Submitted:
29 August 2023
Posted:
30 August 2023
You are already at the latest version
Abstract

Keywords:
1. Introduction
2. Materials and Methods
2.1. Nanopowders and Suspensions of (Y0.9La0.1)2O3
2.2. Nanopowders and Suspensions of (Ho0.95La0.05)2O3
2.3. Characterization of the Suspensions and Electrophoretic Deposition (EPD)
2.3.1. Electrophoretic Deposition of One-Layer Compacts
2.3.2. Electrophoretic Deposition of Two-Layers Compacts
2.4. Sintering of the Ceramics
3. Results
3.1. Characteristics of (Y0.9La0.1)2O3 Nanopowders and Suspensions
3.2. Characteristics of (Ho0.95La0.05)2O3 Nanopowders and Suspensions
4. Discussion
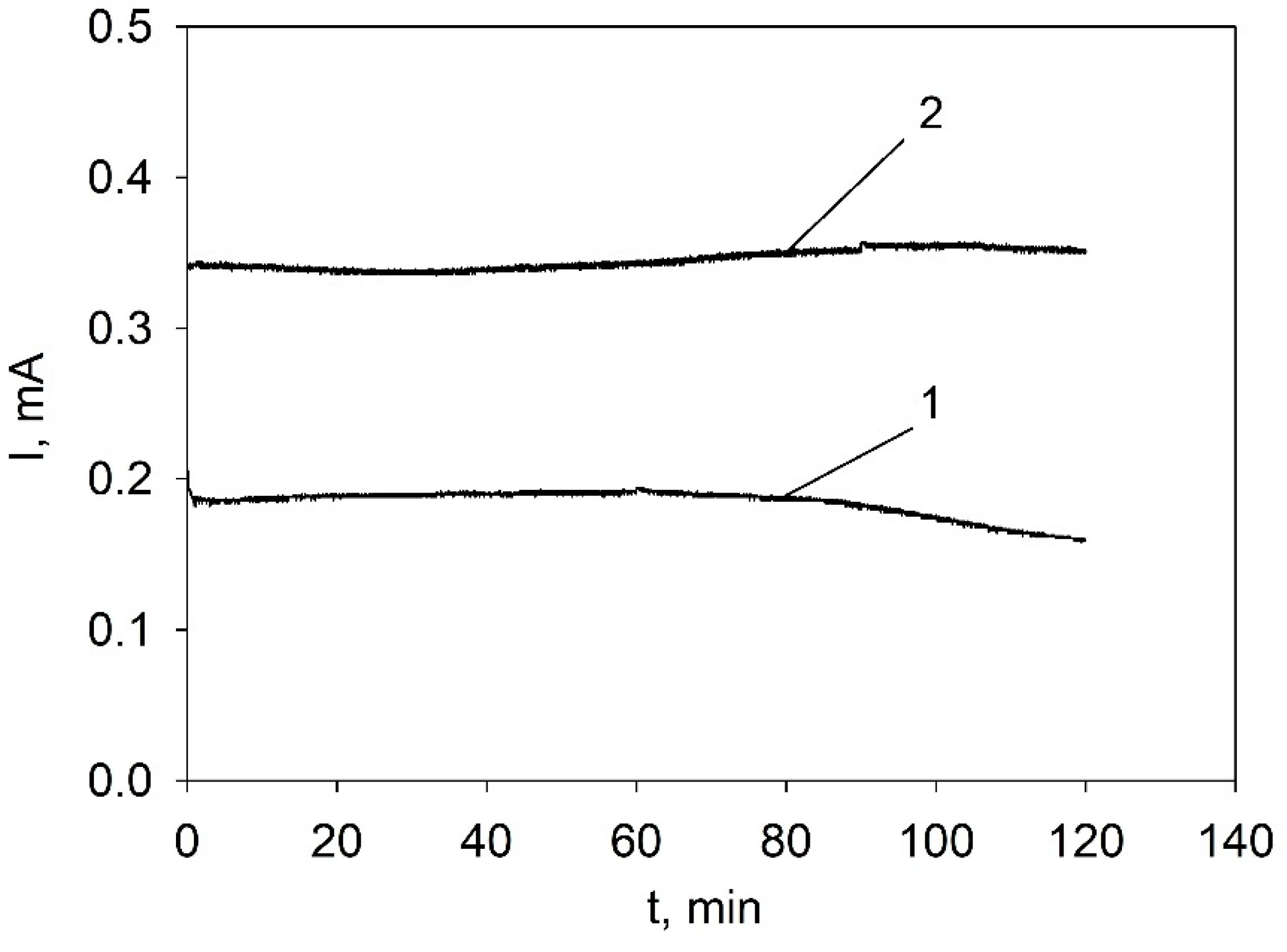
4.1. Electrophoretic Deposition of Single-Layer Compacts from Suspensions of the YLa Nanopowders
4.2. Electrophoretic Deposition of One-Layer Compacts from Suspensions of HoLa Nanopowder
4.3. Electrophoretic Deposition of Two-Layers Compacts
5. Conclusions
Acknowledgments
References
- I. Snetkov, J. Li, Selection of Magneto-Optical Material for a Faraday Isolator Operating in High-Power Laser Radiation, Magnetochemistry. 8 (2022) 168. [CrossRef]
- A. Ikesue, Y.L. Aung, Synthesis and Performance of Advanced Ceramic Lasers, Journal of the American Ceramic Society. 89 (2006) 1936–1944. [CrossRef]
- F. Tang, Y. Cao, J. Huang, H. Liu, W. Guo, W. Wang, Fabrication and Laser Behavior of Composite Yb:YAG Ceramic, Journal of the American Ceramic Society. 95 (2012) 56–69. [CrossRef]
- K. Fujioka, X. Guo, M. Maruyama, J. Kawanaka, N. Miyanaga, Room-temperature bonding with post-heat treatment for composite Yb:YAG ceramic lasers, Opt Mater (Amst). 91 (2019) 344–348. [CrossRef]
- I. Mukhin, E. Perevezentsev, O. Palashov, Fabrication of composite laser elements by a new thermal diffusion bonding method, Opt Mater Express. 4 (2014) 266. [CrossRef]
- E.R. Kupp, G.L. Messing, J.M. Anderson, V. Gopalan, J.Q. Dumm, C. Kraisinger, N. Ter-Gabrielyan, L.D. Merkle, M. Dubinskii, V.K. Simonaitis-Castillo, G.J. Quarles, Co-casting and optical characteristics of transparent segmented composite Er:YAG laser ceramics, J Mater Res. 25 (2010) 476–483. [CrossRef]
- H. Ichikawa, K. Yamaguchi, T. Katsumata, I. Shoji, High-power and highly efficient composite laser with an anti-reflection coated layer between a laser crystal and a diamond heat spreader fabricated by room-temperature bonding, Opt Express. 25 (2017) 22797. [CrossRef]
- S. Balabanov, S. Filofeev, M. Ivanov, A. Kaigorodov, D. Kuznetsov, D.J. Hu, J. Li, O. Palashov, D. Permin, E. Rostokina, I. Snetkov, Fabrication and characterizations of holmium oxide based magneto-optical ceramics, Opt Mater (Amst). 101 (2020) 109741. [CrossRef]
- L. Jin, G. Zhou, S. Shimai, J. Zhang, S. Wang, ZrO2-doped Y2O3 transparent ceramics via slip casting and vacuum sintering, J Eur Ceram Soc. 30 (2010) 2139–2143. [CrossRef]
- S.K. Dutta, G.E. Gazza, Transparent Y2O3 by hot-pressing, Mater Res Bull. 4 (1969) 791–796. [CrossRef]
- K. Majima, N. Niimi, M. Watanabe, S. Katsuyama, H. Nagai, Effect of LiF addition on the preparation of transparent Y2O3 by the vacuum hot pressing method, J Alloys Compd. 193 (1993) 280–282. [CrossRef]
- S. Balabanov, S. Filofeev, A. Kaygorodov, V. Khrustov, D. Kuznetsov, A. Novikova, D. Permin, P. Popov, M. Ivanov, Hot pressing of Ho2O3 and Dy2O3 based magneto-optical ceramics, Optical Materials: X. 13 (2022) 100125. [CrossRef]
- A. Ikesue, K. Kamata, K. Yoshida, Synthesis of Transparent Nd-doped HfO2-Y2O3 Ceramics Using HIP, Journal of the American Ceramic Society. 79 (1996) 359–364. [CrossRef]
- J. Mouzon, A. Maitre, L. Frisk, N. Lehto, M. Odén, Fabrication of transparent yttria by HIP and the glass-encapsulation method, J Eur Ceram Soc. 29 (2009) 311–316. [CrossRef]
- D. Hu, X. Li, L. Zhang, I. Snetkov, P. Chen, Z. Dai, S. Balabanov, O. Palashov, J. Li, Terbium (III) Oxide (Tb2O3) Transparent Ceramics by Two-Step Sintering from Precipitated Powder, Magnetochemistry. 8 (2022) 73. [CrossRef]
- Y. Xin, T. Xu, Y. Wang, P. Luo, W. Li, B. Kang, B. Mei, W. Jing, Effect of ZrO2 Content on Microstructure Evolution and Sintering Properties of (Tb0.7Lu0.3)2O3 Magneto-Optic Transparent Ceramics, Magnetochemistry. 8 (2022) 175. [CrossRef]
- D. Yin, J. Wang, M. Ni, P. Liu, Z. Dong, D. Tang, Fabrication of Highly Transparent Y2O3 Ceramics with CaO as Sintering Aid, Materials. 14 (2021) 444. [CrossRef]
- R. Chaim, A. Shlayer, C. Estournes, Densification of nanocrystalline Y2O3 ceramic powder by spark plasma sintering, J Eur Ceram Soc. 29 (2009) 91–98. [CrossRef]
- N. Frage, S. Cohen, S. Meir, S. Kalabukhov, M.P. Dariel, Spark plasma sintering (SPS) of transparent magnesium-aluminate spinel, J Mater Sci. 42 (2007) 3273–3275. [CrossRef]
- K.A. Appiagyei, G.L. Messing, J.Q. Dumm, Aqueous slip casting of transparent yttrium aluminum garnet (YAG) ceramics, Ceram Int. 34 (2008) 1309–1313. [CrossRef]
- M. Bredol, J. Micior, S. Klemme, Electrophoretic deposition of alumina, yttria, yttrium aluminium garnet and lutetium aluminium garnet, J Mater Sci. 49 (2014) 6975–6985. [CrossRef]
- B.V. Derjaguin, S.S. Dukhin, V.N. Shilov, Kinetic aspects of electrochemistry of disperse systems. Part I. Introduction, Adv Colloid Interface Sci. 13 (1980) 141–152. [CrossRef]
- M. Ivanov, E. Kalinina, Y. Kopylov, V. Kravchenko, I. Krutikova, U. Kynast, J. Li, M. Leznina, A. Medvedev, Highly transparent Yb-doped (La<inf>x</inf>Y<inf>1 − x</inf>)<inf>2</inf>O<inf>3</inf>ceramics prepared through colloidal methods of nanoparticles compaction, J Eur Ceram Soc. 36 (2016). [CrossRef]
- E. Kalinina, M. Ivanov, The Electrophoretic Deposition of Nanopowders Based on Yttrium Oxide for Bulk Ceramics Fabrication, Inorganics (Basel). 10 (2022) 243. [CrossRef]
- M. Ivanov, Y. Kopylov, V. Kravchenko, S. Zayats, Sintering and optical quality of highly transparent yb-doped yttrium lanthanum oxide ceramics, Physica Status Solidi (C) Current Topics in Solid State Physics. 10 (2013). [CrossRef]
- M. Della Negra, S.P.V. Foghmoes, T. Klemensø, Complementary analysis techniques applied on optimizing suspensions of yttria stabilized zirconia, Ceram Int. 42 (2016) 14443–14451. [CrossRef]
- S. Bhattacharjee, DLS and zeta potential – What they are and what they are not?, Journal of Controlled Release. 235 (2016) 337–351. [CrossRef]
- D. Henry, The cataphoresis of suspended particles. Part I.—The equation of cataphoresis, Proceedings of the Royal Society of London. Series A, Containing Papers of a Mathematical and Physical Character. 133 (1931) 106–129. [CrossRef]
- Y. Nakamura, K. Isobe, H. Morita, S. Yamazaki, S. Kawaguchi, Metal complexes containing acetylacetone as a neutral ligand, Inorg Chem. 11 (1972) 1573–1578. [CrossRef]
- X. Zhang, X. Huang, Z. Liu, Y. Feng, N. Jiang, L. Wu, Z. Yang, T. Xie, J. Li, Fabrication, microstructure and properties of transparent Yb:Y2O3 ceramics from co-precipitated nanopowders, Opt Mater (Amst). 122 (2021) 111792. [CrossRef]






| Powders | Dispersion medium | ζ–potential, mV |
| 76YLa | iPrOH | +4 |
| iPrOH + АсАс (1 mg/m2) | +49 | |
| iPrOH + АсАс (1 mg/m2) + PVB (1 mg/m2) | +29 | |
| 76YLa_milling | iPrOH | +11 |
| iPrOH + АсАс (1 mg/m2) | +49 | |
| 80YLa | iPrOH | +13 |
| iPrOH + АсАс (1 mg/m2) | +69 | |
| iPrOH + АсАс (1 mg/m2) + PVB (1 mg/m2) | +67 | |
| HoLa | iPrOH | +16 |
| iPrOH + АсАс (1 mg/m2) | +86 | |
| iPrOH + АсАс (1 mg/m2) + PVB (1 mg/m2) | +80 |
| Sample | Suspension | Dispersion medium | Mode of the EPD (voltage, time); Mass / thickness / density of the green body |
|---|---|---|---|
| 76YLa_1 | 76YLa_AcAc | iPrOH/AcAc | 20 V, 150 min; 440 mg / 1.6 mm / 43% |
| 76YLa_2 | 76YLa_PVB aged for 14 days |
iPrOH/AcAc/PVB | 20 V, 150 min; 175 mg / 1 mm / 32% |
| 76YLa_3 | 76YLa_milling | iPrOH/AcAc | 20 V, 150 min; 524 mg / 2.5 mm / 37% |
| 80YLa_1 | 80YLa | iPrOH/AcAc/PVB | 20 V, 120 min; 250 mg / 1.5 mm / 38% |
| 80YLa_2 | 80YLa aged for 14 days |
iPrOH/AcAc/PVB | 20 V, 120 min; 171 mg / 1.0 mm / 32% |
| HoLa_1 | HoLa_AcAc | iPrOH/AcAc | 40 V, 120 min; 751 mg/ 1,9 mm / 30% |
| HoLa_2 | HoLa_PVB | iPrOH/AcAc/PVB | 40 V, 120 min; 447 mg / 1.5 mm / 32% |
| Sample | Suspension | Dispersion medium | Mode of the EPD (voltage, time); Mass / thickness / fraction of the layer |
Density of the green body, % of theoretical* |
|---|---|---|---|---|
| 76YLa/HoLa_1 | 76YLa_milling | iPrOH/AcAc | 20 V, 120 min; 570 mg / 1.6 mm / 0.62 |
46 |
| HoLa_PVB | iPrOH/AcAc/PVB | 40 V, 150 min; 356 mg / 1.0 mm / 0.38 |
||
| 80YLa/HoLa_2 | 80YLa_PVB | iPrOH/AcAc/PVB | 20 V, 120 min; 266 mg / 0.7 mm / 0.58 |
46 |
| HoLa_PVB | iPrOH/AcAc/PVB | 40 V, 90 min; 190 mg / 0.5 mm / 0.42 |
Disclaimer/Publisher’s Note: The statements, opinions and data contained in all publications are solely those of the individual author(s) and contributor(s) and not of MDPI and/or the editor(s). MDPI and/or the editor(s) disclaim responsibility for any injury to people or property resulting from any ideas, methods, instructions or products referred to in the content. |
© 2023 by the authors. Licensee MDPI, Basel, Switzerland. This article is an open access article distributed under the terms and conditions of the Creative Commons Attribution (CC BY) license (https://creativecommons.org/licenses/by/4.0/).
