Preprint
Article

This version is not peer-reviewed.

Facile Preparation of SrZr1-xTixO3 and SrTi1-xZrxO3 Fine Particles Assisted by Dehydration of Zr4+ and Ti4+ Gels under Hydrothermal Conditions

A peer-reviewed article of this preprint also exists.

Submitted:

06 July 2023

Posted:

06 July 2023

You are already at the latest version

Abstract
In recent decades, perovskite-type compounds (ABB′O3) have been exhaustively studied due to their unique ferroelectric properties. In this work, a systematic study aiming to prepare fine particles in the binary system SrZrO3–SrTiO3 was conducted under hydrothermal conditions in a KOH (5 M) solution at 200 °C for 4 h under a constant stirring speed of 130 rpm. The precursors employed were SrSO4 powder (< 38 μm size) and coprecipitated hydrous gels of Zr(OH)4•9.64 H2O (Zr-gel) and Ti(OH)4•4.5H2O (Ti-gel), which were mixed according to the stoichiometry of the SrZr1-xTixO3 in the compositional range of 0.0>x>100.0 mol% Ti4+. The XRD results revealed the formation of two crystalline phases rich in Zr4+, an orthorhombic structured SrZr0.93Ti0.07O3 and a cubic structured SrZr0.75Ti0.25O3 within the compositional range of 0.1–0.5 mol of Ti4+. A cubic perovskite-structured solid solution, SrTi1-xZrxO3, was preferentially formed within the compositional range of 0.5>x>0.1 mol% Ti4+. The SrZrO3 and SrZr0.93Ti0.07O3-rich phases had particle sizes averaging 3 m with a cubic morphology. However, a remarkable reduction in the particle size occurred on solid solutions prepared with hydrous Ti-gel over contents of 15 mol% Ti4+ in the reaction media, resulting in the formation of nanosized particles agglomerates with cuboidal shape self-assembled via a 3D hierarchical architecture, the sizes of these particles varied in the range between 141.0–175.5 nm. The limited coarsening of the particles is discussed based on the Zr-gel and Ti-gel dehydration capability differences that occurred under hydrothermal processing.
Keywords: 
;  ;  ;  ;  ;  ;  

1. Introduction

Perovskite structured oxide compounds with ABX3 chemical formula have been investigated because of their broad practical applications and academic research interest. These are associated with their unique properties due to their relatively simple crystalline structure [1,2,3]. The cubic structural perovskite framework (Pm3m) comprises two linked coordination polyhedral networks, the BX6 octahedra and AX12 cuboctahedra. Bonding between the BX6 octahedra polyhedron and sites incorporating A cations occurs via corner-sharing. Interestingly, the BX6 octahedra exhibit volumetric variations, namely expansion, contraction, and tilt, to maintain nonideal ionic size substitutions. Likewise, the local electronic instabilities can distort the octahedra or cause a slight cation shift from their unit cell structural positions. Perovskite structured materials allow ionic partial substitutions and the formation of vacancies on their three structural atomic locations [3]. Therefore, this structure is remarkably flexible to locate various periodic table elements at both A and B sites, resulting in a wide range of properties. The most important are ferroelectricity, ferromagnetism and colossal magnetoresistance, piezoelectricity and multiferroicity [3,4]. B-site cation doping has been one of the major research subjects in developing new advanced perovskite materials; this site controls and tunes some of the most technologically attractive properties, such as electrical conductivity and magnetic order [5,6,7,8]. The tuning of these properties results from combining at least two elements, which maintain the cation structural ordering allowing to development of advanced new materials [3].
The perovskite binary system SrTiO3–SrZrO3, which has technological importance due to its dielectric properties [9], has attracted significant research interest for solid solution preparation via the B-site cation isomorphous substitution. The end members of this system, cubic SrTiO3 (space group Pm3m) and orthorhombic SrZrO3 (Pbnm), do not possess ferroelectric properties. However, the partial substitution of Zr4+ up to 5 mol% provided a remarkable increase in the dielectric breakdown strength (14.4 kV/mm), simultaneously maintaining the high dielectric constant (330) characteristic of SrTiO3, which makes these materials suitable for technical applications as high voltage capacitors [9,10]. Likewise, the SrTi1-xZrxO3 microstructure mobility causes octahedral structural transitions, which consequently cause electronic changes resulting in a peculiar ferroelastic switching behaviour; this feature is essential for magnetic applications [13]. Similarly, the superlattice crystalline structures formed in SrTi1-xZrxO3 layered compounds achieve special BX6 ordering that induces a two-dimensional tension mechanism, causing, at low temperatures, a ferroelectric Ti-rich solid solution (SS) Ti [13]. To some extent, the structural distortion somewhat might promote the proton motion [14]. Another potential technical application determined for ultrafine powders of SrTi1-xZrxO3 solid solutions SS include photoluminescence emission [15] and organic dye photocatalysts [16].
Various systematic studies have been focused on the SS-SrTi1-xZrxO3 preparation in the 0.0≥ x ≤0.5 mol% Zr4+ compositional range by the conventional high-temperature solid-state reaction [1,4,6,8,10,11]. The powders were produced by mixing high-purity SrCO3, TiO2 and ZrO2 powders, which were appropriately mixed in stoichiometric molar ratios to form a slurry with acetone. The powder mixtures were homogenised by vigorous grinding and then pressed. The pellets underwent calcination in a three-step heat treatment between 800 and 1400 °C for 24 to 96 h reaction intervals. However, the SS-SrTi1-xZrxO3 monodisperse nanoparticle formation was not feasible under the conventional ceramic processing route.
On the contrary, chemical solution processing techniques, namely sol-spray pyrolysis [5], low-temperature coprecipitation [7], and sol-gel [16], successfully achieved the preparation of SrTi1-xZrxO3 nanoparticles with accurate stoichiometric compositions, controlled morphology and monomodal particle size distributions that boosted their physical and chemical properties [5,7,16]. Furthermore, the hydrothermal technique has successfully prepared SrTiO3 mesocrystals with nanoparticle sizes and controlled cubic morphology [17,18,19]. The systematic studies focused on the chemical reaction of a slurry media containing TiO2 particles and Sr(OH)2 hydrolysed in a highly alkaline NaOH media (5–10 M) under hydrothermal conditions, resulting in the formation of the SrTiO3 nanoparticles via two mechanisms, namely the topochemical transformation of the TiO2 particles [17,18] and the conventional dissolution-precipitation process [19]. A different approach involving the employment of a mineral source as Sr2+ (SrSO4) precursor and hydrous Ti-gel (Ti(OH)4•4.5H2O) was also evaluated under hydrothermal conditions at 250 °C for 24 h in a KOH solution 5 M [20]. Under these conditions, the dissolution of the SrSO4, coupled with the Ti-gel dehydration, established the chemical equilibrium for triggering the crystallisation of monodispersed fine cubic-shaped SrTiO3 crystals, which exhibited a monomodal particle size distribution. This process can reduce global production costs compared to the low-temperature chemical solution processing and the conventional hydrothermal technique, which uses pure Sr2+ chemical reagents produced from the celestite mineral.
A literature review suggests that further efforts must be made to investigate the feasibility of producing SrZr1-xTixO3 or SrTi1-xZrxO3 solid solution via hydrothermal alkaline processing. Hence, this work systematically investigated the preparation of particles with different chemical compositions in the binary SrZrO3-SrTiO3 system in alkaline media (5 M KOH). The experiments were conducted at a standard temperature (200 °C), which is relatively low for rapidly dissolving the SrSO4 particles, and seemingly vertical agitation might provide an adequate dispersion of the mineral particles and precursor gels in the alkaline solvent solution during the treatment. Particular emphasis was on determining the effect of the precursor gels (Zr-gel and Ti-gel) dehydration capability on the particle crystallisation of both SrZr1-xTixO3 and SrTi1-xZrxO3 (SS). A detailed analysis was made to determine the stability of the tetragonal structure in the compositional 2.5 ≥ x ≤ 50.0 mol% of Ti4+ for the SrZr1-xTixO3 samples. The nanoparticle size and morphological differences were correlated with the dehydration capability of the gels.

2. Materials and Methods

2.1. Materials and preparation of Zr4+ and Ti4+ precursor gels

Reagent-grade zirconium IV (ZrCl4) and titanium IV (TiCl4) chlorides (Wako, Japan, 99.0% purity) were used for preparing the precursor gels. Initially, the transition metal precursor solutions were produced with a concentration of 0.43 M for ZrCl4 and TiCl4 with deionised water, following the procedure described elsewhere [20], respectively. A 500 ml liquor aliquot of each solution was poured into a glass beaker, and then the gels were precipitated by adding a volume of 150 ml of 5 M NaOH solution. Each gel was separated from the residual mother liquor by centrifugation. The thermogravimetry analysis determined the total weight loss of each gel, indicating that the chemical composition of the hydrous gels corresponds to Zr(OH)4•9.64H2O and Ti(OH)4•4.5H2O, respectively. The SrSO4 mineral (Celestite) crystals were previously grounded and pulverised to a particle size < 38 μm. The wet chemical analysis of the highly pure crystalline SrSO4 (1 g) revealed that the mineral is constituted by 46.61 wt% Sr, 1.33 wt% Ba, and 52.05 wt% SO42-, which correspond to 96.8 wt% SrSO4 and 2.25 wt% BaSO4, plus the following minor compounds were CaO (0.73 wt%), Fe2O3 (0.19 wt%), MnO (0.02 wt%) and Al2O3 (0.007 wt%). The alkaline reagent-grade chemical employed was KOH (Wako, Japan, 99.0% purity)

2.2. Hydrothermal treatments

Experiments aimed to determine the feasibility of producing stable SrZr1-xTixO3 and SrTi1-xZrxO3 and to elucidate the SS crystalline structural and microstructural features, which might vary due to transition metal gel dehydration process that occurs under alkaline stirring hydrothermal conditions. Therefore, the synthesis of the solid solutions in the binary SrZrO3–SrTiO3 system proceeded in the entire compositional range. However, a particular emphasis took place on the molar content of 1.0≥ x ≤0.5 of Zr4+ to investigate the tetragonal structure stability; this crystalline structure is predominant at temperatures lower than 400 °C [5,10]; thus, the compositions studied varied in a molar span of 2.5 mol% Zr4+. A SrSO4 powder sample (4.8 ± 0.05 g) was placed at the bottom of a Teflon test tube type chamber (500 ml volume), the amount of each gel was calculated according to the chemical formulas mentioned in section 2.1, and the stoichiometric Zr:Ti molar ratio 1-x:x, was then added. All the treatments were conducted at a constant volume (95 ml) of the 5 M KOH solution selected as a solvent media. The stainless-steel autoclave was sealed, and the vertical propel rotation set was at 130 rpm during the heating and soaking stages (Figure 1). The autoclave was then heated at a constant speed of 5 °C/min up to the selected temperature of 200 °C. The treatments were conducted at this temperature for 4 h. After treatment, the reaction products were separated from the remaining mother liquor and ultrasonically washed several times with hot water. Then, the powders were dried at 80 °C overnight.

2.2. Characterisation

Powder X-ray diffraction (PXRD). The analyses were conducted in a Rigaku Ultima IV diffractometer operated at 40 kV and 20 mA, using Cu-Kα radiation (λ = 1.54056 Å). XRD analyses were collected in the 2θ range of 5–80° at a constant scanning speed of 20 °/min with a 0.02° step. Rietveld refinement analyses were carried out on the PXRD patterns collected in the 2θ range of 15–130°, under standard conditions at a scanning speed of 0.01°/min and 0.002° step. The refinement calculations were performed using the TOPAS 4.2 software (Bruker AXS: Karlsruhe, Germany, 2009). The space group, and the atomic position (Wyckoff number and coordinates), correspond to the COD card No. 96-900-7150. Additional details associated with the Rietveld refinement analysis are in the supplementary supporting information file, Section S2.3.
Morphology and microstructural observation. The microstructural aspects of the produced particles were observed in a field emission scanning electron microscopy (JEOL JSM-7100F) equipped with a solid-state microprobe (EBSD, Bruker e-flash). Typical micrographs were observed with the microscope operated at 10 kV and a constant current of 69 μA. The particle size distribution was statistically determined from SEM images of 50 particles. Crystalline structural details of selected SrZr1-xTixO3 particles were revealed using high-resolution transmission electron (HR-TEM, Philips Titan 300) operated at 200 kV.
Differential scanning calorimetry analysis (DSC). The DSC technique was applied to determine the thermal behaviour of single Zr-gel and Ti-gel and some selected samples with varied Zr/Ti weight ratios. These analyses also revealed the differences in the dehydration behaviour of the Zr/Ti raw gel mixtures. Simultaneously, the gel sample weight variation was determined by thermogravimetric analysis. These analyses were carried out using a Perkin Elmer Pyris Diamond TG/DSC apparatus in the temperature range from 30 to 1000 °C. The heating rate selected for the thermal evaluation was 10 °C/min; all the treatments were conducted using an air atmosphere.

3. Results

3.1. Thermal stability of gel mixtures and Zr-gel and Ti-gel

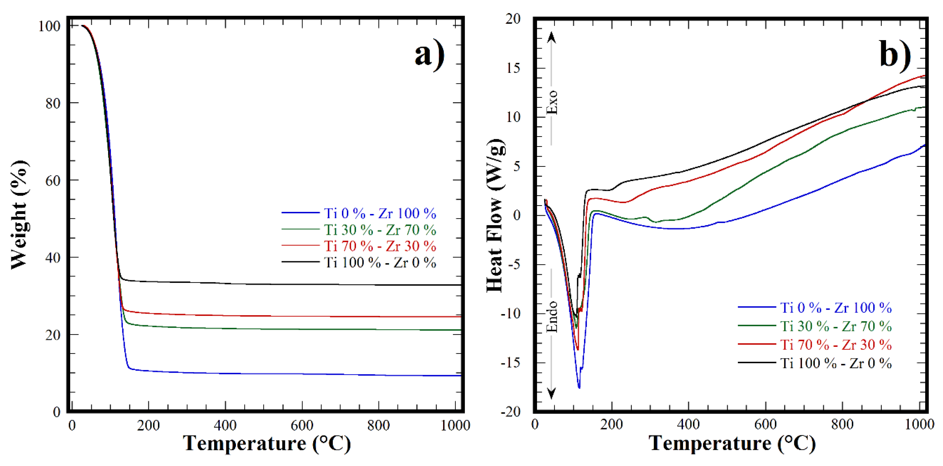
Thermogravimetry and DSC analyses were conducted to evaluate the thermal stability and structural changes of single pasty Zr-gel, Ti-gel and some selected gels mixtures containing different Zr/Ti ratios. These analyses aimed to determine the total weight loss monitored in the air atmosphere within the 30–1000 °C temperature range. The change in the weight of the gels is portrayed in Figure 2a. In general, the gels selected exhibited a remarkable weight loss above 50 °C, without further weight variation above 150 °C. Interestingly, the Zr pure gel had the most significant weight loss of approximately 90.93 wt%; in comparison with that observed for the Ti pure (67.2 wt%) and Zr/Ti (75.5–80.0 wt%) gel samples. According to the total amount of water that Zr and Ti pure gels released during the heat treatment, their chemical formulas are Zr(OH)4•9.64H2O and Ti(OH)4•4.5H2O, respectively.
Furthermore, the thermal behaviour of all the Zr-Ti gels observed in the DSC curves (Figure 2b) revealed an endothermic event in the temperature range from 45–150 °C. This event is irrespective of the pasty gel chemical composition; therefore, this peak correlates with the water molecules’ ultimate dehydration process. Above 200 °C, only a regular baseline variation was observed on all samples rather than the expected crystallisation events associated with the oxide formation on all the gels. Moreover, the differences in the dehydration degree determined might alter the bulk concentration of the alkaline fluid used during the hydrothermal treatments conducted under the standard hydrothermal conditions of 200 °C for 4 h under stirring. This agrees with the differences in the crystal growth of the SrZrO3 particles hydrothermally synthesised using a pasty Zr-gel and a previously dried amorphous Zr(OH)40 reported elsewhere [21].

3.2. Structural aspects of the hydrothermal synthesis of SrZr1-xTixO3 and SrTi1-xZrxO3 SS

Figure 3 shows the typical XRD patterns of selected powders produced under hydrothermal conditions at 200 °C for 4 h under constant stirring (130 rpm), varying the content of Ti4+ in the mixture. Generally, the single-step chemical reaction between the SrSO4 and the pasty gels is enhanced under stirring conditions, triggering the formation of a fine white powder, as confirmed in all treatments by naked-eye observations. When the Zr-gel was solely used as a precursor of the tetravalent metal perovskite, the peaks in the XRD pattern were indexed by those of the SrZrO3 perovskite with orthorhombic structure (ICDD 70-0283 space group Pbnm, Figure 3a). On the contrary, at Ti4+ contents over 10.0 mol%, new peaks located at 2θ angles of 32.25°, 39.7°, 45.8° and 56.9° were determined in the PXRD pattern, as seen in Figure 3a. To determine the formation pathway of the new compound, experiments were conducted with a Ti4+ compositional span variation of 2.5 mol% Ti4+. The new phase was formed under alkaline hydrothermal conditions in the Ti4+ compositional range between 7.5 and 47.5 mol% Ti4+, as depicted by the signal that appeared at 32.25° 2θ angle (see Figure 3b). It deserves emphasising that this peak exhibited a gradual shift toward higher 2θ angles coupled with peak intensity increment. These crystalline structural features are likely due to the Ti4+ gradual incorporation into the crystalline structure, and its bulk content produced over 7.5 mol% Ti4+ contents in the reaction media. Simultaneously, the central peak corresponding to the orthorhombic structured SrZrO3:Ti4+ (SS1) did not exhibit further compositional variations because it remained at a mean 2θ angle of 31.09°. Therefore, these results suggest that the chemical composition of this solid solution is SrZr0.925Ti0.075O3. However, the content of this stable phase was proportionally reduced by increasing the Ti4+ amount, as indicated by the progressive reduction of the orthorhombic phase peaks in the PXRD pattern (Figure 3a). Above 50.0 mol% Ti4+ peaks corresponding to a new secondary SS2 phase were obtained. Based on these structural results, we infer that the crystalline structure of the SS2 single-phase can be indexed with the cubic structured SrTiO3 perovskite (space group Pm3m, ICDD card no. 40-1500) because it agrees with the peaks distribution of the SrTiO3 single pattern. These results depict that the cubic perovskite SS2 crystalline phase is chemically stable under hydrothermal conditions in the compositional range of 7.5–100.0 mol% Ti4+. In addition, the powder crystallised without contaminant by-products, namely SrCO3, which is predominantly formed due to its low solubility in alkaline solutions [22]. Furthermore, a steady-state chemical reaction involving the solute saturation of the hydrothermal media is likely to proceed and trigger the simultaneous crystallisation of both crystalline compounds under fluid stirring [23].
The compositional variation suggested by the PXRD analyses was observed in the SS2 phase. Stoichiometric computation was carried out to determine the Ti4+ content incorporated in the cubic perovskite secondary SS2 phase and into the orthorhombic SS1; this procedure considered the nominal Ti4+ molar content added as a raw material. Likewise, the fraction of each solid solution that constitutes the ultimate powder produced was calculated by the expression [(1-x)SS1 + xSS2′] = 1, which depicts the quantitative variation in the phase content revealed by the diffraction patterns of Figure 3b. The typical Rietveld refined plots that correlate the quantitative stoichiometric computation abovementioned are shown in Figure 4. Interestingly, a minimal variation of the residual difference was also revealed in those samples exhibiting the formation of SS1 and SS2 perovskite phases. These results show that the calculated Zr4+:Ti4+ stoichiometric contents in the orthorhombic and cubic phases with Pbnm and Pm3m space groups highly fitted the atomic occupation in the Rietveld refinement algorithm. The algorithm ultimately computed the fraction content of each perovskite phase in the powder sample prepared with nominal molar Zr4+:Ti4+ ratios of (a) 92.5:7.5 (b) 75.0:25.0 and (c) 62.5:37.5, as it can be seen in Figure 4. Furthermore, the structural crystalline refinement approach also considered other fitting parameters such as background, thermal isotropy, lattice parameters, scale factor, profile half-width, crystallite size and local strain; the details regarding the atomic Wyckoff elemental spatial distribution are given in the supplementary supporting information file, which includes Table S1 that summarises the results of the crystalline structural refinement. This approach was adequate to fit the structural differences of the reaction products obtained after the hydrothermal reaction, which is depicted by both the low mean values of the goodness-of-fit factor (GOF, mean χ2 value of 3.48%) and Rwp = 3.26. It deserves to emphasise that the analyses confirmed that the orthorhombic and cubic crystalline perovskite particles were simultaneously formed under hydrothermal conditions employing the highly soluble SrSO4 powder and the mixture of Zr4+ and Ti4+ gels.
The variation in the content of both orthorhombic and cubic structured solid solutions, which were hydrothermally produced within the whole compositional range of the binary system SrZrO3-SrTiO3; using a KOH 5 M solution, is portrayed in Figure 5a. Generally, the formation of the new cubic perovskite phase (SS2′) occurred in the compositional range between 7.5 mol% and 47.5 mol% Ti4+. The quantitative analyses conducted on the nominal stoichiometric tetravalent metal compositions depict that the new cubic SS2′ phase reach in Zr4+ (SrZr1-xTixO3) exhibited a marked increase in its content when the Ti4+ concentration increased progressively in the solvent fluid. Interestingly, the variation in the bulk content of this phase likely resembles a typical sigmoidal kinetic behaviour. On the contrary, the residual content of the hydrothermally crystallised orthorhombic phase (SS1) powder proportionally decreased following a reverse sigmoidal behaviour. The simultaneous crystallisation of both perovskite phases is likely triggered under hydrothermal conditions because the continuous gel dehydration promotes a cooperative reaction steady state; thereby, a constant increase in the Ti4+ mass gradient provoked a rise in the cubic SS2′ single phase amount. This inference is supported by the fact that the Zr4+ atomic ratio in the SS2’ cubic phase exhibited a linear decrease, proportional to the rise of the Ti4+ content, as seen in Figure 5b.
Furthermore, the orthorhombic SS1 phase showed a slight reduction of 4.0 mol % in the amount of Zr4+ within the compositional range where both crystalline phases coexist in the binary system SrZrO3-SrTiO3. According to these compositional results, three chemical reaction equilibria drive the crystallisation of chemically stable perovskite SS in the hydrothermal system studied. These are included in the supplementary supporting information file.
Additionally, details on the crystalline unit cell, lattice parameters and volume cell, corresponding to the perovskite solid solutions, which were produced under hydrothermal conditions in a 5 M KOH solution at 200 °C for 4 h with a constant stirring speed of 130 rpm, are portrayed in the graphs in Figure 6. Generally, the lattice constants corresponding to the end members of the perovskite binary system SrZrO3-SrTiO3 are slightly higher in comparison with the values reported in Table S3 (SSFI) for the same compounds. Meanwhile, a marked continuous decrease of ‘‘a0”, “b0”, and “c0” parameters was determined in the orthorhombic solid solution (SS1, ●), with Pbnm space group, by increasing the Ti4+ content uptake in the resulting crystalline particles, as seen in Figure 6a. Likewise, the “a0” lattice parameter corresponding to the new cubic SS2′ and SS2 () constituents (space group Pm3m) exhibited a linear decrease within the Ti4+ compositional variation, which occurred within the ranges of 7.5 ≥ x ≤ 50.0 mol% Ti4+ and 50.0 ≥ x ≤ 100.0 mol% Ti4+, as seen in Figure 6a. In both cases, the variation determined for lattice parameter values of either orthorhombic or cubic perovskite structures agree with the systematic peak displacement determined in the X-ray results shown in Figure 3. Interestingly, all the lattice constants calculated exhibited a linear variation, which is depicted by the mean data dispersion coefficient R2 that varied between 0.912 and 0.987. This behaviour indicates a linear dependence of the structural parameters occurred by incorporating Ti4+ content in the orthorhombic and cubic structured perovskite compound produced under hydrothermal conditions. Furthermore, the linear variation of the lattice parameters agrees with Vegard’s law, despite two simultaneous perovskite-related compounds crystallising within the compositional range of 7.5 ≥ x ≤ 50.0 Ti4+ mol%. Therefore, in the context of the chemical composition, the processing approach investigated is devoted to determining the chemical reaction pathway related to the formation of stable perovskite solid solution compounds in the binary system SrZrO3-SrTiO3; the results suggest that a steady-state single-step reaction is triggered under stirring hydrothermal condition, preferentially crystallise two solid solutions at the B site of the perovskite SrZr1-xTiO3 with orthorhombic and cubic structures. The reaction pathway is likely controlled by the tetravalent metal gel dehydration process inherent to the proposed system.
In addition, a similar trend was observed for the lattice constants variation for the unit cell volume of the perovskite solid solutions. These values are portrayed in the plot shown in Figure 6b, and this plot also includes the unit cell volume values calculated for the SrTixZr1-xO3 (solid symbol) solid solutions prepared at 1400 °C for 96 h [8]; these data were included for comparison purposes. Some data are likely similar to those determined in our case, namely at Ti4+ contents above ≤ 90.0 mol%. The authors demonstrate that the formation of stable solid solution preferentially occurs within the entire compositional range of the system SrZrO3-SrTiO3, as depicted by the data plotted in Figure 6b. Exhaustive crystalline structural analyses conducted by neutron and synchrotron diffraction confirmed the dependence of the SS´s composition with the crystalline structural transformations, which leads to obtaining orthorhombic, tetragonal and cubic structures stable at specific Ti4+ contents incorporated into the SS SrTixZr1-xO3. Superlattice reflections revealed near 2θ = 33 and 41° (021 and 122/212 Miller indexes) corresponding to the orthorhombic structure were detected up to 40.0 mol% Ti4+; above this content, tetragonal structure predominates as sole phase produced at high temperature, the new reflection at 2θ ≈ 40° (121) confirmed the formation of SrTixZr1-xO3 SS that belongs to this structure, which predominates at the highest Ti4+ content of 90.0 mol% at low temperature [8].
Interestingly, the PXRD analyses conducted on the hydrothermally prepared specimens with Ti4+ contents between 7.5 mol% and 90.0 mol% did not reveal the superlattice peaks associated with the perovskite tetragonal structure, despite the observation of a similar variation trend on the unit cell volume of both reaction products with orthorhombic and cubic structures prepared here, compared with the continuous solid solutions obtained via solid-state reaction at high temperature [8]. We infer from these results that the Ti-gel dehydration yield plays an essential role in achieving a steady-state chemical reaction, which enhances a specific solute supersaturation stage that causes the simultaneous crystallisation of both phases. This process proceeds faster than the solid-state reaction producing a broad compositional series of solid solutions in the system SrZrO3–SrTiO3 [8].
On the other hand, according to the crystalline structural results calculated by Rietveld refinement given in the Table S3 of the SSI file, the minor structural differences revealed on the unit cell parameters in both perovskite compounds (orthorhombic and cubic) are caused by the variation in the Sr-O, Ti-O and Zr-O bond lengths. A systematic increase in the Ti-O bond length proportionally occurred by decreasing the Ti4+ content incorporated into the octahedral BO6 site in the cubic structured SS2, in the compositional range of 7.5 ≤ x ≤ 90 mol% Ti4+. Similarly, the Sr-O bond length is considerably affected, reaching a maximum value of 2.822 Å, which is remarkably more extensive than that for the cubic structured SrTiO3 single phase (2.769 (1) Å, as seen in Table S3). From these results, we surmise that this structural phenomenon maintains the cubic structured solid solution thermodynamically stable at low contents of Ti4+ below 50.0 mol%. This inference is supported by the fact that under solid-state reaction conditions, a series of intermediate tetragonal structured solid solutions were successfully formed in a shorter range of Ti4+ (40.0 ≤ x ≤ 90.0 mol% Ti4+). It deserves to emphasise that the tetragonal structure remains stable because it corresponds to the primitive cell of the orthorhombic structured perovskite. Therefore, this structural transformation is favoured by a slight structural tilt in the BO6 octahedra caused by the Ti4+ partial incorporation. This structural transformation is markedly provoked under solid-state reaction conditions at high temperatures [8]. Another factor that might cause the predominant formation of the SS2 solutions with cubic structure and their structural variations is associated with the processing conditions (reaction temperature and stirring speed), as suggested elsewhere [21]. This inference is likely supported by the marked differences determined for the lattice strain caused in the unit cell by the partial incorporation of Ti4+ in the cubic SS2′ SS. Large lattice strain values were calculated from the Rietveld refinements for the SS2′ SS prepared with Ti4+ contents between 7.5 and 50 mol% and are shown in Table S3 of the supplementary supporting information.

3.3. Particle morphology variation for the hydrothermally synthesised SrZr1-xTixO3 and SrTi1-xZrxO3 (SS)

Recently, the morphological habit features for SrZrO3 particles were elucidated; the hydrothermal treatments conducted without stirring in an alkaline media (5 M KOH) using the same reaction precursors resulted in the crystallisation of micron-sized (averaging 10 μm) SrZrO3 particles with cuboidal morphology [21]. On the contrary, our results depicted that continuous stirring (130 rpm) of the hydrothermal media remarkably improved the size reduction of the cuboidal-like SrZrO3 particles, which were produced free of reaction by-products, namely SrCO3, at 200 °C for 4 h. The monodispersed SrZrO3 particles had a unimodal particle size distribution with an average size of 3.8 μm, as seen in the inlet graph of Figure 7a. Under these conditions, the continuous agitation caused a homogeneous distribution of solute dissolved in the alkaline solvent.
On the contrary, a marked particle reduction occurred on the perovskite particles produced when the Ti4+ pasty gel was stoichiometrically introduced into the reaction system. Above Ti4+ contents of 5.0 mol%, the single phase SrZr0.95Ti0.05O3 powders exhibited a mean particle size of 141.2 nm. The morphology resembling cuboidal-shaped particles forming some irregularly shaped agglomerates, Figure 7b. Furthermore, the formation of a noticeable number of fine meso-crystals (average size 82.6 nm) with a pseudo cuboidal shape were formed together with a large amount of cubic-like shaped large particles having an average size of 175.5 nm, Figure 7c. It deserves to emphasise that these particles were formed using the content of 30 mol% Ti4+, and the FE-SEM observation agrees with the PXRD results which revealed the coexistence of two SrZr1-xTixO3 solutions with different Ti4+ content (Figure 3a). Likewise, the difference on the Zr(Lα) and Ti(Kα) peak intensities between the fine sized pseudo cuboidal and large cubic-like particles confirmed the variation on the bulk chemical composition of the SS1 and SS2′ (as seen in Figure S3b in SSI file). Based on the Rietveld refinement analyses, their chemical formulas correspond to SrZr0.9Ti0.1O3 and SrZr0.70Ti0.3O3, respectively.
The pseudocubic meso-crystals were formed preferentially under hydrothermal stirring conditions with Ti4+ contents over 50 mol%. Generally, the new pseudocubic-shaped meso-crystals were monodispersed and exhibited a unimodal size distribution with an average size of 172.2 nm. Furthermore, the single-phase SrZr0.5Ti0.5O3 (SS2) cubic structured meso-crystals were likely formed from tiny particles self-assembled via a 3D hierarchical architecture; this assumption was inferred from the roughness surface of the meso-crystals shown in Figure 7d. Additionally, the FE-SEM observations conducted on the hydrothermally produced single phase SrTiO3 meso-crystals (see Figure 7e), allowed to infer that these meso-crystals underwent a crystallisation process analogous to that observed on samples containing low contents of Ti4+ up to 50.0 mol%. Thus, the meso-crystals solely prepared with Ti(OH)40 gel had a slight reduction in their particle size, which averaged 147.5 nm. According to the experimental results, it can be inferred that the chemical compositional variation in the crystalline phases produced (SS1, SS2′ and SS2) and the particle coarsening differences are strongly dependent on the Ti(OH)40 gel content variation in the hydrothermal treatments conducted under vigorous agitation. Details of the crystallisation mechanism and its correlation with the precursor gels (Zr(OH)40 and Ti(OH)40) are discussed in the following section 3.4.

3.4. Crystallisation of SrZr1-xTixO3 and SrTi1-xZrxO3 meso-crystals under alkaline hydrothermal conditions

HR-TEM observations and compositional EDS analyses systematically investigated the crystallisation process for both SrZr1-xTixO3 and SrTi1-xZrxO3 promoted under hydrothermal treatment conducted with vigorous fluid agitation, according to the differences in morphology revealed by the FE-SEM analyses (Figure 7, and Figure S4 in the SSI), the growth process of the meso-crystals depends on the Ti(OH)40 gel. This inference is supported by the remarkable reduction of either Zr4+ rich orthorhombic or cubic structured particles preferentially formed on the hydrothermal treatments conducted with compositional variations between 7.5 mol to 50.0 mol% of Ti4+. Indeed, some of the present authors reported the differences in the chemical reactivity of metal transition hydroxide gels in the alkaline hydrothermal media [20,21]. It deserves to emphasise that the crystallisation of cuboidal-shaped SrZrO3 particles rapidly occurred using powders of SrSO4 and Zr(OH)40 dried gel in a 5 M KOH solution at 240 °C for 24 h, in comparison with an analogous reaction system employing a Zr(OH)40 coprecipitated gel. The pasty hydroxide gel undergoes a dehydration process that markedly hinders the SrSO4 dissolution; consequently, the bulk solute saturation proceeded slowly, triggering the nucleation of flower-shaped SrZrO3 crystals. These crystals grew epitaxially along the [111] direction, resulting in large particles (mean size of 60 μm) for reaction intervals of 96 h [21].
By these results, we infer that the vigorous fluid agitation accelerated the SrSO4 dissolution and the pasty Zr(OH)40 gel dehydration, consequently triggering a rapid solute supersaturation within 4 h at a relatively low temperature of 200 °C, which rapidly provoked the crystallisation of SrZrO3 cuboidal-shaped monodispersed crystals. The structural details determined by the TEM diffraction spot image indicated that the hydrothermally prepared SrZrO3 crystals are single crystals in nature (Figure 8a). In contrast, the HR-TEM images depicted their high crystallinity, as confirmed by the 2D finger lattice atomic distribution. Interestingly, the observation conducted at the crystal edge in areas exhibiting SrZrO3 fine particles grown on the surface indicated that the micron-sized SrZrO3 single crystals grew epitaxially along the direction of the plane (112) that, corresponding to the lattice plane distance of 2.895 Å of the orthorhombic structure (card ICDD 70-0283). However, the dissolution-crystallisation mechanism provoked the SS1 and SS2 perovskite structured particles, irrespective of the Ti(OH)4•4.5H2O gel content. Likewise, the reactivity of the Zr(OH)40 precursor gel seemingly proceeded faster when compared with the sample prepared solely with Zr(OH)4•9.64H2O. The bulk alkalinity of the solvent fluid remains high when the Ti4+ concentration varies because the alkalinity reduction caused by the large water content released by the Zr(OH)4•9.64H2O dissolution is progressively hindered. Therefore, a specific reaction steady-state reaction is reached, triggering an accelerated solute supersaturation state that results in a fast crystallisation of orthorhombic (SS1) and cubic (SS2′), or solely the SS2 meso-crystals. Consequently, the primary crystal growth is hindered, as revealed by the HR-TEM micrographs taken for single-phase SrZr0.5Ti0.5O3 and SrTiO3 fine particles shown in Figure 8b and Figure 8c, respectively. These images also revealed features regarding the self-assembly process for primary anhedral nanosized crystals (20–45 nm), which proceeds along the {011} crystallographic planes of the cubic structure. We surmise that their surface facets favour the fine crystals assembly with (011) indexes, seemingly exhibiting low surface energy, allowing them to coalesce rapidly.
Consequently, the 3D hierarchical assembly produces highly crystalline agglomerates with pseudocubic morphology. This inference is supported by 2D finger lattice atomic distribution images and FFT diffraction patterns, as shown in Figure 8b,c. These results revealed that the single-phase cubic structured SrZr0.5Ti0.5O3 and SrTiO3 primary crystals grew along (011) planes and subsequently coalesced to form the nanosized (140 – 175 nm) meso-crystals agglomerates, which exhibited single crystal areas as revealed by the FFT diffraction patterns. Interestingly, the 3D assembly process irrespectively proceeded by varying the Ti4+ content in the 7.5–100 mol% range. According to these results, we inferred that under hydrothermal conditions, the continuous vigorous stirring of the alkaline fluid triggered a homogeneous dispersion of the raw precursors (SrSO4 powder and the mixture of the pasty gel species), yielding a controlled dissolution-crystallisation reaction carried out in a single step to synthesise various perovskite solid solution in the binary system SrZrO3–SrTiO3. Indeed, the proposed soft chemistry process is faster than that even conducted under highly alkaline 5 M NaOH fluid to produce SrZrO3 without stirring under hydrothermal conditions [21].

4. Conclusions

A systematic analysis of the formation of powders with varying contents of Zr4+ and Ti4+ ions was satisfactorily conducted in the binary system SrZrO3–SrTiO3. Various SrZr1-xTixO3 and SrTi1-xZrxO3 solid solutions were rapidly crystallised under hydrothermal conditions at 200 °C for the shortest 4 h interval, with vigorous stirring (130 rpm) of the 5 M KOH solution. These conditions triggered the dissolution of low-grade powdered ore (SrSO4) coupled with the mixture of hydrous Zr4+ and Ti4+ coprecipitated gels. The stable orthorhombic perovskite single phase (SrZr1-xTixO3) incorporated a maximum content of Ti4+ of 7.5 mol%, while two different phases with orthorhombic (SS1) and cubic (SS2′) structures, corresponding to SrZr1-xTixO3, were preferentially crystalised by varying the Ti4+ concentration between 7.5 to 47.5 mol% Ti4+. The single phase of SrTi1-xZrxO3 with cubic structure was predominantly crystallised at higher contents, over 50.0 mol% Ti4+. The synthesis of broadly selected particles with various compositions in the binary system SrZrO3–SrTiO3 was triggered by a massive dissolution–crystallisation mechanism of ionic species under alkaline hydrothermal conditions. However, this mechanism was affected by the partial decrease in the solvent alkalinity caused by the bulk water release during the dissolution of Zr(OH)4•9.64H2O rather than the SrSO4 powder or Ti(OH)4•4.5H2O precursors. This process favoured a specific steady-state chemical reaction, triggering an optimum solute saturation that achieved simultaneous SS1 and SS2′ fine particle crystallisation.
The slow dissolution of the Zr-gel enhanced a remarkable growth of the SrZrO3 particles exhibiting a cuboidal-shaped morphology and unimodal particle size distribution with a mean size of 3.8 μm. However, the particle crystallisation was rapidly triggered by adding the Ti-gel to the hydrothermal system, causing a remarkable particle size reduction for the intermediate orthorhombic (SS1) and cubic (SS2′) structured solid solutions crystallised. The meso-crystals particle sizes varied between 141.0–175.5 nm and exhibited a pseudo cubic morphology; these particles were formed by the spontaneous self-assembly of primary anhedral crystals with dimensions fluctuating between 10.0 nm to 20.0 nm. The 3D hierarchical assembly process preferentially occurred along the cubic crystallographic planes {011}, forming pseudocubic-shaped agglomerates. The meso-crystals corresponding to Ti4+-rich perovskite solid solutions were produced via the same assembly process. Hence, these results suggest the potential application of the hydrothermal processing method employed in this work for processing other inorganic perovskite binary systems to tailor specific chemical compositions with enhanced functional properties.

Author Contributions

Conceptualization, J.C.R.A.; methodology and experiments J.C.R.A. and Z.M.V.; data analyses, J.R.Q.G. and Z.M.V.; writing—original draft preparation, J.C.R.A., J.L.C.; writing—review and editing, J.C.R.A., J.L.C. and R.P.G.; supervision, J.C.R.A and J.L.C.; funding acquisition, J.C.R.A and K.Y. All authors have read and agreed with the published version.

Funding

A part of this research was supported by federal research budget (C-3000-2019) of the Centre for Research and Advanced Studies of the NPI.

Data Availability Statement

The data supporting this study’s findings are available from the corresponding author upon reasonable request.

Acknowledgments

J.C.R.-A.; Z.M.-V.; J.L.-C and R.P.-G. are indebted to CONACYT-SNI. J.R.Q.-G is indebted to the PhD scholarship from CONACYT. Many thanks are also given to Dr Miguel Angel Aguilar-González and MSc Felipe de Jesus Marquez-Torres at the Center for Research and Advanced Studies for the NPI for their assistance on the FE-SEM and HR-TEM observations, respectively.

Conflicts of Interest

The authors declare no conflict of interest.

References

  1. Bera, J.; Rout, S.K. SrTiO3–SrZrO3 solid solution: Phase formation kinetics and mechanism through solid-oxide reaction. Mater. Res. Bull. 2005, 40, 1187–1193. [Google Scholar] [CrossRef]
  2. Vasala, S.; Karppinen., M. A2B’B’’O6 perovskites: A review. Prog. Solid State Chem. 2015, 43, 1–36. [Google Scholar] [CrossRef]
  3. Benedek, N.A.; Fennie, C.J. Why are there so few perovskite ferroelectrics? J. Phys. Chem. C. 2013, 117, 13339–13349. [Google Scholar] [CrossRef]
  4. McKnight, R.E.A.; Kennedy, B.J.; Zhou, Q. Carpenter, MA Elastic anomalies associated with transformation sequences in perovskites: II. The strontium zirconate–titanate Sr(Zr,Ti)O3 solid solution series. J. Phys.: Condens. Matter. 2009, 21, 015902. [Google Scholar] [CrossRef]
  5. Yang, Y.; Luo, S.; Dong, F.; Ding, Y.; Li, X. Synthesis of High-Phase Purity SrTi1–xZrxO3 Ceramics by Sol-Spray Pyrolysis Method. Mater. Manuf. Processes. 2015, 30, 585–590. [Google Scholar] [CrossRef]
  6. Parida, S.; Rout, S.K.; Gupta, N.; Gupta, V.R. Solubility limits and microwave dielectric properties of Ca(ZrxTi1-x)O3 solid solution. J. Alloys Compd. 2013, 546, 216–223. [Google Scholar] [CrossRef]
  7. Chen, C.; Wei, Y.; Chen, D.; Jiao, X. SrTi1−xZrxO3 uniform particles: Low-temperature synthesis, characterisation and sintered properties. J. Mater. Process. Technol. 2008, 205, 432–438. [Google Scholar] [CrossRef]
  8. Wong, T.K.-Y.; Kennedy, B.J.; Howard, C.J.; Hunter, B.A.; Vogt, T. Crystal structures and phase transitions in the SrTiO3-SrZrO3 solid solution. J. Solid State Chem. 2001, 156, 255–263. [Google Scholar] [CrossRef]
  9. Shende, R.V.; Krueger, D.S.; Rossetti, G.A.; Lombardo, S.J. Strontium zirconate and strontium titanate ceramics for high-voltage applications: Synthesis, processing, and dielectric properties. J. Am. Ceram. Soc. 2001, 84, 1648–1650. [Google Scholar] [CrossRef]
  10. Wu, Z.; Cao, M.; Yu, H.; Yao, Z.; Luo, D.; Liu, H. The microstructures and dielectric properties of xSrZrO3–(1−x)SrTiO3 ceramics. J. Electroceram 2008, 21, 210–213. [Google Scholar] [CrossRef]
  11. Zhang, Z.; Koppensteiner, J.; Schranz, W. Carpenter, MA Anelastic loss behaviour of mobile microstructures in SrZr1−xTixO3 perovskites. J. Phys.: Condens. Matter 2010, 22, 295401. [Google Scholar] [CrossRef]
  12. Christen, H.M.; Knauss, L.A.; Harshavardhan, K.S. Field-dependent dielectric permittivity of paraelectric superlattice structures. Mater. Sci. Eng. B. 1998, 56, 200–203. [Google Scholar] [CrossRef]
  13. Yugami, H.; Iguchi, F.; Naito, H. Structural properties of SrCeO3 /SrZrO3 proton conducting superlattices. Solid State Ionics 2000, 136–137, 203–207. [Google Scholar] [CrossRef]
  14. Longo, V.M.; Cavalcante, L.S.; Costa, M.G.S.; Moreira, M.L.; De Figueiredo, A.T.; Andrés, J.; Varela, J.A.; Longo, E. First principles calculations on the origin of violet-blue and green light photoluminescence emission in SrZrO3 and SrTiO3 perovskites. Theor. Chem. Acc. 2009, 124, 385–394. [Google Scholar] [CrossRef]
  15. Celik, G.; Cabuk, S. First-principles study of electronic structure and optical properties of Sr(Ti,Zr)O3. Cent. Eur. J. Phys 2013, 11, 387–393. [Google Scholar] [CrossRef]
  16. Khunrattanaphon, P.; Chavadej, S.; Sreethawong, T. Synthesis and application of novel mesoporous-assembled SrTixZr1−xO3-based nanocrystal photocatalysts for azo dye degradation. Chem. Eng. J. 2011, 170, 292–307. [Google Scholar] [CrossRef]
  17. Kalyani, V.; Vasile, B.S.; Ianculescu, A.; Buscaglia, M. T.; Buscaglia, V.; Nanni, P. Hydrothermal synthesis of SrTiO3 mesocrystals: single crystal to mesocrystal transformation induced by topochemical reactions. Cryst. Growth Des. 2012, 12, 4450–4456. [Google Scholar] [CrossRef]
  18. Huang, S.T.; Lee, W.W.; Chang, J.L.; Huang, W.S.; Chou, S.Y.; Chen, C.C. Hydrothermal synthesis of SrTiO3 nanocubes: Characterisation, photocatalytic activities, and degradation pathway. J. Taiwan Inst. Chem. Eng. 2014, 45, 1927–1936. [Google Scholar] [CrossRef]
  19. Kalyani, V.; Vasile, B.S.; Ianculescu, A.; Testino, A.; Carino, A.; Buscaglia, M. T.; Buscaglia, V.; Nanni, P. Hydrothermal synthesis of SrTiO3: role of interfaces. Cryst. Growth Des. 2015, 15, 5712–5725. [Google Scholar] [CrossRef]
  20. Rangel-Hernandez, Y.M.; Rendón-Angeles, J.C.; Matamoros-Veloza, Z.; Pech-Canul, M.I.; Diaz-de la Torre, S.; Yanagisawa, K. One-step synthesis of fine SrTiO3 particles using SrSO4 ore under alkaline hydrothermal conditions. Chem. Eng. J. 2009, 155, 483–492 http://dx. [Google Scholar] [CrossRef]
  21. Quiñones-Gurrola, J.R.; Rendón-Angeles, J.C.; Matamoros-Veloza, Z.; Rodríguez-Galicia, J.L.; Yanagisawa, K. Rapid one-step preparation of SrZrO3 using Zr4+ gel and SrSO4 ore under alkaline hydrothermal conditions, Bol. Soc. Esp. Cerám. Vidr. 2023; in press. [Google Scholar] [CrossRef]
  22. Mourão, H.A.J.L.; Lopes, O.F.; Ribeiro, C.; Mastelaro, V.R. Rapid hydrothermal synthesis and pH-dependent photocatalysis of strontium titanate microspheres. Mater. Sci. Semicond. Process. 2105, 30, 651–657. [Google Scholar] [CrossRef]
  23. Rendón-Angeles, J.C.; Matamoros-Veloza, Z.; Gonzalez, L.A.; López-Cuevas, J.; Ueda, T.; Yanagisawa, K.; Hernández-Calderón, I.; Garcia-Rocha, M. Rapid hydrothermal synthesis of SrMo1-xWxO4 powders: Structure and luminescence characterization. Advanced Powder Technology 2017, 28, 629–640. [Google Scholar] [CrossRef]
Figure 1. Scheme of the stainless-steel vessel accoupled with a vertical stirring propel and internal Teflon liner tube with a capacity of 500 ml.
Figure 1. Scheme of the stainless-steel vessel accoupled with a vertical stirring propel and internal Teflon liner tube with a capacity of 500 ml.
Preprints 78737 g001
Figure 2. a) Weight lost variation and b) thermal behaviour of the precursor Zr-Ti gels determined by DSC in air atmosphere up to 1000 °C.
Figure 2. a) Weight lost variation and b) thermal behaviour of the precursor Zr-Ti gels determined by DSC in air atmosphere up to 1000 °C.
Preprints 78737 g002
Figure 3. (a,b) X-ray diffraction patterns of the products obtained hydrothermally by treating celestite powders with various molar contents of pasty Zr(OH)4•9.64H2O and Ti(OH)4•4.5H2O gels, with a solvent (5 M KOH) volume filling ratio of 20 % at 200 °C for 4 h. Perovskite single phases: (●) Orthorhombic SrZrO3, and (▼) Cubic SrTiO3.
Figure 3. (a,b) X-ray diffraction patterns of the products obtained hydrothermally by treating celestite powders with various molar contents of pasty Zr(OH)4•9.64H2O and Ti(OH)4•4.5H2O gels, with a solvent (5 M KOH) volume filling ratio of 20 % at 200 °C for 4 h. Perovskite single phases: (●) Orthorhombic SrZrO3, and (▼) Cubic SrTiO3.
Preprints 78737 g003
Figure 4. Rietveld refinement plots of products obtained hydrothermally using celestite powders mixed with different metal precursor gels in molar ratios of (a) 92.5:7.5, (b) 75.0:25.0 and (c) 62.5:37.5 mol% Zr4+:Ti4+, with a solvent (5 M KOH) volume filling ratio of 20 % at 200 °C for 4 h. Perovskite single phases (●) Orthorhombic and (▼) Cubic.
Figure 4. Rietveld refinement plots of products obtained hydrothermally using celestite powders mixed with different metal precursor gels in molar ratios of (a) 92.5:7.5, (b) 75.0:25.0 and (c) 62.5:37.5 mol% Zr4+:Ti4+, with a solvent (5 M KOH) volume filling ratio of 20 % at 200 °C for 4 h. Perovskite single phases (●) Orthorhombic and (▼) Cubic.
Preprints 78737 g004
Figure 5. (a) Kinetic curves related to the variation of the solid solution contents, and (b) change in the Zr4+ molar fraction in both the orthorhombic and cubic perovskite solid solutions within the whole compositional range of the binary system SrZrO3-SrTiO3.
Figure 5. (a) Kinetic curves related to the variation of the solid solution contents, and (b) change in the Zr4+ molar fraction in both the orthorhombic and cubic perovskite solid solutions within the whole compositional range of the binary system SrZrO3-SrTiO3.
Preprints 78737 g005
Figure 6. Variation of the crystalline structural parameters for the orthorhombic (SS1) and cubic (SS2′ and SS2) perovskite structured solid solutions prepared under hydrothermal conditions at 200 °C for 4 h with stirring at 130 rpm. (a) Unit cell lattice parameters and (b) unit cell volume. Unit cell values of SrZr1-xTixO3 and SrTi1-xZrxO3 solid solutions produced at a high temperature within the entire compositional range of the binary system SrZrO3–SrTiO3; data taken from [8].
Figure 6. Variation of the crystalline structural parameters for the orthorhombic (SS1) and cubic (SS2′ and SS2) perovskite structured solid solutions prepared under hydrothermal conditions at 200 °C for 4 h with stirring at 130 rpm. (a) Unit cell lattice parameters and (b) unit cell volume. Unit cell values of SrZr1-xTixO3 and SrTi1-xZrxO3 solid solutions produced at a high temperature within the entire compositional range of the binary system SrZrO3–SrTiO3; data taken from [8].
Preprints 78737 g006
Figure 7. FE-SEM micrographs of the particles of the SrZr1-xTixO3 and SrTi1-xZrxO3 solid solutions, obtained under dynamic hydrothermal conditions at 200 °C in a reaction medium of 5 M KOH for a reaction time of 4 h, using SrSO4 and different ratios of Zr and Ti gels (Zr(OH)4•9.64H2O, Ti(OH)4•4.5H2O). a) SrZrO3, (b) 5.0 mol% Ti4+, (c) 30.0 mol% Ti4+, (d) 50.0 mol% Ti and (e) SrTiO3.
Figure 7. FE-SEM micrographs of the particles of the SrZr1-xTixO3 and SrTi1-xZrxO3 solid solutions, obtained under dynamic hydrothermal conditions at 200 °C in a reaction medium of 5 M KOH for a reaction time of 4 h, using SrSO4 and different ratios of Zr and Ti gels (Zr(OH)4•9.64H2O, Ti(OH)4•4.5H2O). a) SrZrO3, (b) 5.0 mol% Ti4+, (c) 30.0 mol% Ti4+, (d) 50.0 mol% Ti and (e) SrTiO3.
Preprints 78737 g007
Figure 8. TEM micrographs of the SS SrZr1-xTixO3 and SrTi1-xZrxO3 particles, obtained under hydrothermal conditions at 200 °C in a 5 M KOH for 4 h. The images correspond to single-phase samples of a) SrZrO3, b) SrZr0.5Ti0.5O3 and c) SrTiO3.
Figure 8. TEM micrographs of the SS SrZr1-xTixO3 and SrTi1-xZrxO3 particles, obtained under hydrothermal conditions at 200 °C in a 5 M KOH for 4 h. The images correspond to single-phase samples of a) SrZrO3, b) SrZr0.5Ti0.5O3 and c) SrTiO3.
Preprints 78737 g008
Disclaimer/Publisher’s Note: The statements, opinions and data contained in all publications are solely those of the individual author(s) and contributor(s) and not of MDPI and/or the editor(s). MDPI and/or the editor(s) disclaim responsibility for any injury to people or property resulting from any ideas, methods, instructions or products referred to in the content.
Copyright: This open access article is published under a Creative Commons CC BY 4.0 license, which permit the free download, distribution, and reuse, provided that the author and preprint are cited in any reuse.
Prerpints.org logo

Preprints.org is a free preprint server supported by MDPI in Basel, Switzerland.

Subscribe

Disclaimer

Terms of Use

Privacy Policy

Privacy Settings

© 2026 MDPI (Basel, Switzerland) unless otherwise stated