Submitted:
04 September 2023
Posted:
06 September 2023
You are already at the latest version
Abstract

Keywords:
1. Introduction
2. Basic expressions
2.1. Equations of state and critical temperature.
2.2. Energy minima. Critical value.
- when , the antiferromagnetic configuration is the ground state of the system, and the ferromagnetic configuration is its local minimum;
- when , the ground state is the ferromagnetic state , and the antiferromagnetic configuration is its local minimum.
2.3. Balanced system. “Critical” value .
3. Critical Behavior
3.1. Spontaneous magnetization. Critical exponent.
-
The case . Let us consider the equation of state (6) when and . Let us expand it in small parameters with an accuracy up to the terms of the order of and . Then, for partial magnetizations near the critical temperature (), we get:whereThe full spontaneous magnetization is defined as:Here we take into account the fact that with and the inequality holds.
- The case . Here , and the parenthesized expression from (16) becomes zero. It means that in the expressions resulted from the expansion of the equation of state (6), we must retain the terms of the order of . Then the spontaneous magnetization near the critical temperature is described as
3.2. Jump in heat capacity (). Critical exponent .
3.3. Susceptibility (). Critical exponents and
- When , the terms in the square brackets in the numerators of (21)-(22) are not zero, and the quantity in the numerators can be neglected. In this event the susceptibility of the system takes the classical form:holding true for both and .
- When , we have . Then and in (21) and (22) become constant values, and full susceptibility takes the same “non-classical” form for both and :
3.4. Scaling hypothesis. Critical exponent .
4. Dependences of Physical Quantities on Temperature and External Field
4.1. Unbalanced system ().
- The case . Let us first consider the case , when the ground state is antiferromagnetic ( at ).
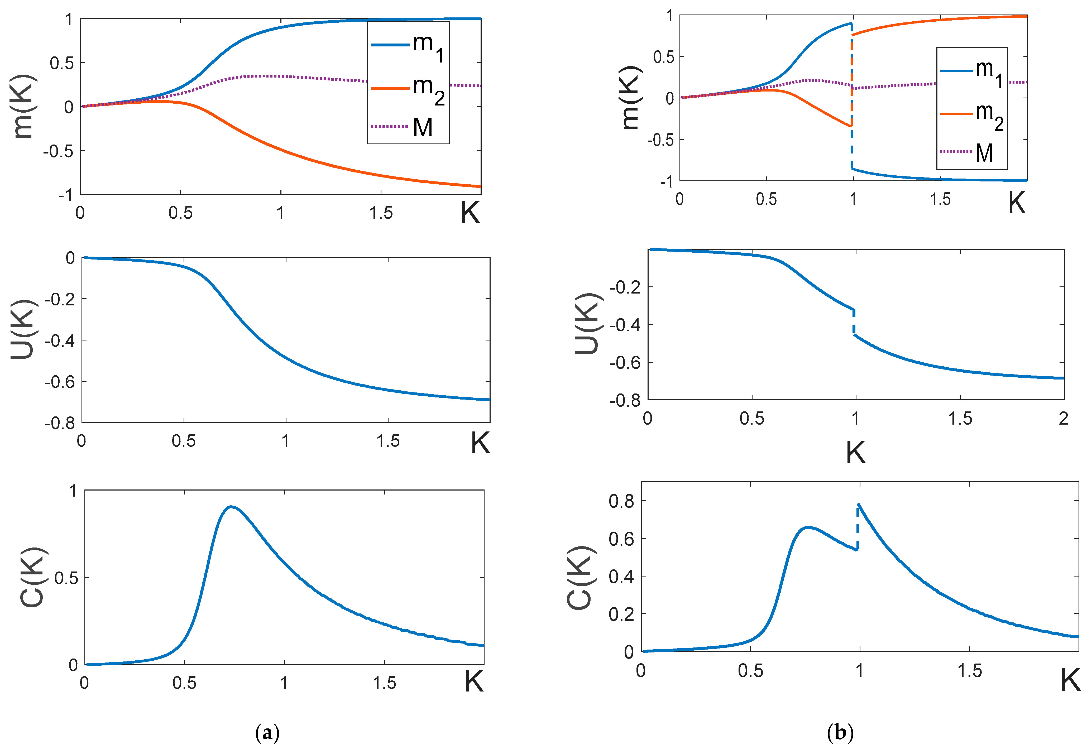
- If , the partial magnetization will monotonously increase, and the partial magnetization will decrease, tending to 1 and -1, correspondingly (Figure 5a). There is no phase transition in this case.
- If , the system’s ground state is the configuration with , . At a certain temperature, a first-order phase transition will occur, as a result of which the magnetization will become negative, and the magnetization will be positive (Figure 5b). This transition will be accompanied by an abrupt change in the measurable parameters: magnetization , internal energy , and heat capacity .
- If , the behavior of the temperature dependences is quite predictable, without any peculiarities (see Figure 6). The partial magnetizations are positive at any . In particular, if the field is close enough to the critical value , the magnetization decreases with the growth of in a certain temperature range, but it never becomes negative (Figure 6a). When , the partial magnetizations and are increasing functions of over the whole temperature range. When , the ground state of the system is the ferromagnetic state: , .
4.2. Balanced system ().
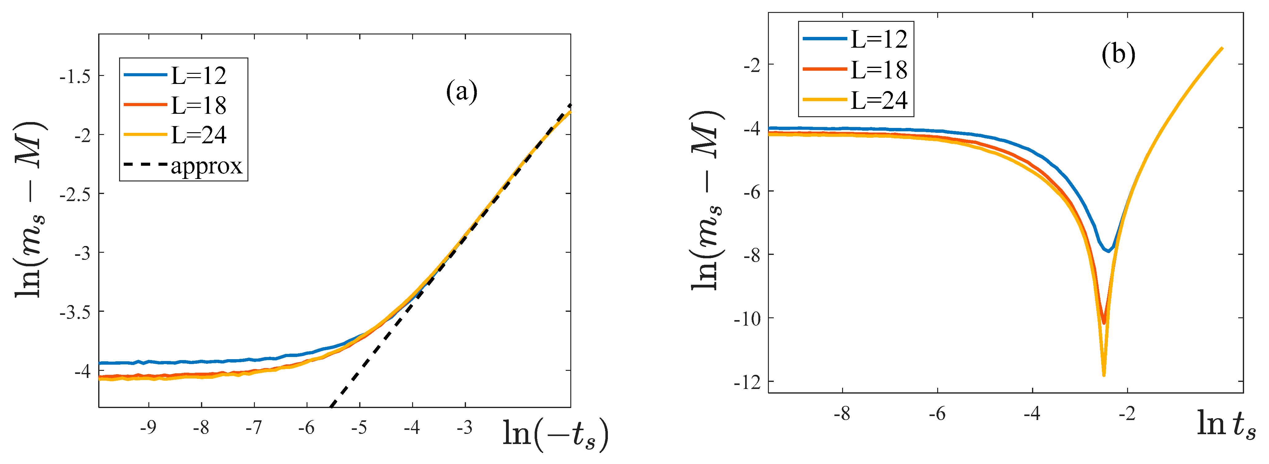
- Soft splitting and merging. Let us determine the “soft” splitting point . Quantities at this point are derived from (32) at . Let us consider the behavior of magnetizations in a small vicinity of , introducing the small deviation
- 2.
- Splitting point and “bubble” formation. The quantity is a solution to equation (32) at . This equation allows for a simple graphical solution if we rewrite it in the form:
- 3.
- Field-controlled phase transition at . A second-order phase transition occurs at the point of soft splitting / merging and is accompanied by a jump of heat capacity. The magnitude of the heat capacity jump, , under the splitting can be easily calculated by differentiating expression (3) for the energy, with the account of expression (35):
- 4.
- Critical exponents of a phase transition at the point of soft splitting. Let us consider critical behaviour of the involved physical quantities near the temperature .
- 5.
- Restrictions in the soft splitting. Above we analyzed the processes of soft splitting and merging in the assumption that these regimes could be reached. However sometimes this is not possible.
5. The Layered Model. Computer Simulation.
- 1.
- Figure 10 shows temperature dependences of partial magnetizations of the layered model when . The general behavior of these dependences is similar to the dependences obtained in the mean-field model for a balanced system (c). Depending on the magnitude of the external field, we can observe both “soft” (Figure 10b) and “hard” (Figure 10c) splitting. However, we failed to observe magnetization “bubbles” in this model.
- 2.
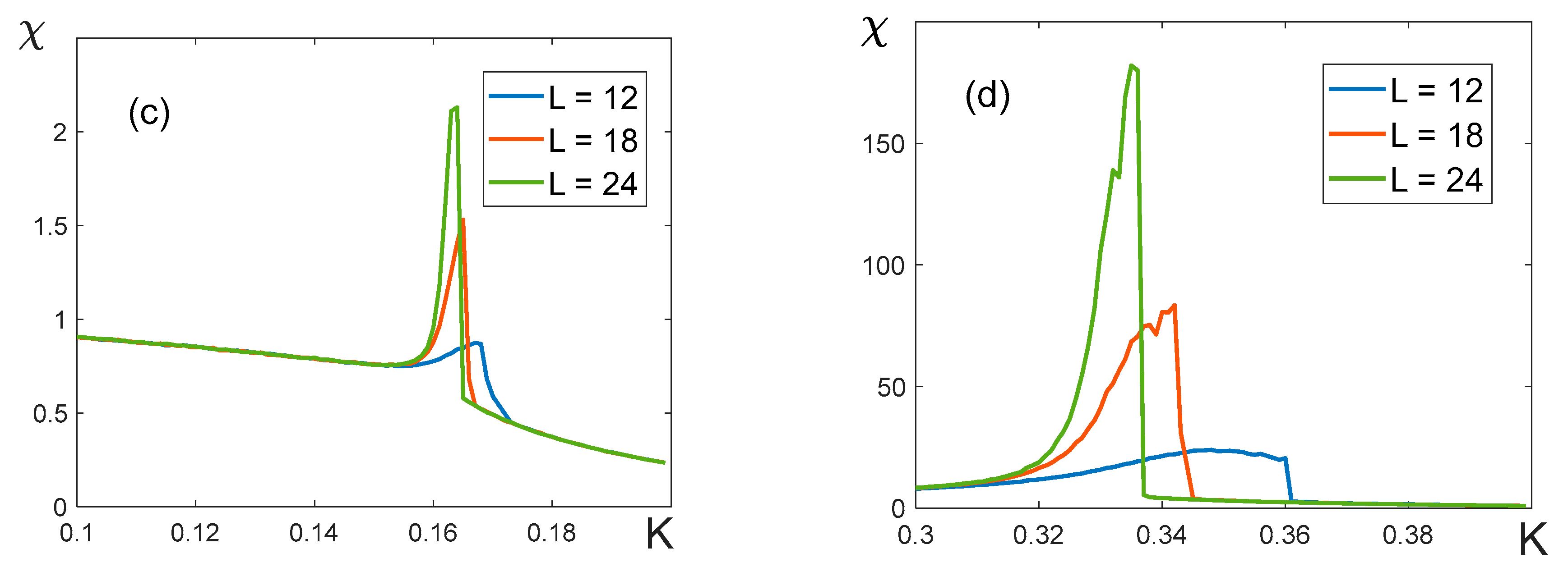
- Let us consider the temperature dependence of the susceptibility in the layered model in the absence of the external field: . If , i.e., the form of the curve is independent of the lattice dimension, and the susceptibility takes a finite value at the critical point (Figures 11a, 11b). With large , the curve does not have a maximum (Figure 11a). It means that the critical exponents, which agrees with the numbers in Table 2.
- 3.
- To get the value of the critical exponent δ, we need to evaluate the critical temperature . The temperature dependences of the Binder cumulants [24] for lattices of different dimensions were built for this purpose. The asymptotic value of for the case of is determined as a point of intersection of these dependences. We define the Binder cumulants for partial and full magnetization in the following way:
- 4.
- Let us consider how the critical exponents change with the increase of the external field in a balanced layered model. We estimated the splitting temperature by plotting the temperature dependencies of the following cumulants:
6. Results and Discussions
- In the absence of an external field, the system has a second-order phase transition. If the relationship between the system’s parameters is such that the effective numbers of neighbors in the sub-lattices are equal (12), then the critical exponents of the transition differ significantly from the usual values of the mean-field model (see Table 2), and the susceptibility has a finite value at the critical point.
- 2.
- If the condition of equality of the effective number of neighbors (12) is met, the external field does not destroy the phase transition, but only shifts the transition temperature. If the external field is weak enough, , where is defined by (38), the shift of the critical point does not change the qualitative characteristics of the system, and the transition remains a second-order phase transition. In subsection 4.2, we show that it is possible to vary the critical temperature over a sufficiently wide range (from to ) by varying within the interval . Under these conditions, the values of the critical exponents , and do not change in the mean-field model, and the exponent becomes twice as large as its value for the partial magnetizations. In addition, for a finite external field the system exhibits a jump in the susceptibility at the phase transition point.
- 3.
- The behavior of the system depends on the relation between the magnitude of the magnetic field and the critical value (11). When , the system’s ground state is an antiferromagnetic state with , and the magnetization . When , the ground state is a ferromagnetic state with (Table 1). Correspondingly, adiabatic cooling of the system () transfers it into the antiferromagnetic state at , and into the ferromagnetic state at . The analysis given in Section 4 shows that (except for some special cases) the field dependence of the magnetization at a fixed temperature follows the pattern:
- if is smaller than or of the order of , then the magnetization grows monotonously with , and becomes equal to one when the system reaches the ferromagnetic state at ;
- if is several times greater than , the picture is different: for there is a plateau of a height , which gets transferred to the ferromagnetic limit at by means of a jump.
Author Contributions
Funding
Institutional Review Board Statement
Acknowledgments
Conflicts of Interest
References
- Ilkovič, V. Magnetic Properties of Ising-Type Ferromagnetic Films with a Sandwich Structure. Phys. St. Sol. (b) 1998, 207, 131–137. [Google Scholar] [CrossRef]
- Kuzniak-Glanowska, E.; Konieczny, P.; Pełka, R.; Muzioł, T.M.; Kozieł, M.; Podgajny, R. Engineering of the XY Magnetic Layered System with Adeninium Cations: Monocrystalline Angle-Resolved Studies of Nonlinear Magnetic Susceptibility. Inorg. Chem. 2021, 60, 10186–10198. [Google Scholar] [CrossRef] [PubMed]
- Grünberg, P. Layered magnetic structures in research and application. Acta Mater. 2000, 48, 239–251. [Google Scholar] [CrossRef]
- Taborelli, M.; Allenspach, R.; Boffa, G.; Landolt, M. Magnetic coupling of surface adlayers: Gd on Fe(100). Phys. Rev. Lett. 1986, 56, 2869–2872. [Google Scholar] [CrossRef]
- Camley, R.E.; Tilley, D.R. Phase transitions in magnetic superlattices. Phys. Rev. B 1988, 37, 3413–3421. [Google Scholar] [CrossRef] [PubMed]
- Camley, R.E. Properties of magnetic superlattices with antiferromagnetic interfacial coupling: Magnetization, susceptibility, and compensation points. Phys. Rev. B 1989, 39, 12316–12319. [Google Scholar] [CrossRef] [PubMed]
- Lipowski, A. Critical temperature in the two-layered Ising model. Phys. A: Stat. Mech. its Appl. 1998, 250, 373–383. [Google Scholar] [CrossRef]
- Tsuyoshi, H.; Lipowski, A.; Tsushima, N. Spin-32 ising model and two-layer Ising model. Phys. A 1996, 224, 626–638. [Google Scholar]
- Diaz, I.J.L.; Branco, N.D.S. Monte Carlo simulations of an Ising bilayer with non-equivalent planes. Phys. A: Stat. Mech. Its Appl. 2017, 468, 158–170. [Google Scholar] [CrossRef]
- Diaz, I.; Branco, N. Monte Carlo study of an anisotropic Ising multilayer with antiferromagnetic interlayer couplings. Phys. A: Stat. Mech. its Appl. 2018, 490, 904–917. [Google Scholar] [CrossRef]
- Gharaibeh, M.; et al. Compensation and critical behavior of Ising mixed spin (1-1/2-1) three layers system of cubic structure. Phys. A 2020, 550, 124147. [Google Scholar] [CrossRef]
- Wang, W.; Xue, F.-l.; Wang, M.-z. Compensation behavior and magnetic properties of a ferrimagnetic mixed-spin (1/2, 1) Ising double layer superlattice. Phys. B 2017, 515, 104–111. [Google Scholar] [CrossRef]
- Kaneyoshi, T.; Jas̆c̆ur, M. Compensation temperatures of ferrimagnetic bilayer systems. J. Magn. Magn. Mater. 1993, 118, 17–27. [Google Scholar] [CrossRef]
- Szałowski, K.; Balcerzak, T. Normal and inverse magnetocaloric effect in magnetic multilayers with antiferromagnetic interlayer coupling. J. Physics: Condens. Matter 2014, 26, 386003. [Google Scholar] [CrossRef] [PubMed]
- Balcerzak, T.; Szałowski, K. Ferrimagnetism in the Heisenberg–Ising bilayer with magnetically non-equivalent planes. Phys. A: Stat. Mech. its Appl. 2014, 395, 183–192. [Google Scholar] [CrossRef]
- Campa, A.; Gori, G.; Hovhannisyan, V.; Ruffo, S.; Trombettoni, A. Ising chains with competing interactions in the presence of long-range couplings. J. Phys. A: Math. Theor. 2019, 52, 344002. [Google Scholar] [CrossRef]
- Giraldo-Barreto, J.; Restrepo, J. Tax evasion study in a society realized as a diluted Ising model with competing interactions. Phys. A: Stat. Mech. its Appl. 2021, 582, 126264. [Google Scholar] [CrossRef]
- Jin, H.-K.; Pizzi, A.; Knolle, J. Prethermal nematic order and staircase heating in a driven frustrated Ising magnet with dipolar interactions. Phys. Rev. B 2022, 106, 144312. [Google Scholar] [CrossRef]
- Stariolo, D.A.; Cugliandolo, L.F. Barriers, trapping times, and overlaps between local minima in the dynamics of the disordered Ising p-spin model. PRE 2020, 102, 022126. [Google Scholar] [CrossRef]
- Kryzhanovsky, B.; Litinskii, L.; Egorov, V. Analytical Expressions for Ising Models on High Dimensional Lattices. Entropy 2021, 23, 1665. [Google Scholar] [CrossRef]
- Hansen, P.L.; Lemmich, J.; Ipsen, J.H.; Mouritsen, O.G. Two coupled Ising planes: Phase diagram and interplanar force. J. Stat. Phys. 1993, 73, 723–749. [Google Scholar] [CrossRef]
- Ferrenberg, A.M.; Landau, D.P. Monte Carlo study of phase transitions in ferromagnetic bilayers. J. Appl. Phys. 1991, 70, 6215–6217. [Google Scholar] [CrossRef]
- Baxter, R. Exactly Solved Models in Statistical Mechanics. Dover books on physics (Dover Publications), 2007.
- Binder, K. Finite size scaling analysis of ising model block distribution functions. Eur. Phys. J. B 1981, 43, 119–140. [Google Scholar] [CrossRef]
- Godoy, M.; Wagner, F. Nonequilibrium antiferromagnetic mixed-spin Ising model. PRE 2002, 66, 036131. [Google Scholar] [CrossRef]
- Drovosekov, A.B.; Kholin, D.I.; Kreinies, N.M. Magnetic Properties of Layered Ferrimagnetic Structures Based on Gd and Transition 3d Metals. J. Exp. Theor. Phys. 2020, 131, 149–159. [Google Scholar] [CrossRef]
- Telford, E.J.; Dismukes, A.H.; Lee, K.; Cheng, M.; Wieteska, A.; Bartholomew, A.K.; Chen, Y.; Xu, X.; Pasupathy, A.N.; Zhu, X.; et al. Layered Antiferromagnetism Induces Large Negative Magnetoresistance in the van der Waals Semiconductor CrSBr. Adv. Mater. 2020, 32, e2003240. [Google Scholar] [CrossRef] [PubMed]
- Wang, Y.; Yu, J.H.; Xi, C.Y.; Ling, L.S.; Zhang, S.L.; Wang, J.R.; Xiong, Y.M.; Han, T.; Han, H.; Yang, J.; et al. Topological semimetal state and field-induced Fermi surface reconstruction in the antiferromagnetic monopnictide NdSb. Phys. Rev. B 2018, 97, 115133. [Google Scholar] [CrossRef]


















| Condition | Ground state(global minimum) | Metastable state(local minimum) |
|---|---|---|
| Critical exponent | ) | ) |
|---|---|---|
| 0 | 0 | |
| 1/2 | 3/2 | |
| 1 | 0 | |
| 3 | 1 | |
| Scaling hypothesis | confirmed | ? |
| Model parameters | ||
| Balanced system () | ||
| 0.3580 | 0.9982 | |
| 0.2710 | 0.9921 | |
| 0.2217 | 0.9974 | |
| 0.1707 | 1.0085 | |
| 0.1430 | 1.0012 | |
| Unbalanced system () | ||
| 0.1985 | 2.2929 | |
| 0.1615 | 4.4033 | |
| 0.1310 | 2.5688 | |
| 0.1125 | 3.1631 | |
| 0.1010 | 3.1175 | |
| /MFM | /MFM/Eq. (33) | /MFM | |||||
|---|---|---|---|---|---|---|---|
| -4 | 0.2217/0.1667 | 0.2826 | 0.5 | 0.2257/0.1694/0.2246 | 0.1145/0.1271 | 0.6106 | 1.0688/0.8623 |
| 1 | 0.2387/0.1798/0.2350 | 0.2381/0.2700 | 0.5814 | 1.0474/0.6352 | |||
| -8 | 0.1707/0.1250 | 0.3128 | 0.1 | 0.1707/ 0.1250/0.1707 | 0.0110/0.0125 | 0.6077 | 1.0425/1.0502 |
| 0.5 | 0.1717/ 0.1255/0.1712 | 0.0550/0.0627 | 0.5922 | 1.0703/1.0083 | |||
| 1 | 0.1744/0.1270/0.1728 | 0.1105/ 0.1263 | 0.5814 | 1.1014/0.7923 | |||
| 2 | 0.1866/0.1342/0.1801 | 0.2287/0.2622 | 0.5650 | 1.1015/0.6304 | |||
| -16 | 0.1240/0.0833 | 0.3032 | 2 | 0.1271/0.0847/0.1254 | 0.1051/0.1260 | 0.5049 | 1.1609/0.7473 |
| 4 | 0.1383/0.0893/0.1301 | 0.2168/0.2588 | 0.4906 | 1.1924/0.5753 |
Disclaimer/Publisher’s Note: The statements, opinions and data contained in all publications are solely those of the individual author(s) and contributor(s) and not of MDPI and/or the editor(s). MDPI and/or the editor(s) disclaim responsibility for any injury to people or property resulting from any ideas, methods, instructions or products referred to in the content. |
© 2023 by the authors. Licensee MDPI, Basel, Switzerland. This article is an open access article distributed under the terms and conditions of the Creative Commons Attribution (CC BY) license (http://creativecommons.org/licenses/by/4.0/).
