Submitted:
13 July 2023
Posted:
13 July 2023
You are already at the latest version
Abstract
Keywords:
1. Introduction
2. Motiviation
- A lossless data aggregation transmission model for HSR networks is proposed, which can effectively reduce the amount of data in the network and reduce the energy consumption of data transmission;
- A DoubleQ-values model based on data aggregation is proposed.Forn the two Q values, we consider the data aggregation degree, the remaining energy level, the link strength, the distance from the node to the sink, and the forwarding delay to consider the network lifetime and the real-time performance of data forwarding. The defined reward function can capture the dynamic changes of the network in real time and achieve dynamic control of the entire network with less overhead;
- An adaptive energy-saving routing algorithm based on DoubleQ-values is proposed to classify HSR network devices according to their real-time requirements and life cycle requirements. An adaptive control algorithm is adopted for different business priorities. It meets the real-time requirements of the HSR network and prolongs the network’s life and improves service quality.
3. System Profile and Overall Scheme
- Structure and characteristics of communication;
- Keeping track of objects and requirements;
- Policy of aggregation and intelligent routing design;
- Algorithm for adaptive routing.
3.1. Communication structure and characteristics
3.2. Monitoring objects and requirements
3.3. Aggregation policy and intelligent routing design
3.4. Adaptive routing algorithm
4. Model and Methodology of the Adaptive Protocol
4.1. Energy model
- Energy consumption in active mode. We use denotes the energy consumption rate in this mode.
- Energy consumption when nodes send and receive data.
4.2. Double Q value learning model
4.3. Figures, Tables and Schemes
4.3.1. State and Aaction
4.3.2. Initialize the Double Q-values
4.3.3. Double Q-values update
4.3.4. Explore strategies
4.3.5. Future rewards
4.4. Adaptive routing protocol based on double Q-values
5. PERFORMANCE COMPARISON AND VALIDATION
5.1. Parameters Configuration
5.2. Results and Discussion
5.2.1. Lifetime evaluation
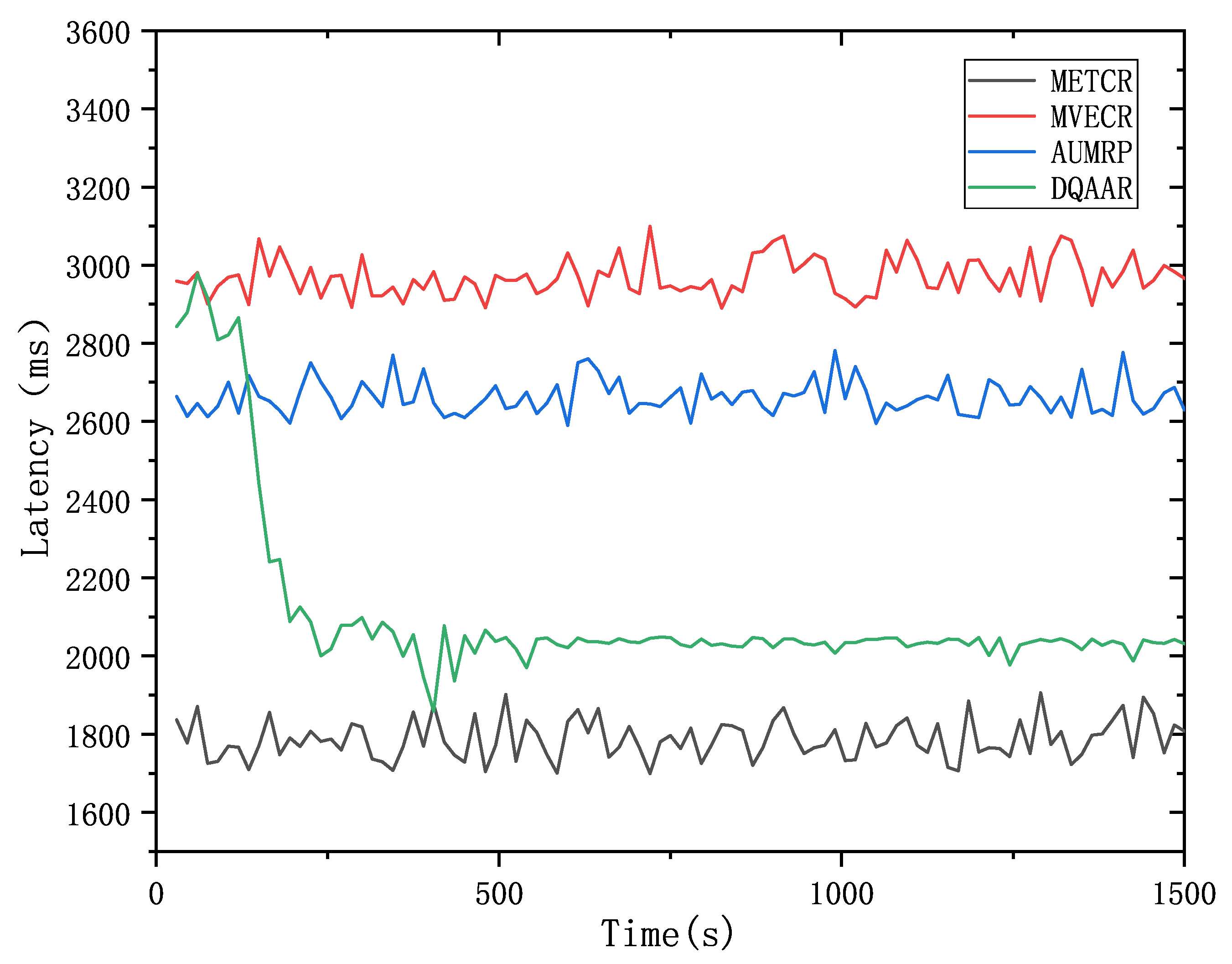
5.2.2. Latency Time
5.2.3. scenario analysis
6. Conclusion
Author Contributions
Funding
Data Availability Statement
Acknowledgments
Conflicts of Interest
Appendix A
| Projects | Description | Contribution | Structure |
|---|---|---|---|
| Routing Protocol to Minimize Total Network Energy Consumption(MTECR) | Reducing the energy consumption in the network by reducing the number of data forwarding hops | Transmission of data with the minimum number of hops reduces forwarding energy consumption and transmission delay | Linear network structure |
| Minimize variance of network energy consumption(MVECR) | Minimize the energy consumption variance of each node in the network to achieve the purpose of improving the network lifetime | Minimizing the variance of energy consumption balances the energy consumption of each node in the network and increases the network lifetime | Linear network structure |
| Adaptive Optimization of Multi-Hop Communication Protocol(AUMRP) | Control the transmission power of each node and minimize the energy consumption of the node to achieve the purpose of improving the life of the network | Constrains the maximum energy consumption of nodes in the network, so that the energy of nodes is preserved and the life of the network is improved | Linear network structure |
| Hybrid Energy Efficient Distributed Cluster (HEEDR) | The cluster head is selected based on the remaining energy of the node and the cost of its communication | The residual energy-based strategy is used in both intra-cluster communication and inter-cluster head communication, improving network lifetime | Mesh network structure |
| Distributed Energy Efficient Cluster Routing Protocol (DEECR) | A routing protocol for heterogeneous networks is proposed, which selects cluster heads based on the ratio of remaining energy to the average energy level of the network | The strategy of selecting cluster heads by residual energy and average energy level successfully improves the energy efficiency of the network | Mesh network structure |
| Energy Efficient Unequal Clustering Routing Protocol (UDCHR) | Inhomogeneous clustering and dual-cluster head techniques are used to solve hotspot problems, and a hybrid rotation strategy based on node time and energy is also proposed to reduce energy consumption | Mitigates hotspot issues in the network with Rotational Forwarding | Mesh network structure |
| Energy Efficient Cluster Head Selection Routing Protocol (EECHS) | Select a node in each cluster to monitor the total energy level of the network, and dynamically transmit data to the cluster head according to the remaining energy of the node | Use one node to maintain global network information, reducing the delay of data transmission in the network | Mesh network structure |
| Energy saving distributed scheduling algorithm (CLU-DDAS) | An energy-efficient distributed scheduling algorithm based on a novel cluster aggregation tree is proposed to minimize delay | Reduced data transfer delays in the network while singing network longevity | Tree network structure |
| Monitoring objects | Sensor type | Life cycle demands | Real-time demands |
|---|---|---|---|
| Longitudinal stress of steel rail | Ultrasonic sensor | high | low |
| Rail deformation | Deformation sensor | high | low |
| Rail integrity | Ultrasonic sensor | medium | medium |
| Rail wear | Video monitoring | low | low |
| Track switch extension pitch adjuster | Fiber grating strain sensor | high | high |
| Rail stiffness | Rail inspection car | low | low |
| Foreign body contamination limit | Video monitoring | high | high |
| Track foundation submerges | Leica total station monitoring system | medium | low |
| Track slope condition | Laser laser scanner and fiber grating strain sensor | medium | medium |
| Lead power supply system | Infrared temperature sensor, fire detector, temperature and humidity sensor | high | high |
| Bow net service state | Acceleration sensor, ratchet deviation Angle sensor,Cable clip temperature sensor | high | high |
| Suspension tension, elasticity and vibration | Tension measurement sensor, wire vibration sensor, elastic measurement sensor | medium | medium |
| Pantograph image recognition | Image and Video Signal Processing | high | high |
| Geological disasters | Seismic detector, landslide detection | low | low |
| Meteorological disaster | Laser monitoring equipment, video and image processing | low | high |
| Meteorological watch | Temperature sensor and humidity sensor | high | high |
References
- Zhang, D.; Li, G.; Zheng, K.; Ming, X.; Pan, Z.-H. An Energy-Balanced Routing Method Based on Forward-Aware Factor for Wireless Sensor Networks. IEEE Transactions on Industrial Informatics 2014, 10, 766–773. [Google Scholar] [CrossRef]
- Paine, B.M.; Polmanter, S.R.; Ng, V.T.; Kubota, N.T.; Ignacio, C.R. Lifetesting GaN HEMTs With Multiple Degradation Mechanisms. IEEE Transactions on Device and Materials Reliability 2015, 15, 486–494. [Google Scholar] [CrossRef]
- Kuawattanaphan, R.; Champrasert, P.; Aramkul, S. A Novel Heterogeneous Wireless Sensor Node Deployment Algorithm With Parameter-Free Configuration. IEEE Access 2018, 6, 44951–44969. [Google Scholar] [CrossRef]
- Li, X.; Liu, W.; Xie, M.; Liu, A.; Zhao, M.; Xiong, N.N.; Zhao, M.; Dai, W. Differentiated Data Aggregation Routing Scheme for Energy Conserving and Delay Sensitive Wireless Sensor Networks. Sensors 2018, 18, 2349. [Google Scholar] [CrossRef]
- Ma, X.; Dong, H.; Liu, X.; Jia, L.; Xie, G.; Bian, Z. An Optimal Communications Protocol for Maximizing Lifetime of Railway Infrastructure Wireless Monitoring Network. IEEE Transactions on Industrial Informatics 2018, 14, 3347–3357. [Google Scholar] [CrossRef]
- Lin, J.; Ma, L.; Cui, J. A frequency-domain convolutional neural network architecture based on the frequency-domain randomized offset rectified linear unit and frequency-domain chunk max pooling method. IEEE Access 2020, 8, 98126–98155. [Google Scholar] [CrossRef]
- Zhang, J.; Hu, P.; Xie, F.; Long, J.; He, A. An Energy Efficient and Reliable In-Network Data Aggregation Scheme for WSN. IEEE Access 2018, 6, 71857–71870. [Google Scholar] [CrossRef]
- Aslam, N.; Xia, K.; Hadi, M.U. Optimal Wireless Charging Inclusive of Intellectual Routing Based on SARSA Learning in Renewable Wireless Sensor Networks. IEEE Sensors Journal 2019, 19, 8340–8351. [Google Scholar] [CrossRef]
- Kaur, M.; Munjal, A. Data aggregation algorithms for wireless sensor network: A review. Ad Hoc Networks 2020, 100, 102083. [Google Scholar] [CrossRef]
- Li, Z.; Liu, Y.; Liu, A.; Wang, S.; Liu, H. Minimizing Convergecast Time and Energy Consumption in Green Internet of Things. IEEE Transactions on Emerging Topics in Computing 2020, 8, 797–813. [Google Scholar] [CrossRef]
- Shobana, M.; Sabitha, R.; Karthik, S. Cluster-Based Systematic Data Aggregation Model (CSDAM) for Real-Time Data Processing in Large-Scale WSN. Wireless Personal Communications 2020 117, 2865–2883. [CrossRef]
- Ullah, I.; Youn, H.Y. Efficient data aggregation with node clustering and extreme learning machine for WSN. The Journal of Supercomputing 2020, 76, 10009–10035. [Google Scholar] [CrossRef]
- Zhang, J.; Lin, Z.; Tsai, P.W.; Xu, L. Entropy-driven data aggregation method for energy-efficient wireless sensor networks. Information Fusion 2020, 56, 103–113. [Google Scholar] [CrossRef]
- Guo, Z.; Peng, J.; Xu, W.; Liang, W.; Wu, W.; Xu, Z.; Guo, B.; Wu, Y.-L. Minimizing Redundant Sensing Data Transmissions in Energy-Harvesting Sensor Networks via Exploring Spatial Data Correlations. IEEE Internet of Things Journal 2021, 8, 512–527. [Google Scholar] [CrossRef]
- Jaradat, Y.; Masoud, M.; Al-Jazzar, S.; Alia, M. Optimal network dimensions for energy conservation in clustered 3D WSN. Wireless Networks 2021, 27, 1821–1833. [Google Scholar] [CrossRef]
- Jasim, A.A.; Idris, M.Y.I.; Razalli Bin Azzuhri, S.; Issa, N.R.; Rahman, M.T.; Khyasudeen, M.F.B. Energy-Efficient Wireless Sensor Network with an Unequal Clustering Protocol Based on a Balanced Energy Method (EEUCB). Sensors 2021, 21, 784. [Google Scholar] [CrossRef]
- Kathiroli, P.; Kanmani, S. An efficient cluster-based routing using Sparrow Search Algorithm for heterogeneous nodes in Wireless Sensor Networks. 2021 International Conference on Communication information and Computing Technology (ICCICT), Mumbai, India, 25-27 June 2021; pp. 1–6. [Google Scholar]
- Ketshabetswe, K.L.; Zungeru, A.M.; Mtengi, B.; Lebekwe, C.K.; Prabaharan, S.R.S. Data Compression Algorithms for Wireless Sensor Networks: A Review and Comparison. IEEE Access 2021, 9, 136872–136891. [Google Scholar] [CrossRef]
- Khisa, S.; Moh, S. Survey on Recent Advancements in Energy-Efficient Routing Protocols for Underwater Wireless Sensor Networks. IEEE Access 2021, 9, 55045–55062. [Google Scholar] [CrossRef]
- Li, A.; Liu, W.; Zeng, L.; Fa, C.; Tan, Y. An Efficient Data Aggregation Scheme Based on Differentiated Threshold Configuring Joint Optimal Relay Selection in WSNs. IEEE Access 2021, 9, 19254–19269. [Google Scholar] [CrossRef]
- Liu, B.; Yang, R.; Xu, M.; Zhou, J. A Chaotic Elite Niche Evolutionary Algorithm for Low-Power Clustering in Environment Monitoring Wireless Sensor Networks. Journal of Sensors 2021, 2021, 1–12. [Google Scholar] [CrossRef]
- Liu, X.; Yu, J.; Zhang, W.; Tian, H. Low-energy dynamic clustering scheme for multi-layer wireless sensor networks. Computers & Electrical Engineering 2021, 91, 107093. [Google Scholar]
- Maivizhi, R.; Yogesh, P. Q-learning based routing for in-network aggregation in wireless sensor networks. Wireless Networks 2021, 27, 2231–2250. [Google Scholar] [CrossRef]
- Nguyen, P.D.; Kim, L.W. Sensor System: A Survey of Sensor Type, Ad Hoc Network Topology and Energy Harvesting Techniques. Electronics 2021, 10, 219. [Google Scholar] [CrossRef]
- Nikseresht, M.R.; Mollamotalebi, M. Providing a CoAP-based technique to get wireless sensor data via IoT gateway. Computer Communications 2021, 172, 155–168. [Google Scholar] [CrossRef]
- Osamy, W.; Salim, A.; Khedr, A.M.; El-Sawy, A.A. IDCT: Intelligent Data Collection Technique for IoT-Enabled Heterogeneous Wireless Sensor Networks in Smart Environments. IEEE Sensors Journal 2021, 21, 21099–21112. [Google Scholar] [CrossRef]
- Panchal, A.; Singh, R.K. EEHCHR: Energy Efficient Hybrid Clustering and Hierarchical Routing for Wireless Sensor Networks. Ad Hoc Networks 2021, 12, 102692. [Google Scholar] [CrossRef]
- Wang, Y.; Sun, G.; Yang, G.; Ding, X. XgBoosted Neighbor Referring in Low-Duty-Cycle Wireless Sensor Networks. IEEE Internet of Things Journal 2020, 8, 3446–3461. [Google Scholar] [CrossRef]
- Xiao, X.; Zhao, M. Routing optimization strategy of IoT awareness layer based on improved cat swarm algorithm. Neural Computing and Applications 2021, 34, 3311–3322. [Google Scholar] [CrossRef]
- Yao, B.; Gao, H.; Chen, Q.; Li, J. Energy-Adaptive and Bottleneck-Aware Many-to-Many Communication Scheduling for Battery-Free WSNs. IEEE Internet of Things Journal 2020, 8, 8514–8529. [Google Scholar] [CrossRef]
- Yun, W.K.; Yoo, S.J. Q-Learning-Based Data-Aggregation-Aware Energy-Efficient Routing Protocol for Wireless Sensor Networks. IEEE Access 2021, 9, 10737–10750. [Google Scholar] [CrossRef]
- Zaraket, E.; Murad, N.M.; Yazdani, S.S.; Rajaoarisoa, L.; Ravelo, B. An overview on low energy wake-up radio technology: Active and passive circuits associated with MAC and routing protocols. Journal of Network and Computer Applications 2021, 190, 103140. [Google Scholar] [CrossRef]
- Maivizhi, R.; Yogesh, P. Fuzzy routing for in-network aggregation in wireless sensor networks. Peer-to-Peer Networking and Applications 2022, 15, 592–611. [Google Scholar] [CrossRef]
- Zhu, T.; Li, J.; Gao, H.; Li, Y. Data Aggregation Scheduling in Battery-Free Wireless Sensor Networks. IEEE Transactions on Mobile Computing 2022, 21, 1972–1984. [Google Scholar] [CrossRef]












| parameters | Symbol |
|---|---|
| Sensor node i with sensor type t | |
| Sensing interval for type t | |
| Aggregation data by sensor node i for type t at time step n | |
| Observed data by sensor node i for type t at time step n | |
| Queue state of sensor node i for type t at time step n | |
| Unit packet size of type t for aggregation model m | |
| Number of packets in the aggregation queue of node I at step n |
| Parameter | Representation |
|---|---|
| Energy consumed to transmit a unit of data | |
| Power amplifier normal loss | |
| Power amplifier for multipath attenuation | |
| Distance constant | |
| The energy spent for computation | |
| The degree of data aggregation of node s to the node pointed to by its action a | |
| The remaining energy of the node pointed to by action a | |
| Link strength between node s and the node pointed to by action a | |
| The distance from the node pointed to by action a to the sink | |
| Forwarding time from node s to the node pointed to by its action a | |
| Data Aggregation normalized value | |
| Residual energy normalized value | |
| The normalized value of the number of hops to the sink node | |
| Forwarding delay normalized value | |
| Link strength normalized value | |
| Received signal power | |
| Adaptive weight factor |
| Parameter | Representation | value |
|---|---|---|
| Energy consumed to transmit a unit of data | ||
| Power amplifier normal loss | ||
| Power amplifier for multipath attenuation | ||
| Initial energy of nodes | ||
| Distance threshold | ||
| Lifetime requirements | ||
| Real-time requirements | ||
| Maximum aggregation reward | 1 | |
| Learning rate and discount factor | ||
| Magnification factor of lifetime | 9 | |
| Magnification factor of real-time | ||
| R | Network range | |
| Network single packet size |
Disclaimer/Publisher’s Note: The statements, opinions and data contained in all publications are solely those of the individual author(s) and contributor(s) and not of MDPI and/or the editor(s). MDPI and/or the editor(s) disclaim responsibility for any injury to people or property resulting from any ideas, methods, instructions or products referred to in the content. |
© 2023 by the authors. Licensee MDPI, Basel, Switzerland. This article is an open access article distributed under the terms and conditions of the Creative Commons Attribution (CC BY) license (http://creativecommons.org/licenses/by/4.0/).