thermal measurements. In the calculations, the general results of fluctuation electrodynamics [26,27] are used, without a linear expansion in velocity in the basic expressions. It is shown that identical metal plates with different initial temperatures, moving with a constant nonrelativistic velocity V relative to each other, rapidly reach the state of quasithermal equilibrium, continuing to heat up further. The heating rate is then determined by the power of the friction force.
The outline of this paper is as follows. In the next section, general relations between radiative heating and friction force for parallel plates in relative nonrelativistic motion are given. In Secs. 2.2–2.5, I consider the simplest case of identical plates of Drude metals having the same material parameters and temperature T . Analytical expressions are obtained for the friction force of metal plates in the limiting cases of low (zero) temperature, low and high speeds, as well as general expressions describing the kinetics of heating. In Sec. 3, the results of numerical calculations (heating rates of plate 1 and friction parameters η = F x / V ) are given for different thermal configurations and velocities. The analytical results of Sec. 2 are compared with the results of numerical integration according to the general formulas. Section 4 is devoted to a brief discussion of a possible layout of an experiment for determining the CL friction force by measuring the rates of heating of gold plates. Concluding remarks follow in Sec. 5. Appendixes A–C contain the details of analytical calculations. All formulas are written in the Gassian units, ,   c are the Planck constant and the speed of light in vacuum, T is the absolute temperature in units of the energy.

2. General Results

2.1. Radiative Heating and Friction Force for Parallel Plates in Relative Motion

Here, we use the standard formulation of the problem, in which the plates are assumed to be made of homogeneous and isotropic materials with permittivities ε 1 , ε 2 and permeabilities μ 1 ,     μ 2 , depending on the frequency ω and local temperatures T 1 and T 2 (Figure 1).
In line with [26,27], the power F x V of the friction force F x per unit surface area applied to plate 2 in the laboratory coordinate system associated with plate 1, is given by
F x V = P 1 + P 2 / γ .
Here P 1   and P 2 are the heat fluxes of the plates from a unit surface area per unit time, and γ = 1 V 2 / c 2 1 / 2 . For all quantities, indices 1 and 2 here and in what follows correspond to numbering in Figure 1. Moreover, P 1   and P 2 are calculated in the rest frames of the plates. General relativistic expressions for P 1   and P 2   were obtained in [26]. In the nonrelativistic case V / c 1 , but taking retardation into account, a more compact form of P 1   and P 2   reads [27]
P 1 = 4 π 3 0 d ω ω d 2 k q 2 Q m 2 I m q 1 μ 1 I m q ~ 2 μ 2 c o t h ω 2 T 1 c o t h ω 2 T 2 + μ 1,2 ε 1,2 ,  
P 2 = 4 π 3 0 d ω d 2 k ω q 2 Q m 2 I m q 1 μ 1 I m q ~ 2 μ 2 c o t h ω 2 T 1 c o t h ω 2 T 2 + μ 1,2 ε 1,2 ,  
Q m = q + q 1 / μ 1 ) ( q + q ~ 2 / μ ~ 2 ) e x p ( q a q q 1 / μ 1 ) ( q q ~ 2 / μ ~ 2 ) ( q a .
Here ω = ω k x V , q = k 2 ω 2 / с 2 ,   q 1,2 = k 2 ε 1,2 μ 1,2 ω 2 / с 2 , and a is the gap width in Figure 1. Variables with a tilde, such as q ~ 2 , should be used replacing ω ω . The terms μ 1,2 ε 1,2 are defined by the same expressions with appropriate replacements. In the general case, the expressions depending on ε 1,2   a n d   μ 1,2 correspond to the contributions of electromagnetic modes with P and S polarizations. The quantities P 1 and P 2 are directly related to the heating (cooling) rates of the plates: d Q 1 / d t = P 1 and d Q 2 / d t = P 2 .
Using (1)–(4), the power of the friction force F x V = P 1 + P 2   takes the form
F x V = 4 π 3 0 d ω d 2 k k x V q 2 Q m 2 I m q 1 μ 1 I m q ~ 2 μ 2 c o t h ω 2 T 1 c o t h ω 2 T 2 + μ 1,2 ε 1,2 .  
Formula (5) can also be recast into a more familiar form in terms of the Fresnel reflection coefficients [9,23].
At T 1 = T 2 = T , due to the symmetry of the system, the heating rates of identical plates are equal. We then have F x V = 2 P 1,2 , and the friction force can be determined using the heating rate of any plate. For T 1 T 2 , it follows P 1 P 2 , but P 1 T 1 , T 2 = P 2 T 2 , T 1 and, correspondingly, P 1 T 1 , T 2 + P 2 T 1 , T 2 = P 1 T 1 , T 2 + P 1 T 2 , T 1 = P 2 T 1 , T 2 + P 2 T 2 , T 1 . This means that, when measuring the CL friction force, it is sufficient to control the temperature of only one plate.

2.2. Metal Plates in the Drude Model

In order to treat the problem of temperature-dependent CL friction force between ordinary metals, we model them by the Drude model in terms of plasma frequency ω p   and damping parameter ν T = ω p 2 ρ ( T ) / 4 π , with ρ ( T ) being the resistivity:
ε ω = 1 ω p 2 ω ω + i · ν T   .
Figure 2 plots the dependences ρ ( T ) corresponding to the Bloch–Grüneisen (BG) model [28] and the modified Bloch–Grüneisen (MBG) model [29]. In the former case, the residual resistance is zero or can be specified by indicating the effective temperature, below which it is constant. In the MBG model, the residual resistivity is ρ 0 = 2.3 · 10 10 Ω m (see Figure 2).
Hereinafter, for simplicity, we assume that the plates are made of the similar nonmagnetic metal ( μ 1 = μ 2 = 1 ) with the same plasma frequency ω p , but different dependence ν T .
Because ε ω 1 for good conductors, and the inequality gets stronger as T 0 ,   the terms with ε 1,2 in (2) , (3), (5), corresponding to P modes are negligible compared to the terms with μ 1,2 , corresponding to S modes. So, in what follows, the contributions of P modes are omitted.
When calculating the integrals in (2), (3), (5), it is convenient to introduce a new frequency variable ω = ν m T 1 , T 2 t   , with ν m T 1 , T 2 = m a x ( ν 1 T 1 , ν 2 T 2 ) and ν i T i being the damping parameters of plates 1 and 2 depending on their temperatures T 1 and T 2 . The absolute value k of the two-dimensional wave-vector (using the polar coordinates k , ϕ in the plane ( k x , k y ) ) is expressed as k = ( ω p / c ) y 2 + β m 2 t 2 in the evanescent sector k > ω / c ( 0 y < ) and k = ω p / c β m 2 t 2 y 2 in the radiation sector k < ω / c ( 0 y β m t ) ). Moreover, we introduce additional parameters β m = ν m / ω p , α i = ν i / T i , γ i = ν i / ν m , λ = ω p a / c , ζ = ( V / c ) β m 1 , and K = ћ ν m 2 ω p / c 2 / 2 π 3 . With these definitions, for k > ω / c , Eqs. (2), (3) and (5) take the form
P 1 = K 0 d t 0 d y y 3 f 1 t , y ,
P 2 = K 0 d t 0 d y y 3 f 2 t , y ,
F x V = K 0 d t 0 d y y 3 y 2 + β m 2 t 2 f 3 t , y ,
f 1 t , y = t 0 π d ϕ   I m w 1 I m w 2 D 2 Z t , y , ϕ ,
f 2 t , y = 0 π d ϕ t I m w 1 I m w 2 D 2 Z t , y , ϕ ,
f 3 t , y = ζ 0 π d ϕ c o s ϕ I m w 1 I m w 2 D 2 Z t , y , ϕ ,
Z t , y , ϕ = c o t h α 1 t 2 c o t h α 2 t 2 ,
w 1 = y 2 + t t + i · γ 1   ,   w 2 = y 2 + t t + i · γ 2   ,       t = t ζ c o s ϕ y 2 + β m 2 t 2 ,
D = y + w 1 y + w 2 exp λ y y w 1 y w 2 e x p ( λ y ) .
In the sector k < ω / c , formulas (14), (15) should be modified by replacing y i y and substituting β m t for in (7)–(9) in the integrals over y . The expressions for I m w 1,2 can be additionally simplified. For example, it follows
I m w 1 = γ 1 2 y 2 + 1 + y 2 t 2 2 + γ 1 2 t 2 γ 1 2 y 2 1 + y 2 t 2 1 / 2 s g n ( t ) 2 γ 1 2 + t 2 .
The I m w 2 is defined by the same expression (16), substituting γ 2 for γ 1   and t for t . For two identical plates at quasithermal equilibrium, it follows γ 1 = γ 2 = 1 ,   and a simpler useful expression is obtained by expanding the square root in (16) and leaving the expansion terms up to the second order:
I m w 1 t s g n ( t ) 2 1 + t 2 y 2 + 1 + y 2 t 2   .
In this case, an approximate analytical consideration can be carried out.

2.3. Quantum Friction

In the case T 1 = T 2 = 0 , corresponding to the conditions of quantum friction, the main role is played by the evanescent modes k > ω / c . At finite temperatures, the evanescent modes make the dominant contribution at a < 1 µm. This range of distances is very promising experimentally. For this reason, I consider hereinafter only evanescent modes, omitting the small term β m 2 t 2 in (9), (14) and other formulas. So, at zero temperature, substituting the identity Z t , y , ϕ = s g n t s g n t ζ y c o s ϕ into Eq.   9   yields
F x V = 2 K ζ 0 d y y 4 0 π 2 d ϕ c o s ϕ 0 ζ y c o s ϕ d t I m w 1 I m w 2 D 2 .
The simplest asymptotics of (18) can be worked out for two identical plates in the limit of low velocities, ζ 1 . Using (15) and (17), we get
I m w 1 I m w 2 t ( ζ y c o s ϕ t ) 4 y 2 ,   D 2 1 16 y 4 exp 2 λ y .  
Inserting (19) into (18) yields
F x V = π K 2 12 ζ 4 λ 2 = ω p 2 2 13 π 2 ω p c 2 V c 2 V a ν 0 2 = 1 2 9 ρ 0 2 a 2 V c 4 ,
where ρ 0 is the residual resistivity corresponding to the zero-temperature damping factor ν 0 = ν 0 .
The limit of large velocities, ζ 1 is more laborious. A reasonable representation of the triple integral in (9) can be worked out using an approximate expression for I m w 1 I m w 2 , based on (17):
I m w 1 I m w 2 = t b t s g n t s g n ( b t ) 4 1 + t 2 1 + ( t b ) 2 y 2 + t 2 ( 1 + y 2 ) y 2 + ( t b ) 2 ( 1 + y 2 ) 1 / 2
where b = ζ y c o s ϕ . The product I m w 1 I m w 2 , as a function of t in the range 0 t b ,   reaches its maximum close to the point t = b / 2 , with zeroing at the end points t = 0 ,   t = b of the integration domain of the inner integral in (9). At the same time, the dependence on t in D 2 is much weaker. By virtue of this, we insert t = b / 2 into the denominator of (21) and into D 2 (in the latter case, we also put c o s ϕ 1 ) . Expression (21) then takes the form
I m w 1 I m w 2 t b t 4 1 + b 2 / 4 y 2 + b 2 ( 1 + y 2 / 4 )   .
With these transformations, it follows (see Appendix A)
F x V = K ζ 2 0 d y y 4 D 2 0 π / 2 d ϕ c o s ϕ ψ y , ϕ 0 ζ y c o s ϕ d t t ζ y c o s ϕ t ,
where D 2 and ψ y , ϕ   are given by (A2) and (A3). The integrals over t and ϕ are calculated explicitly, and finally we get (see (A4) and (A6))
F x V = ν 0 2 3 π 2 ω p c 2 0 d y y 5 exp 2 λ y y + 1 + y 2 4 1 y 2 1 + y 2 2 y 2 y 2 ζ 2 + 4 + 2 ( 1 + y 2 ) ( 1 + y 2 ) ζ 2 + 4
As follows from (24), in this approximation, the power of the friction force does not depend on the velocity at ζ 1 . However, for ζ 1 , this formula also agrees rather well with numerical calculations and approximation (20) (see Sec. 3.2).

2.4. Low Temperatures, Linear in Velocity Approximation

In the quasiequilibrium thermal regime, T 1 = T 1 = T , for two identical metal plates in the linear in velocity approximation, Eqs. (5) and (9) can be recast into the form [19,20]
F x V = V 2 8 π 2 ω p c 4 α 1 Y 1 ( λ , α )
Y 1 ( λ , α ) = α 2 0 d t s i n h 2 ( α t / 2 ) 0 d y y 5 I m w 1 2 D 2 .
In this limit, the friction parameter η = F x / V does not depend on V . It is the dependence F x α 1 in (25) that leads to a large enhancement of friction at low temperatures, when α = ν T / T 0 ,   because the function Y 1 λ , α weakly depends on α . The main contribution to Y 1 λ , α in this case make the values t < 1 , y ~ 1 / 2 λ ~ 1 , and we can again use (17) for I m w 1 . At the same time, α 2 s i n h 2 ( α t / 2 ) 4 / t 2 (this is a good approximation at α < 0.3 )   a n d   D 2 16 y 4 exp 2 λ y . Making use of these simplifications in (26), we arrive at (see Appendix B)
Y 1 λ , α ) χ λ = π 32 π 4 λ H 1 2 λ N 1 ( 2 λ ) 1 4 λ 2 ,
where H 1 ( x ) and N 1 x are the Struve and Neumann functions [30]. Using their series representations yields
χ λ = π 64 1 λ 1 2 λ 2 + 1 4 λ 3 + ,     λ 1 π 32 1 4 + 2 λ 3 2 λ l n λ + 0.577 ,     λ 1
An even simpler and physically clearer low-temperature representation of (25) is obtained by using the relation ν T = ω p 2 ρ ( T ) / 4 π between the damping factor and resistivity, yielding
F x V = 1 2 π V c 2 ω p c 2 T ρ T χ λ .    
Combining the relation α 1 , which implies ν T T , and ζ 1 , which implies the limit of low-velocities V / c ν ( T ) / ω p ,   we conclude that formula (29) holds at
ω p V / c ν T T / .
As a result, the conditions of low-temperature increase in friction and the applicability of the low-speed approximation are met at   V / c T / ω p . For gold, at T = 1   K , this implies V / c 1.5 10 5 .
According to [19,20], dependence (29) is associated with a growing penetration depth of S-polarized electromagnetic modes and an increase in their density at low temperatures. A significant low-temperature increase in the friction parameter was also noted in the case of movement of a metal particle above the metal surface [21].

2.5. Low Temperatures, Large-Velocity Limit

The limit ζ 1   at finite but low temperatures ( α 1 ) can be analyzed similarly to the case of zero temperatures using the properties of function (21). When substituting (21) into (9) with allowance for (13), the first exponential term in (13) makes the dominant contribution at t ~ 1 b = ζ y c o s ϕ . Because of this, we can take advantage of the substitution t b b in the denominator of (21). For the second term in (13), we introduce a new variable t ' = t b , and make the substitution t ' + b b in the denominator of (21), while the integral (9) is then determined by the large exponential factor   exp α t ' 1 1 at t ' ~ 1 b . Then, taking into account these transformations in (9), and summing both contributions, the triple integral in (9) finally takes the form (see Appendix C)
I ζ 2 2 0 d y y 4 D 2 0 π 2 d ϕ ψ 1 ( y , ϕ ) 0 d t t e α t 1 ψ 2 ( y , ϕ ) ,
where
D 2 y + 1 + y 2 4 exp 2 λ y ,
ψ 1 ( y , ϕ ) = c o s 2 ϕ 1 + ζ 2 y 2 c o s 2 ϕ 1 / 2 1 + ζ 2 ( 1 + y 2 ) c o s 2 ϕ 1 / 2
and
ψ 2 ( y , t ) = 1 1 + t 2 y 2 + t 2 ( 1 + y 2 1 / 2
To proceed further, we replace the function t / e α t 1 by 1 / α in the inner integral (31), which is again a good approximation for α < 0.3 . The remaining integral yields
0 d t t e α t 1 ψ 2 y , t 1 α K q 1 + y 2 ,   q = 1 + y 2 1 / 2 ,
where K q is the complete elliptic integral [24]. Taking this into account, the ϕ -integral in (31) can be evaluated as the arithmetic mean between the integrals calculated with the limit functions on the left and right sides of the inequality (see Appendix C)
c o s 2 ϕ 1 + ζ 2 1 + y 2 c o s 2 ϕ 1 < ψ 1 y , ϕ < c o s 2 ϕ 1 + ζ 2 y 2 c o s 2 ϕ 1 .
Substituting (C9) into (31) and (9) finally yields
F x V = T 8 π 2 V ω p c 3 Y 2 ( λ , ζ )
where Y 2 ( λ , ζ ) is given by
Y 2 ( λ , ζ ) = 0 d y y 4 e 2 λ y y + y 2 + 1 4 1 + y 2 1 / 2 K 1 1 + y 2 1 + ζ 2 y 2 1 y 2 1 + ζ 2 y 2 + 1 + ζ 2 1 + y 2 1 1 + y 2 1 + ζ 2 1 + y 2

2.6. Kinetics of Heating of Plates

The heat transfer of plates is described by the equations
P 1 T 1 , T 2 t = h 1 ρ 1 с 1 T 1 T 1 ,     P 2 T 1 , T 2 t = h 2 ρ 2 с 2 T 2 T 2 ,
with с i T i   being the specific heat capacities, h i and ρ i   are the thicknesses and densities of materials, P 1 T 1 , T 2 and P 2 T 1 , T 2   are defined by Eqs. (2) and (3), and the temperature gains T i correspond to the interval of time t . The dependences T 2 ( T 1 ) and T 1 T 2 can be determined from the equation
d T 2 d T 1 = P 1 ( T 1 , T 2 ) c 1 ( T 1 ) h 1 ρ 1 P 2 ( T 1 , T 2 ) c 2 ( T 2 ) h 2 ρ 2   .
For identical plates, in (39), one can use the replacements P 2 ( T 1 , T 2 ) P 1 ( T 2 , T 1 ) , P 1 ( T 1 , T 2 ) P 2 ( T 2 , T 1 ) . Further on, we will consider only this case.
When writing Eqs. (38), (39), it is also assumed that the heat exchange due to radiative heat transfer occurs much slower than under thermal diffusion, and the plates acquire equal temperature at all points because of high thermal conductivity. Really, using the thermal diffusion equation along the normal to the plates, T / t = a 2 2 T / z 2 , the characteristic time of the heat diffusion necessary to reach thermal quasiequilibrium, is τ = h 2 / a 2 (where a 2 = κ / c ρ , and κ is the thermal conductivity). Then it follows τ = h 2 c ρ / κ and in the case of gold at T = 10   K and h 1,2 = h = 500   µ m   c = 2.2 J/(kg·K), κ = 3200 W/(m·K), ρ = 19.8 · 10 3 kg/m3 [31]) we obtain τ 3   μ s . In turn, the kinetics of heating induced by friction takes dozens of seconds or minutes (see Sec. 3.3), depending on the velocity and other parameters. Assuming that P i T , T = 0.5 η ( T , V ) V 2 , from Eq. (38) we obtain
t = 2 h ρ V 2 T 0 T c ( T ) η ( T , V ) d T ,
where t is the heating time from the initial temperature T 0 to the final temperature T . In the simplest case η = c o n s t and с T = a 1 T + a 2 T 3   (this is a typical low-temperature dependence for metals) it follows from Eq. (40) that
T t = β + β 2 + T 0 4 + 2 β T 0 2 + 2 η V 2 t / h ρ a 2 1 / 2 ,
where β = a 1 / a 2 . At T 1 T 2 and relatively low velocities of plate 2, as follows from numerical calculations (see Sec. 3.1), the heating/cooling rates of metal plates differ only in sign, i.e. P 1 T 1 , T 2 = P 2 T 1 , T 2 . This is the normal mode of heat transfer, when a hotter body cools down, and a colder one heats up. Then the left sides of equations (38) can be equated, and the corresponding quasistationary temperature of the plates is given by
T = β + β 2 + β T 1 2 + T 2 2 + T 1 4 + T 2 4 1 / 2 ,
where T 1 and T 2 are their initial temperatures. After establishing quasithermal equilibrium, the temperature of the plates will increase according to Eqs. (40), (41).

3. Numerical Results

For an ideal metal without impurities and defects, within the Bloch–Grüneisen (BG) model, the damping frequency ν T in (6) is defined by the formula [28]
ν T = 0.0212 Θ / T 5 0 Θ / T d x x 5 s i n h 2 ( x / 2 )   e V .
The numerical calculations were carried out using (43) and the MBG approximation shown in Figure 2 (Bloch–Grüneisen scaled). The used plasma frequency of gold is ω p = 9.03   eV. All calculations were performed with a gap width a = 10 nm (Figure 1) unless another value is not indicated. Note that at separations a > 10 nm, barely any processes of extreme heat transfer and friction due to tunneling of electrons and phonons [32,33] and other unwanted processes do not occur [34,35,36].

3.1. Quantum Friction

Figure 3 shows the velocity-dependent quantum friction force between the plates of gold, calculated using formulas (20) (green line), (9) (red line), and (24) (blue line).
The curves on panels (a) and (b) were calculated at residual resistances of 2.13 10 13 Ω·m and 2.3 10 10 Ω·m, which correspond to BG model (43) at   T = 5   K and MBG model at T = 0   K. Note that in the latter case, the residual resistance coincides with that defined by formula (43) at T = 20.9 K.

3.2. Temperature-Dependent Friction at Thermal Quasiequlibrium

Figure 4 shows the plots of the friction parameters η = F x / V depending on the temperature T of gold plates, corresponding to the BG and MBG models. The curves with symbols were calculated using Eq. (9) for V = 1 m/s. Solid curves were plotted using approximation (25) along with (26) (green lines) or with (28) at λ 1   (blue lines). On panel (a), both the solid lines merge. The presence of maxima and their positions on the curves agree with (29) and (30). These results show that the linear in velocity approximation is valid only to the right of the maxima of the dependences η ( T ) .
Figure 5 demonstrates the velocity dependences of η in the BG model (a) and MBG model (b)). Red, blue and green lines correspond to quasiequilibrium temperatures of 5, 10, and 77 K. The different order of lines 1–3 in panels (a) and (b) is explained by the high residual resistance of gold in the MBG model: the condition ν T < T , which is necessary for the law-temperature increase in friction, is violated at T = 5 and 10 K.
Table 1 shows the calculated friction parameters η of gold plates at V = 1 m/s, depending on the temperature T and separation distance a. As in Figure 4, one can note the effect of increasing friction (up to a maximum) with decreasing temperature at T < θ D , which is more expressed in the BG model. The height of this maximum depends on the velocity-to-resistivity ratio. When the temperature becomes sufficiently low, the condition (30) is violated and the coefficient of friction decreases.
The dependence of η   on the separation distance a in all the cases is close to inverse proportionality ( η a 1 ). This is clearly seen from the data of the table and agrees with our previous results [19,20,27].

3.3. Friction and Heating under Different Conditions

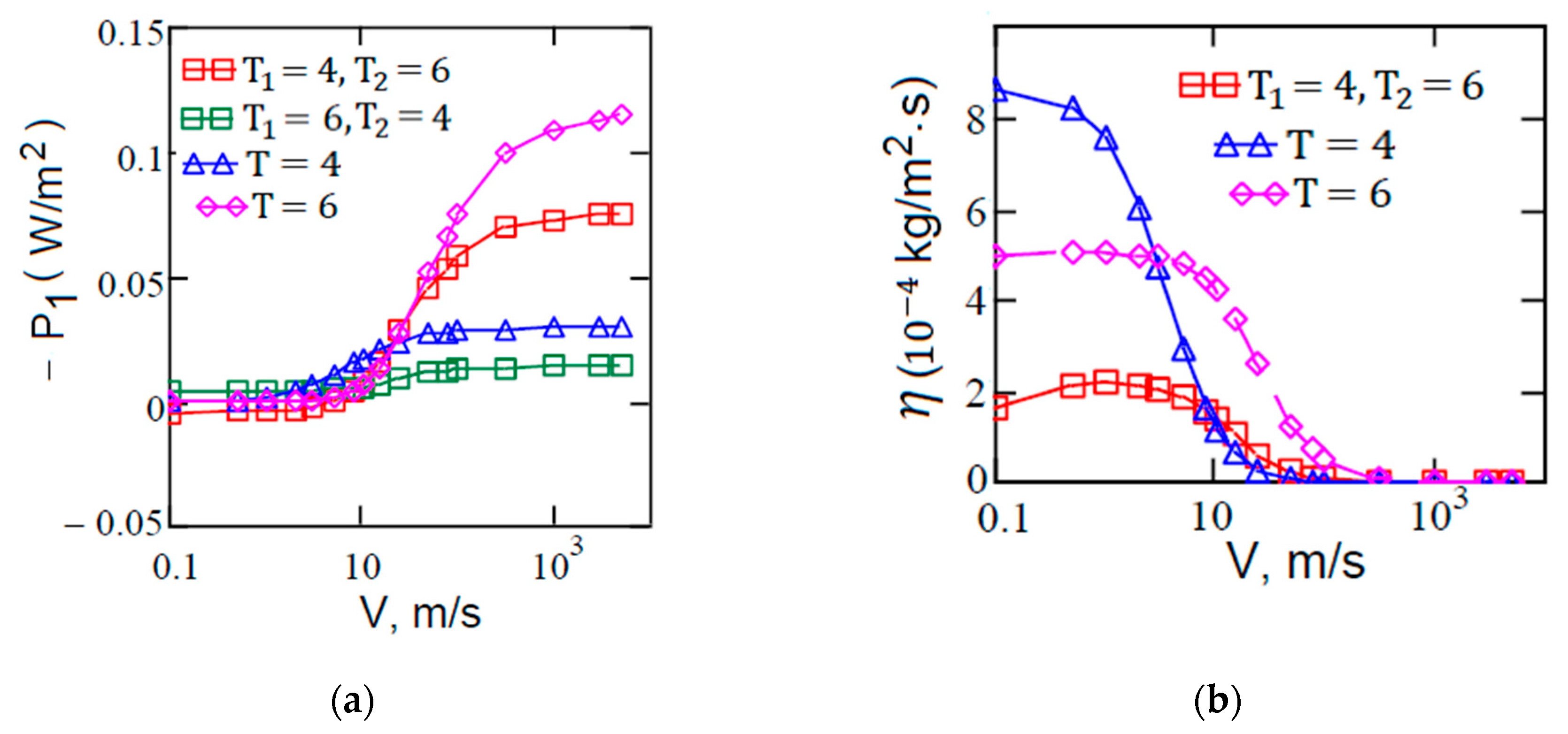
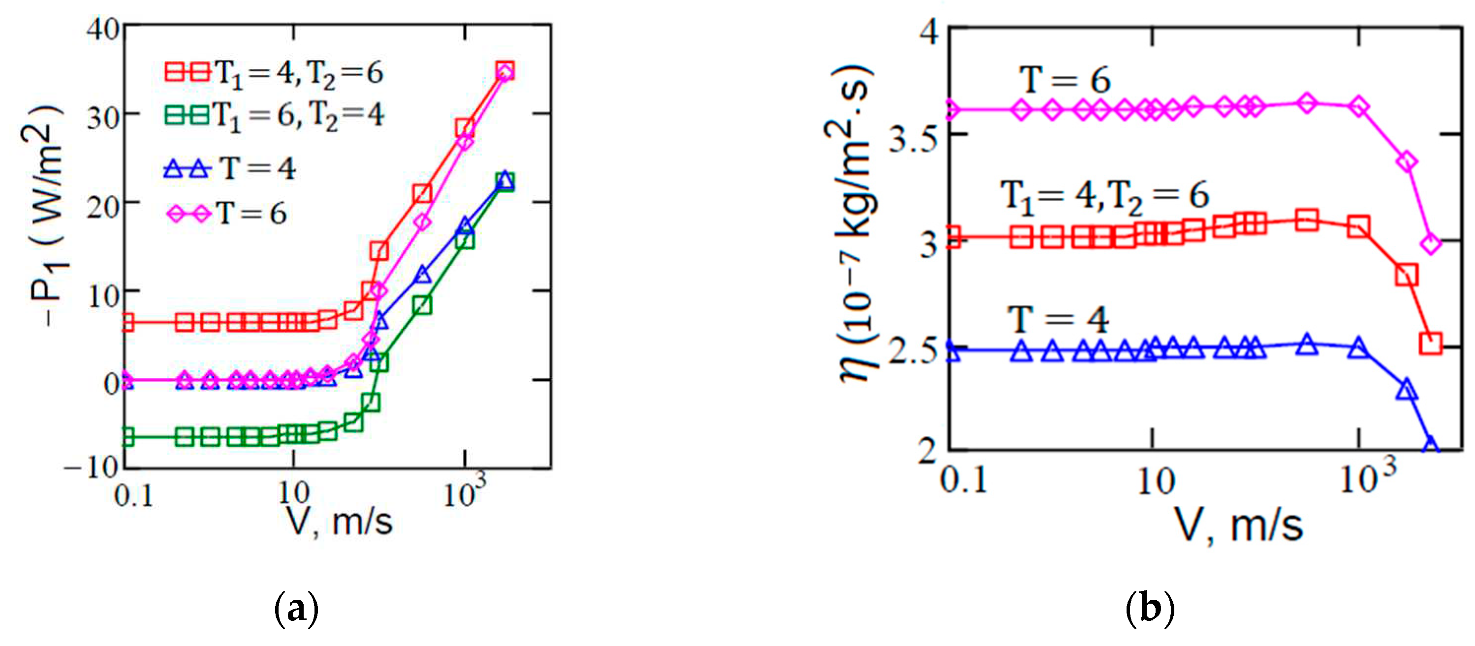
Figure 6 and Figure 7 show the calculated heating rates of plate 1 (panels (a)) and friction parameters (panels (b)) depending on the velocity   V of plate 2 for various thermal configurations.
One can see that at at V < 10 m/s (Figure 6, panel (a)) and V < 10 3 m/s (Figure 7, panel (a)), the heating rates of plates 1, 2 are equal in absolute value, differing in the sign. According to their temperatures, T 1 = 4 K and T 2 = 6 K, plate 1 heats up and plate 2 cools down, realizing the “normal” heat exchange regime. At the same time, the friction parameters weakly depend on the temperature (panels (b)). When the speed of plate 2 becomes higher, both plates heat up faster. Then we can see the effect of “anomalous” heating of plate 2 for some time, when it continues to heat up despite the higher temperature. This is similar to the case of heating a hotter metal particle moving above a cold surface [21]. However, due to different magnitudes of the heating rate (cf. the upper and lower lines with □ on panels (a)), the temperature of plate 1 “catches up” the temperature of plate 2, and further on, both plates heat up with the same rate.
Drop in friction parameters for high velocities of plate 2 (panels (b) in Figures 6,7) is explained by the change in sign of the Doppler-shifted frequency ω = ω k x V = ω k V c o s ϕ in Eq. (5). This occurs at V > ν T a , because the characteristic absorption frequency is ω ~ ν T and the characteristic wave-vector is k ~ 1 / a . The positions of the "kinks" on the curves η ( V ) in Figures 6, 7 correlate with resistivity, since ν T ~ ρ ( T ) . Indeed, it follows from Figure 2 that ρ M B G / ρ B G = 10 2 ÷ 10 3 at T = 4 ÷ 6   K . At the same time, the ratio η M B G / η B G in this case is in the inverse proportion to resistivities (see (29) and Table 1).
In general, as follows from the calculations for all considered temperatures and velocities (Figure 5, Figure 6 and Figure 7, Table 1), the maximum friction parameter in the BG and MBG models (at a = 10   nm) is 10 6 10 3 kg/(m2· s).
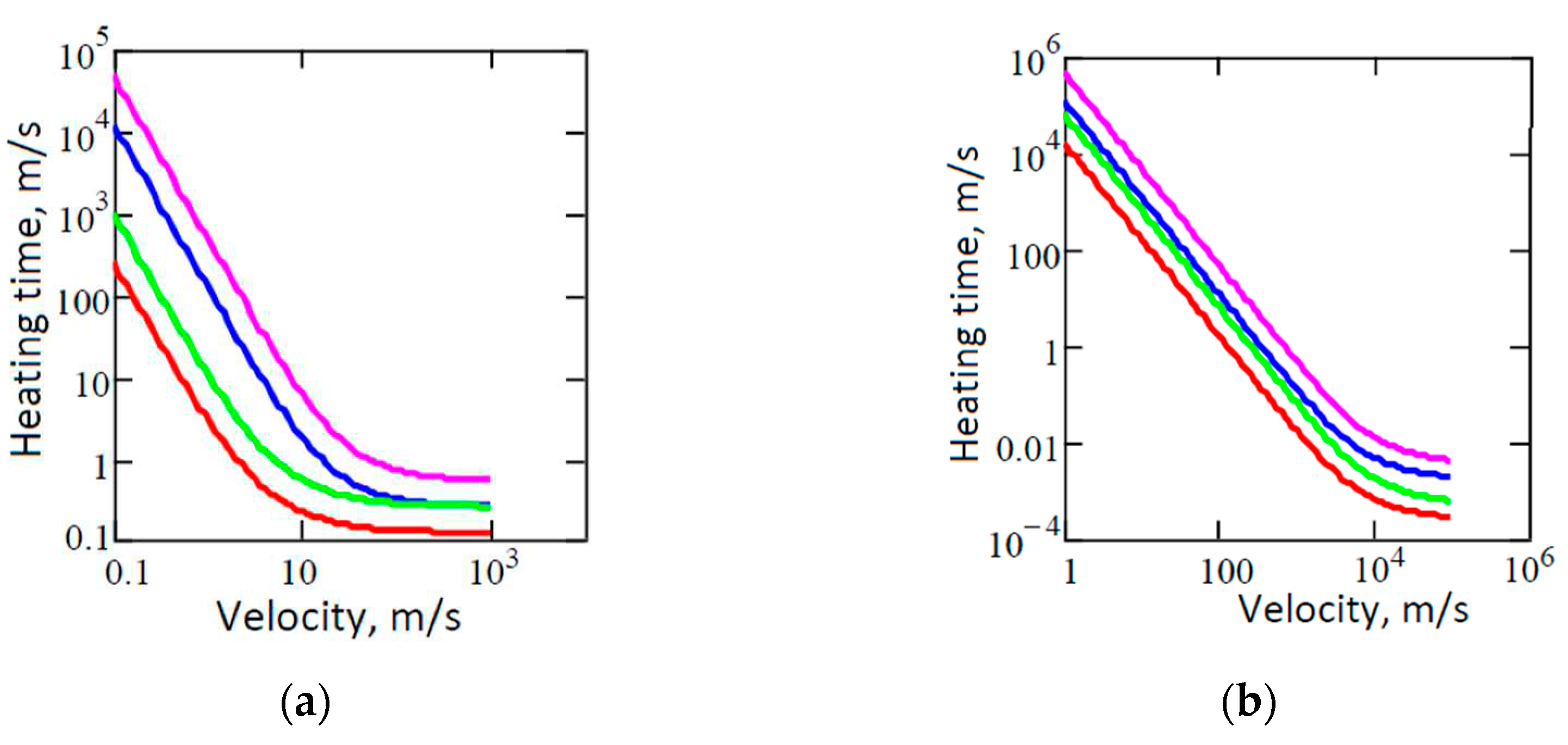
Figure 8 shows the heating time of plates vs. velocity of plate 2, calculated by numerical integration of (39) from 4 to 5 K and from 4 to 8 K. In these calculations, the fitting parameters a 1 = 0.0035   J / ( k g K 2 ) , a 2 = 0.0023   J / ( k g K 4 ) of the dependence с T = a 1 T + a 2 T 3 were determined using the data [31] for gold at T < 20   K .
As follows from Figure 8, quite comfortable (from the experimental point of view) values of the plate heating times (1–100 s) can be obtained in the velocity range 1 10 3 m/s. On the contrary, heating by 1 K at T 0 = 300 K, a = 10 nm, and V = 10 3 m/s will take about 2 h. Thus, low-temperature thermal measurements have great advantages over measurements under normal conditions due to a significant reduction in measurement time, elimination of noise and other undesirable effects.

4. Experimental Proposal

Initiated by the advantage of the experimental design [15,16,17] to measure the quantum friction force, in [37], I suggest to use another experimental layout shown schematically in Figure 9. Unlike paper [17], in which the setup includes a disc of 10 cm in diameter rotating with an angular frequency of up to 7 · 10 3 rps, it is proposed to use two identical discs placed in one thermostat, one of which rotates at a controlled speed. In the peripheral region, the discs have an annular metal coating with an effective area π D w . The non-inertiality of the reference system of disk 2 does not appear in this case, since the rotation frequency is small compared to the characteristic frequencies of the fluctuation electromagnetic field. Accordingly, the original expressions (2), (3) for heating rates remain valid.
A possible measurement scenario in this case is the quasiequilibrium thermal mode, when the temperatures of plates increase from the initial temperature T 0 at the same rate.

5. Concluding Remarks

The Casimir-Lifshitz friction force mediated by fluctuating electromagnetic field between metal plates moving with constant velocity relative to each other, causes their heating. In the state out of thermal equilibrium, “anomalous” heating of the moving plate can be observed, when it is heated for some time despite the higher temperature. However, the system rapidly reaches a state of thermal quasiequilibrium. At low temperatures T   θ D , the Casimir-Lifshitz friction and heating of metal plates increase significantly (see (29), (30)), while the heat capacity decreases. In combination with a fairly high speed of movement, this provides a fairly short heating time, convenient for experiments (see (40)).

Funding

This research received no external funding.

Data Availability Statement

Not applicable

Acknowledgments

I am grateful to Carsten Henkel for fruitful remarks at the preliminary stage of the work and for providing data on the low-temperature resistivity of gold.

Conflicts of Interest

The author declares no conflict of interest.

Appendix A. Evaluation of the Integral (24)

Substituting t = b / 2 = ζ y c o s ϕ / 2 into (22), we take into account that, typically, ζ y c o s ϕ / 2 1   (since ζ 1 , y ~ 1 / 2 λ ~ 1 ) and w 1,2 y 2 + 1 . Then D 2 takes the form
D 2 y + y 2 + 1 4 e x p 2 λ y .
With these simplifications, formula (18) reads
F x V = K ζ 2 0 d y y 2 y + y 2 + 1 4 e 2 λ y 0 π / 2 d ϕ c o s ϕ ψ y , ϕ 0 ζ y c o s ϕ d t t ζ y c o s ϕ t ,
ψ y , ϕ = 1 + ζ 2 y 2 c o s 2 ϕ / 4 1 + ζ 2 ( 1 + y 2 ) c o s 2 ϕ / 4
The t integral in (A2) is simply ζ 3 y 3 c o s 3 ϕ / 6 , while the integral over ϕ is
I ϕ = ζ 3 y 3 6 0 π / 2 d ϕ c o s 4 ϕ ψ y , ϕ = 8 y 3 3 ζ 0 π / 2 d ϕ c o s 4 ϕ u 2 + y 2 c o s 2 ϕ u 2 + ( 1 + y 2 ) c o s 2 ϕ   ,
where u = 2 / ζ . The integral in (A4) is calculated explicitly using the table integral [30]
0 π / 2 d ϕ a 2 + b 2 c o s 2 ϕ = π 2 1 a a 2 + b 2   .
Using (A5) yields
I ϕ = 4 π y 3 3 ζ 1 y 2 ( 1 + y 2 ) 2 y 2 y 2 ζ 2 + 4 + 2 ( 1 + y 2 ) ( 1 + y 2 ) ζ 2 + 4   .
Substituting (A6) into (A2), yields (24).

Appendix B. Evaluation of the Integral (26)

In the case α 1 , the main contribution to (26) make the values t < 1 , y ~ 1 / 2 λ ~ 1 . Then from (14) it follows w 1,2 = y 2 + t / t + i 1 / 2 y . Using this, we find
D 2 16 y 4 e x p 2 λ y
At the same time, from (21),
I m w 1,2 2 = t 2 4 1 + t 2 y 2 + t 2 1 + y 2   .
Substituting (B1) and (B2) into (26) yields
Y λ , α = α 2 64 0 d y y e 2 λ y 0 d t t 2 s i n h ( α t / 2 ) 2 1 ( 1 + t 2 ) y 2 + t 2 ( 1 + y 2 )
Using the approximation t 2 s i n h ( α t / 2 ) 2 4 / α 2 and the table integral [30]
0 d x 1 a 2 + x 2 1 b 2 + x 2 = π 2 a b ( a + b )   ,
we get
Y 1 λ , α χ λ = π 32 0 d y e 2 λ y y + 1 + y 2 = π 32 π 4 λ H 1 2 λ N 1 2 λ 1 4 λ 2 ,
where H 1 x   and N 1 x are the Struve and Neumann functions [30].

Appendix C. Evaluation of the Integral (31)

We rewrite Eq. (13) in the form
Z t , y , ϕ = 2 exp α t 1 2 exp α t 1     ,   t = t ζ y c o s ϕ   .
The integral in (9) includes two exponential factors, defined by (C1). By changing the order of integration in the first term we get
I = 2 ζ 0 d y y 4 0 π d ϕ c o s ϕ 0 d t I m w 1 I m w 2 D 2 1 exp α t 1
Similar to Appendix B, we can again take advantage of the behavior of the t - integral in (C2) for α 1 , and ζ 1 , substituting 1 exp α t 1 1 / α t   and using (A1) for D 2 . For I m w 1 I m w 2 , we use (21) with the replacement t b ζ y c o s ϕ . Then (21) takes the form
I m w 1 I m w 2 = t ζ c o s ϕ s i g n ( t ζ y c o s ϕ ) 4 1 + ζ 2 y 2 c o s 2 ϕ 1 + ζ 2 1 + y 2 c o s 2 ϕ 1 + t 2 y 2 + t 2 1 + y 2 1 / 2   .
Inserting (C3) into (C2) yields
I = ζ 2 α 0 d y y 4 e 2 λ y y + y 2 + 1 4 1 + y 2 1 / 2 0 π / 2 d ϕ ψ 1 ( y , ϕ ) 0 d t ψ 2 t , y ,
where
ψ 1 ϕ , y = c o s 2 ϕ 1 + ζ 2 y 2 c o s 2 ϕ 1 + ζ 2 1 + y 2 c o s 2 ϕ 1 / 2 ,
ψ 2 t , y = 1 1 + t 2 y 2 1 + y 2 + t 2 1 / 2   .
Substituting (C5) and (C6) into (C4) and taking into account (B4), the inner integrals are calculated yielding (see (35) and three lines upper)
I ϕ ( y ) = 0 d ϕ c o s 2 ϕ ψ 1 ϕ , y π 2 ζ 2 1 + ζ 2 y 2 1 y 2 1 + ζ 2 y 2 + 1 + ζ 2 1 + y 2 1 1 + y 2 1 + ζ 2 1 + y 2   ,
I t ( y ) = 0 d t ψ 2 t , y = 1 1 + y 2 K 1 1 + y 2   ,
where K x is the elliptic integral. Finally, substituting (C7) and ((C8) into (C4) yields
I = π 4 α 0 d y y 4 e 2 λ y y + y 2 + 1 4 1 + y 2 1 / 2 K 1 1 + y 2 1 + ζ 2 y 2 1 y 2 1 + ζ 2 y 2 + 1 + ζ 2 1 + y 2 1 1 + y 2 1 + ζ 2 1 + y 2 .
The second integral in (9) including t in (C1) is evaluated with the same result (but ultimately having the opposite sign), by introducing a new variable t ' = t b , and using the substitution t ' + b ζ y c o s ϕ in (21).

References

  1. Casimir, H.B.G. On the attraction between two perfectly conducting plates. Proc. Kon. Ned. Akad. Wet. B 1948, 51, 793–795. [Google Scholar]
  2. Lifshitz, E.M. The theory of molecular attractive forces between solids. Sov. Phys. JETP 1956, 2, 73–83. [Google Scholar]
  3. Yablonovitch, E. Accelerating reference frame for electromagnetic waves in a rapidly growing plasma: Unruh-Davies-Fulling-DeWitt radiation and the nonadiabatic Casimir effect. Phys. Rev. Lett. 1956, 62, 1742–1746. [Google Scholar] [CrossRef] [PubMed]
  4. Dodonov, V.V.; Klimov, A.B.; Man’ko, V.I. Nonstationary Casimir effect and oscillator energy level shift. Phys. Rev. Lett. A 1989, 142, 511–513. [Google Scholar] [CrossRef]
  5. Schwinger, J. Casimir energy for dielectrics. Proc. Nat. Acad. Sci. USA 1989, 89, 4091–4093. [Google Scholar] [CrossRef] [PubMed]
  6. Dodonov, V. Fifty years of the dynamic Casimir effect. Physics 2020, 2, 67–104. [Google Scholar] [CrossRef]
  7. Mostepanenko, V.M. Casimir puzzle and Casimir conundrum: discovery and search for resolution. Universe 2021, 7, 704084. [Google Scholar] [CrossRef]
  8. Reiche, D.; Intravaia, F.; Busch, K. Wading through the void: exploring quantum friction and vacuum fluctuations. APL Photonics 2022, 7, 030902. [Google Scholar] [CrossRef]
  9. Volokitin, A.I.; Persson, B.N.J. Near-field radiation heat transfer and noncontact friction. Rev. Mod. Phys. 2007, 79, 1291–83. [Google Scholar] [CrossRef]
  10. Milton, K.A.; Høye, J.S.; Brevik, I. The reality of Casimir friction. Symmetry 2016, 8, 29–83. [Google Scholar] [CrossRef]
  11. Pendry, J.B. Shearing the vacuum –quantum friction. J. Phys. C.: Condens. Matter 1997, 9, 10301–10320. [Google Scholar] [CrossRef]
  12. Stipe, B.C.; Stowe, T.D.; Kenny, T.W.; Rugar, D. Noncontact friction and force fluctuations between closely spaced bodies. Phys. Rev. Lett. 2001, 87, 096801. [Google Scholar] [CrossRef] [PubMed]
  13. Volokitin, A.I. Casimir friction force between a SiO2 probe and a graphene-coated SiO2 substrate. JETP Lett. 2016, 104, 534–539. [Google Scholar] [CrossRef]
  14. Volokitin, A.I. Effect of an electric field in the heat transfer between metals in the extreme near field. JETP Lett. 2019, 110, 749–754. [Google Scholar] [CrossRef]
  15. Viotti, L.; Farias, M.B.; Villar, P.I.; Lombardo, F.C. Thermal corrections to quantum friction and decoherence: A closed time-path approach to atom-surface interaction. Phys. Rev. D, 2019, 99, 105005. [Google Scholar] [CrossRef]
  16. Farias, M.B.; Lombardo, F.C.; Soba, A.A.; Villar, P.I.; Decca, R.S. Towards detecting traces of non-contact quantum friction in the corrections of the accumulated geometric phase. npj Quantum Inf. 2020, 6, 25. [Google Scholar] [CrossRef]
  17. Lombardo, F.C.; Decca, R.S.; Viotti, L.; Villar, P.I. Detectable signature of quantum friction on a sliding particle in vacuum. Adv. Quant. Tech. 2021, 4, 2000155. [Google Scholar] [CrossRef]
  18. Gurudev Dutt, M.V.; Childress, L.; Jiang, L.; Togan, E.; Maze, J.; Jelezko, F.; Zibrov, A.S.; Hemmer, P.R.; Lukin, D. Quantum register based on individual electronic and nuclear spin qubits in diamond. Science (Washington, DC, U.S.), 2007, 316, 1312. [Google Scholar] [CrossRef]
  19. Dedkov, G.V. Low-temperature increase in the van der Waals friction force with the relative motion of metal plates. JETP Lett. 2021, 114, 779–784. [Google Scholar] [CrossRef]
  20. Dedkov, G.V. Puzzling low-temperature behavior of the van der Waals friction force between metallic plates in relative motion. Universe 2021, 7, 427. [Google Scholar] [CrossRef]
  21. Dedkov, G.V. Nonequilibrium Casimir-Lifshitz friction force and anomalous radiation heating of a small particle. Appl. Phys. Lett. 2022, 121, 231603. [Google Scholar] [CrossRef]
  22. Guo, X.; Milton, K.A.; Kennedy, G.; McNulty, W.P.; Pourtolami, N.; Li, Y. Energetics of quantum friction: Field fluctuations [arXiv:2108.01539], Phys. Rev. D 2021, arXiv:2108.01539], Phys. Rev. D 2021, 104, 116006104, 116006. [Google Scholar]
  23. Guo, X.; Milton, K.A.; Kennedy; G. , McNulty, W.P.; Pourtolami, N.; Li, Y. Energetics of quantum friction. II: Dipole fluctuations and field fluctuations. [arXiv:2204.10886]. Phys. Rev. D 2022, arXiv:2204.10886]. Phys. Rev. D 2022, 106, 016008106, 016008. [Google Scholar] [CrossRef]
  24. Milton, K.A.; Guo, X.; Kennedy, G.; Pourtolami, N.; DelCol., D.M. Vacuum torque, propulsive forces, and anomalous tangential forces: Effects of nonreciprocal media out of thermal equilibrium. [arXiv:2306.02197]. [CrossRef]
  25. Reiche, D.; Intravaia, F.; Hsiang, J.-T.; Busch, K.; Hu, B.-L. Nonequilibrium thermodynamics of quantum friction. Phys. Rev. 2020, 102, 050203. [Google Scholar] [CrossRef]
  26. Polevoi, V.G. Tangential molecular forces between moving bodies by a fluctuating electromagnetic field. Sov. Phys. JETP 1990, 71, 1119–1124. [Google Scholar]
  27. Dedkov, G.V.; Kyasov, A.A. Friction and radiative heat exchange in a system of two parallel plate moving sideways: Levin-Polevoy-Rytov theory revisited. Chin. Phys. 2018, 56, 3002. [Google Scholar] [CrossRef]
  28. Handbook of Physics, 1967, 2nd ed. E.U. Condon and H. Odishaw (New York: McGraw-Hill) equation (6.12).
  29. Baptiste, J. in: The Physics Factbook, Ed. by Elert, G. (2004). https://hypertextbook.com/facts/2004/JennelleBaptiste.shtml.
  30. Gradshteyn, I. S. and Ryzhik, I.M., Table of Integrals, Series and Products, 8th ed. (Academic Press, Waltham, MA, 2014).
  31. Handbook of Physical Quantities, Ed. By Grigoriev, I.S.; Meilikhov, E.Z. (Energoatomizdat, Moscow, 1991; CRC Boca Raton, NY, 1996).
  32. Biehs, S.-A.; Kittel, A.; Ben-Abdallah, P. Z. Naturforsch. 2020, 75,802.
  33. Viloria, M.G.; Guo, Y.; Merabia, S.; Ben-Abdallah, P.; Messina, R. Role of Nottingham effect in the heat transfer in extreme near field regime. Phys. Rev. 2023, 107, 125414. [Google Scholar] [CrossRef]
  34. Pendry, J.B. , Sasihithlu K.; Kraster R.V. Phonon-assisted heat transfer between vacuum-separated surfaces. Phys. Rev. B 2016, 94, 075414. [Google Scholar] [CrossRef]
  35. Sasihithlu, K.; Pendry, J.B. Van der Waals force assisted heat transfer. Z. Naturforsch. 2017, 72, 181. [Google Scholar] [CrossRef]
  36. Kuehn, S.; Loring, R.F.; Marohn, J.A. Dielectric fluctuations and the origins of noncontact friction. Phys. Rev. 2006, 96, 156103. [Google Scholar] [CrossRef]
  37. Dedkov, G.V. Casimir-Lifshitz friction force and kinetics of radiative heat transfer between metal plates in relative motion. JETP Lett. 2023, 117, 952 [It is worth noting that all numerical data in this paper must be reduced by π times]. [CrossRef]
Figure 1. Configuration of parallel plates in relative motion.
Figure 1. Configuration of parallel plates in relative motion.
Preprints 84832 g001
Figure 2. Resistivity of gold [26]. To obtain resistivity in the Gaussian units, one should use the relation Ω m = 1 / 9 10 9 s .
Figure 2. Resistivity of gold [26]. To obtain resistivity in the Gaussian units, one should use the relation Ω m = 1 / 9 10 9 s .
Preprints 84832 g002
Figure 3. Quantum friction force of the plates of gold as a function of the velocity of a moving plate 2. Panel (a): residual resistance of gold corresponds to BG model at T = 5   K . Panel (b): residual resistance corresponds to MBG model at T = 0   (Figure 2). Green, red and blue lines were calculated using Eqs. (20), (9) and (24), respectively.
Figure 3. Quantum friction force of the plates of gold as a function of the velocity of a moving plate 2. Panel (a): residual resistance of gold corresponds to BG model at T = 5   K . Panel (b): residual resistance corresponds to MBG model at T = 0   (Figure 2). Green, red and blue lines were calculated using Eqs. (20), (9) and (24), respectively.
Preprints 84832 g003
Figure 4. Friction parameter of gold plates as a function of their quasiequilibrium temperature: (a) model BG; (b) model MBG. The curves with symbols were calculated using Eq. (9) with V = 1 m/s. Solid lines correspond to (25) with (26) (green lines) and (25) with (28) (blue lines in both (a) and (b)). In panel (a), both solid lines (blue and green) merge.
Figure 4. Friction parameter of gold plates as a function of their quasiequilibrium temperature: (a) model BG; (b) model MBG. The curves with symbols were calculated using Eq. (9) with V = 1 m/s. Solid lines correspond to (25) with (26) (green lines) and (25) with (28) (blue lines in both (a) and (b)). In panel (a), both solid lines (blue and green) merge.
Preprints 84832 g004
Figure 5. Friction parameter of gold plates as a function of the velocity of plate 2 .   (a) model BG; (b) model MBG. Solid lines were calculated using Eq. (9), dashed lines – Eqs. (36), (37). Red, blue and green lines 1–3 correspond to quasistationary temperatures of 5, 10, and 77 K for both plates.
Figure 5. Friction parameter of gold plates as a function of the velocity of plate 2 .   (a) model BG; (b) model MBG. Solid lines were calculated using Eq. (9), dashed lines – Eqs. (36), (37). Red, blue and green lines 1–3 correspond to quasistationary temperatures of 5, 10, and 77 K for both plates.
Preprints 84832 g005
Figure 6. Heating rate of plate 1 (a) and friction parameter η = F x / V (b) in the BG model. Thermal configurations T 1 = 6   K ,   T 2 = 4   K and T 1 = 4   K ,   T 2 = 6   K have the same friction parameters, and the configurations T = 4 and 6   K correspond to the quasiequilibrium thermal mode. The data shown with symbols ∆ (panel (a)) and ◊ (panel (b)) were increased by 3 times (see also [37]).
Figure 6. Heating rate of plate 1 (a) and friction parameter η = F x / V (b) in the BG model. Thermal configurations T 1 = 6   K ,   T 2 = 4   K and T 1 = 4   K ,   T 2 = 6   K have the same friction parameters, and the configurations T = 4 and 6   K correspond to the quasiequilibrium thermal mode. The data shown with symbols ∆ (panel (a)) and ◊ (panel (b)) were increased by 3 times (see also [37]).
Preprints 84832 g006
Figure 7. Same as in Figure 6 in the MBG model. No additional numerical factors for the data were used.
Figure 7. Same as in Figure 6 in the MBG model. No additional numerical factors for the data were used.
Preprints 84832 g007
Figure 8. Heating time of gold plates as a function of the velocity of plate 2 at h = 500 μm according to BG (a) and MBG (b) models. Two upper lines correspond to heating from 4 to 8 K at a = 20 nm (crimpson) and a = 10 nm (blue), two lower lines correspond to heating from 4 to 5 K at a = 20 nm (green) and a = 10 nm (red).
Figure 8. Heating time of gold plates as a function of the velocity of plate 2 at h = 500 μm according to BG (a) and MBG (b) models. Two upper lines correspond to heating from 4 to 8 K at a = 20 nm (crimpson) and a = 10 nm (blue), two lower lines correspond to heating from 4 to 5 K at a = 20 nm (green) and a = 10 nm (red).
Preprints 84832 g008
Figure 9. A possible setup for measuring Casimir-Lifshitz friction force (side view). The thermal protection layer is shown in blue, the metal coating is shown in red. When the upper disk rotates, the circular sections of discs locating at a distance a move at a linear velocity of 0.5 Ω D   relative to each other. At rotation frequencies n = 1 ÷ 10 4 rps and disk diameter D = 0.1 m, the velocity range will be 0.3÷3000 m/s.
Figure 9. A possible setup for measuring Casimir-Lifshitz friction force (side view). The thermal protection layer is shown in blue, the metal coating is shown in red. When the upper disk rotates, the circular sections of discs locating at a distance a move at a linear velocity of 0.5 Ω D   relative to each other. At rotation frequencies n = 1 ÷ 10 4 rps and disk diameter D = 0.1 m, the velocity range will be 0.3÷3000 m/s.
Preprints 84832 g009
Table 1. Friction parameter η (kg·m2/s) of gold plates for V = 1 m/s at thermal quasiequilibrium, Eq. (9)
Table 1. Friction parameter η (kg·m2/s) of gold plates for V = 1 m/s at thermal quasiequilibrium, Eq. (9)
Temperature of plates, K a = 10 nm a = 20 nm Model BG a = 10 nm a = 20 nm Model MBG
1 4.81E-6  2.77E-6 5.60E-8  2.80E-8
2
3
5
10
15
20
50
100
200
300
2.63E-4  1.47E-4
1.10E-3  5.73E-4
3.44E-4  1.67E-4
2.15E-5  1.04E-5
4.30E-5  2.09E-6
1.52E-6  7.35E-7
2.04E-7  9.90E-8
1.30E-7  6.30E-8
1.14E-7  5.54E-8
1.11E-7  5.41E-8
1.22E-7  5.98E-8
1.87E-7  9.13E-8
3.08E-7  1.50E-7
5.63E-7  2.73E-7
7.77E-7  3.76E-7
7.19E-7  3.33E-7
2.56E-7  1.25E-7
1.77E-7  8.63E-8
1.42E-7  6.81E-8
1.39E-7  6.81E-8
Disclaimer/Publisher’s Note: The statements, opinions and data contained in all publications are solely those of the individual author(s) and contributor(s) and not of MDPI and/or the editor(s). MDPI and/or the editor(s) disclaim responsibility for any injury to people or property resulting from any ideas, methods, instructions or products referred to in the content.
Copyright: This open access article is published under a Creative Commons CC BY 4.0 license, which permit the free download, distribution, and reuse, provided that the author and preprint are cited in any reuse.
Prerpints.org logo

Preprints.org is a free preprint server supported by MDPI in Basel, Switzerland.

Subscribe

Disclaimer

Terms of Use

Privacy Policy

Privacy Settings

© 2026 MDPI (Basel, Switzerland) unless otherwise stated