Submitted:
04 August 2023
Posted:
04 August 2023
You are already at the latest version
Abstract
Keywords:
1. Introduction
2. Description of Dynamic Modelling of Robot
3. Dynamic and Static High Gain Adaptive Control Algorithm
3.1. Dynamic Gain Observer and Controller Design
3.2. Stability Analysis and Implementation
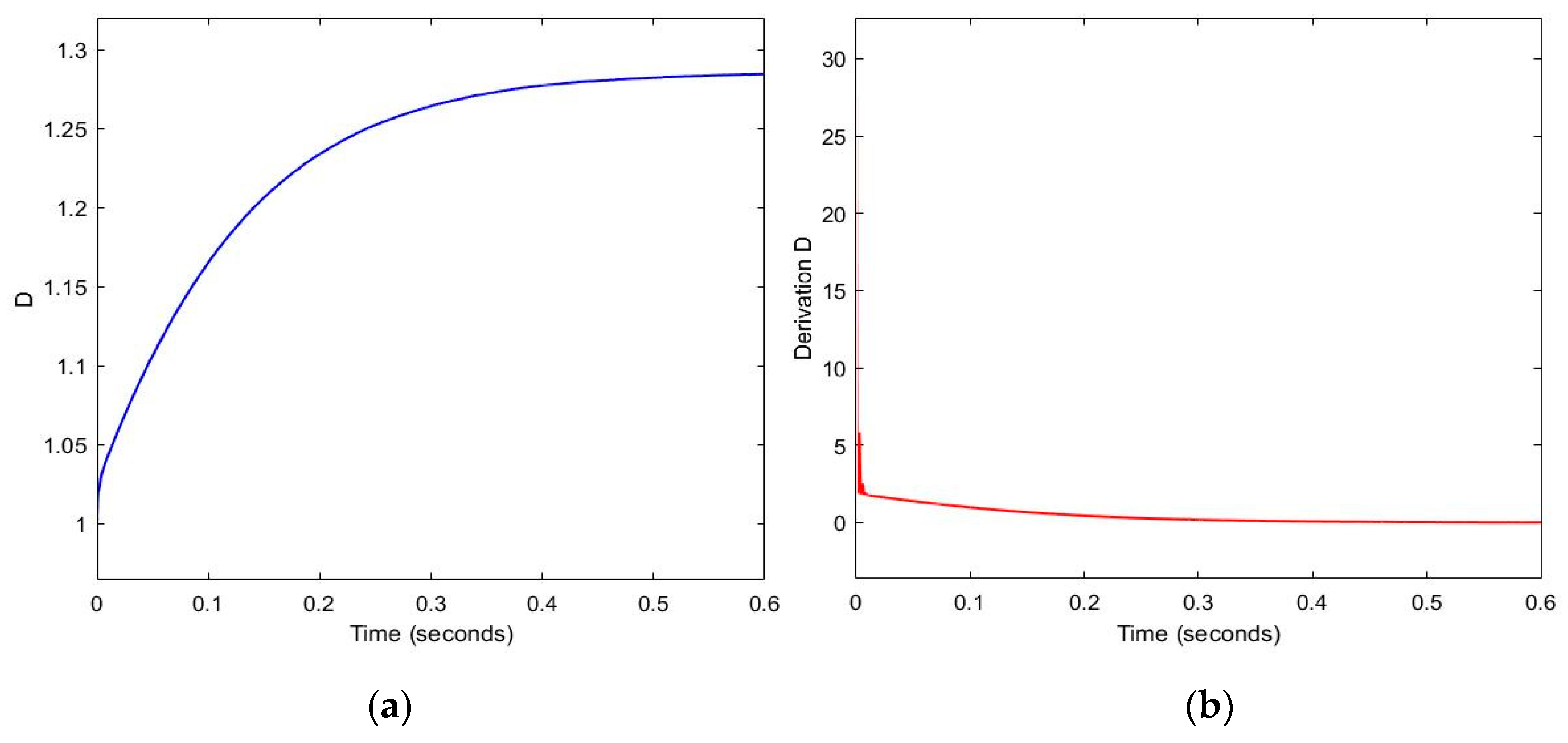
4. Underwater Robot Transportation Model Example
5. Concluding and Future Prospects
Funding
Data Availability Statement
6. Acknowledgments
Conflicts of Interest
References
- Zhang, Y.; Liu, X.; Luo, M.; Yang, C. MPC-based 3-D trajectory tracking for an autonomous underwater vehicle with constraints in complex ocean environments. Ocean Eng 2019, 189, 106309. [Google Scholar] [CrossRef]
- Bi, F.; Wei, Y.; Zhang Z, J.; Cao, W. Position-tracking control of underactuated autonomous underwater vehicles in the presence of unknown ocean currents. Iet Control Theory and Applications 2010, 4, 2369–2380. [Google Scholar] [CrossRef]
- Yuh, J. Design and Control of Autonomous Underwater Robots: A Survey. Autonomous Robots 2000, 8(1), 7–24. [Google Scholar] [CrossRef]
- Haj-Ali, A.; Ying, H. Structural analysis of fuzzy controllers with nonlinear input fuzzy sets in relation to nonlinear PID control with variable gains. Automatica 2004, 40(9), 1551–1559. [Google Scholar] [CrossRef]
- Krstic, M. Feedback Linearizability and Explicit Integrator Forwarding Controllers for Classes of Feedforward Systems. IEEE Transactions on Automatic Control 2004, 49(10), 1668–1682. [Google Scholar] [CrossRef]
- Tsai, WC.; Wu, CH.; Cheng, MY. Tracking Accuracy Improvement Based on Adaptive Nonlinear Sliding Mode Control. IEEE/ASME Transactions on Mechatronics 2021; 26(1): 179–190.
- Zhu, C.; Huang, B.; Zhou, B.; Su, Y.; Zhang, E. Adaptive model-parameter-free fault-tolerant trajectory tracking control for autonomous underwater vehicles. ISA Transactions 2021, 114, 57–71. [Google Scholar] [CrossRef]
- Wadi, A.; Mukhopadhyay, S.; Lee, JH. Adaptive observer design for wave PDEs with nonlinear dynamics and parameter uncertainty. Automatica 2021, 123, 109295. [Google Scholar]
- Wen, L.; Tao, G.; Song, G. Higher-order tracking properties of nonlinear adaptive control systems. Systems & Control Letters 2020, 145, 104781. [Google Scholar]
- Zhang, X.; Baron, L.; Liu, Q.; Boukas, EK. Design of Stabilizing Controllers With a Dynamic Gain for Feedforward Nonlinear Time-Delay Systems. IEEE Transactions on Automatic Control 2011, 56(3), 692–697. [Google Scholar] [CrossRef]
- Elmokadem, T.; Zribi, M.; Youcef-Toumi, K. Terminal sliding mode control for the trajectory tracking of underactuated Autonomous Underwater Vehicles. Ocean Eng 2017, 129, 613–625. [Google Scholar] [CrossRef]
- Wang, Y.; Pu, H.; Shi, P.; Ahn, CK.; Luo, J. Sliding mode control for singularly perturbed Markov jump descriptor systems with nonlinear perturbation. Automatica 2021, 127, 109515. [Google Scholar] [CrossRef]
- Taleb, M.; Plestan, F.; Bououlid, B. An adaptive solution for robust control based on integral high-order sliding mode concept. International Journal of Robust and Nonlinear Control 2015, 25(8), 1201–1213. [Google Scholar] [CrossRef]
- Liu, K.; Liu, K.; Wang, Y.; Ji, H.; Wang, S. Adaptive saturated tracking control for spacecraft proximity operations via integral terminal sliding mode technique. International Journal of Robust and Nonlinear Control 2021, 31(18), 9372–9396. [Google Scholar] [CrossRef]
- Khan, S.; Guivant, J.; Li, X. Design and experimental validation of a robust model predictive control for the optimal trajectory tracking of a small-scale autonomous bulldozer. Robotics and Autonomous Systems 2022, 147, 103903. [Google Scholar] [CrossRef]
- Hyun-Wook. ; Jo, Jong-Tae.; Lim.; Ho-Lim.; Choi. Observer based output feedback regulation of a class of feedforward nonlinear systems with uncertain input and state delays using adaptive gain. Systems and Control Letters 2014, 71, 45–53. [Google Scholar]
- Chen, X.; Zhang, X.; Liu, Q. Prescribed-time decentralized regulation of uncertain nonlinear multi-agent systems via output feedback. Systems & Control Letters 2020, 137, 104640. [Google Scholar]
- Krishnamurthy, P.; Khorrami, F. Feedforward Systems with ISS Appended Dynamics: Adaptive Output-Feedback Stabilization and Disturbance Attenuation. IEEE Transactions on Automatic Control 2008, 53(1), 405–412. [Google Scholar] [CrossRef]
- Machado, JE.; Ortega, R.; Astolfi, A. ; Jos. An Adaptive Observer-Based Controller Design for Active Damping of a DC Network with a Constant Power Load. IEEE Transactions on Control Systems Technology 2021, 29, 2312–2324. [Google Scholar] [CrossRef]
- Chaudhari, S.; Shendge, PD.; Phadke, SB. Disturbance Observer Based Controller Under Noisy Measurement for Tracking of n DOF Uncertain Mismatched Nonlinear Interconnected Systems. IEEE/ASME Transactions on Mechatronics 2020, 25(3), 1600–1611. [Google Scholar] [CrossRef]
- Liu, S.; Wang, D.; Poh, E. Output feedback control design for station keeping of AUVs under shallow water wave disturbances. International Journal of Robust & Nonlinear Control 2010, 19(13), 1447–1470. [Google Scholar]
- Negahdaripour, S.; Xu, X.; Khamene, A.; Awan, Z. 3-D motion and depth estimation from sea-floor images for mosaic-based station-keeping and navigation of ROVs/AUVs and high-resolution sea-floor mapping. IEEE Proceedings of the 1998 Workshop on Autonomous Underwater Vehicles 1998, PP:191-200. [Google Scholar]
- Zhuan, X.; Xia, X. Optimal Scheduling and Control of Heavy Haul Trains Equipped With Electronically Controlled Pneumatic Braking Systems. IEEE Transactions on Control Systems Technology 2007, 15(6), 1159–1166. [Google Scholar] [CrossRef]
- Du, T.; Hughes, J.; Wah, S.; Matusik, W.; Rus, D. Underwater Soft Robot Modeling and Control with Differentiable Simulation. IEEE Robotics and Automation Letters 2021, PP(99), 1–1. [Google Scholar] [CrossRef]
- Chen, YL.; Ma, XW.; Bai, GQ.; Sha, Y.; Liu, J. Multi-autonomous underwater vehicle formation control and cluster search using a fusion control strategy at complex underwater environment. Ocean Eng 2020, 216(7), 108048. [Google Scholar] [CrossRef]
- Hu, C.; Fu, L.; Yang, Y. Cooperative navigation and control for surface-underwater autonomous marine vehicles. IEEE 2018. [Google Scholar]
- Liang, Z.; Liu, Q. Design of stabilizing controllers of upper triangular nonlinear time-delay systems. Systems & Control Letters 2015, 75, 1–7. [Google Scholar]
- Li, DJ. Adaptive output feedback control of uncertain nonlinear chaotic systems based on dynamic surface control technique. Nonlinear Dynamics 2012, 68(1-2), 235–243. [Google Scholar] [CrossRef]
- Huang, Y.; Meng, Z. Global finite-time distributed attitude synchronization and tracking control of multiple rigid bodies without velocity measurements. Automatica 2021, 132, 109796. [Google Scholar] [CrossRef]








Disclaimer/Publisher’s Note: The statements, opinions and data contained in all publications are solely those of the individual author(s) and contributor(s) and not of MDPI and/or the editor(s). MDPI and/or the editor(s) disclaim responsibility for any injury to people or property resulting from any ideas, methods, instructions or products referred to in the content. |
© 2023 by the authors. Licensee MDPI, Basel, Switzerland. This article is an open access article distributed under the terms and conditions of the Creative Commons Attribution (CC BY) license (https://creativecommons.org/licenses/by/4.0/).