Submitted:
07 September 2023
Posted:
11 September 2023
Read the latest preprint version here
Abstract
Keywords:
1. Introduction
2. Effective Field Theory
3. Applications of the Model
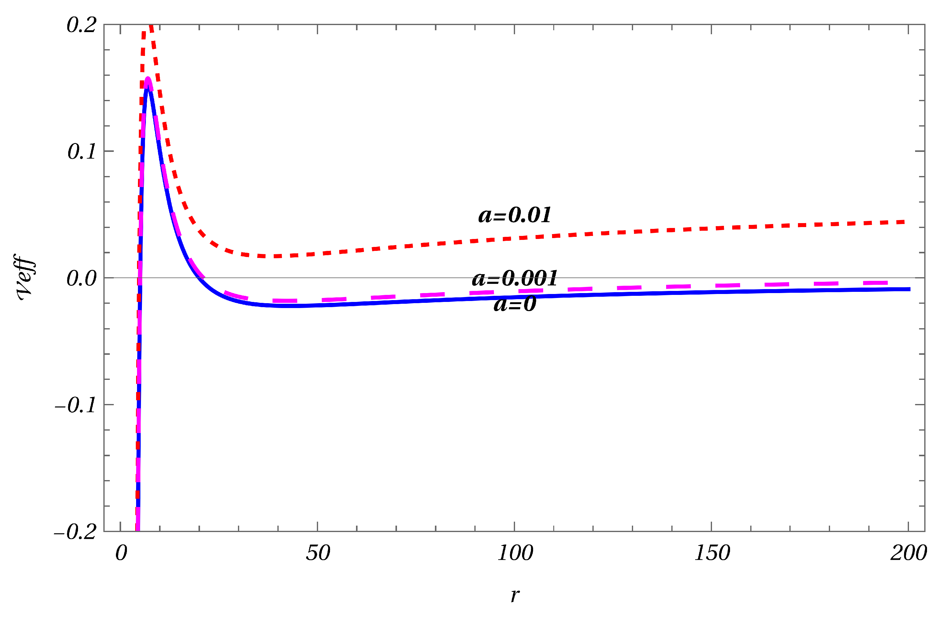
3.1. Geodesics of Test Particles

3.2. Galactic Rotation Curves
3.3. Gravitational Lensing and The Value of Constant a
4. Discussion
Data Availability Statement
Conflicts of Interest
References
- Carroll, S.M. The cosmological constant. Living reviews in relativity 2001, 4, 1–56. [Google Scholar] [CrossRef] [PubMed]
- Bertone, G.; Hooper, D. History of dark matter. Reviews of Modern Physics 2018, 90, 045002. [Google Scholar] [CrossRef]
- Shankaranarayanan, S.; Johnson, J.P. Modified theories of gravity: Why, how and what? General Relativity and Gravitation 2022, 54, 44. [Google Scholar] [CrossRef]
- Grumiller, D. Model for gravity at large distances. Physical review letters 2010, 105, 211303. [Google Scholar] [CrossRef] [PubMed]
- Perivolaropoulos, L.; Skara, F. Reconstructing a model for gravity at large distances from dark matter density profiles. Physical Review D 2019, 99, 124006. [Google Scholar] [CrossRef]
- Milgrom, M. A modification of the Newtonian dynamics-Implications for galaxies. The Astrophysical Journal 1983, 270, 371–383. [Google Scholar] [CrossRef]
- Grumiller, D.; Kummer, W.; Vassilevich, D. Dilaton gravity in two dimensions. Physics Reports 2002, 369, 327–430. [Google Scholar] [CrossRef]
- This follows from [5] where the general solution of the action (4) with f(Φ) = Φ2 has been obtained.
- Carroll, S.M. Spacetime and geometry; Cambridge University Press, 2019.
- http://www.ioa.s.u-tokyo.ac.jp/∼sofue/smd2018/Atlas_data_S-galaxies/.
- Moffat, J.W. Scalar–tensor–vector gravity theory. Journal of Cosmology and Astroparticle Physics 2006, 2006, 004. [Google Scholar] [CrossRef]
- Kumar, N. 2D behavior of Gravity at Large Distances. Preprints 2023. [Google Scholar] [CrossRef]
- Bekenstein, J.D.; Mayo, A.E. Black holes are one-dimensional. General Relativity and Gravitation 2001, 33, 2095–2099. [Google Scholar] [CrossRef]
- Das, S.; Sur, S. Dark matter or strong gravity? International Journal of Modern Physics D 2022, 31, 2242020. [Google Scholar] [CrossRef]
- Das, S.; Sur, S. Gravitational lensing and missing mass. Physics Open 2023, 15, 100150. [Google Scholar] [CrossRef]
| 1 | We use natural units so that
|

Disclaimer/Publisher’s Note: The statements, opinions and data contained in all publications are solely those of the individual author(s) and contributor(s) and not of MDPI and/or the editor(s). MDPI and/or the editor(s) disclaim responsibility for any injury to people or property resulting from any ideas, methods, instructions or products referred to in the content. |
© 2023 by the authors. Licensee MDPI, Basel, Switzerland. This article is an open access article distributed under the terms and conditions of the Creative Commons Attribution (CC BY) license (http://creativecommons.org/licenses/by/4.0/).
