Submitted:
26 June 2023
Posted:
26 June 2023
You are already at the latest version
Abstract
Keywords:
1. Introduction
2. The influence of the NS EoS on the stripping time
2.1. The NS inspiral stage
2.2. The stable mass transfer stage
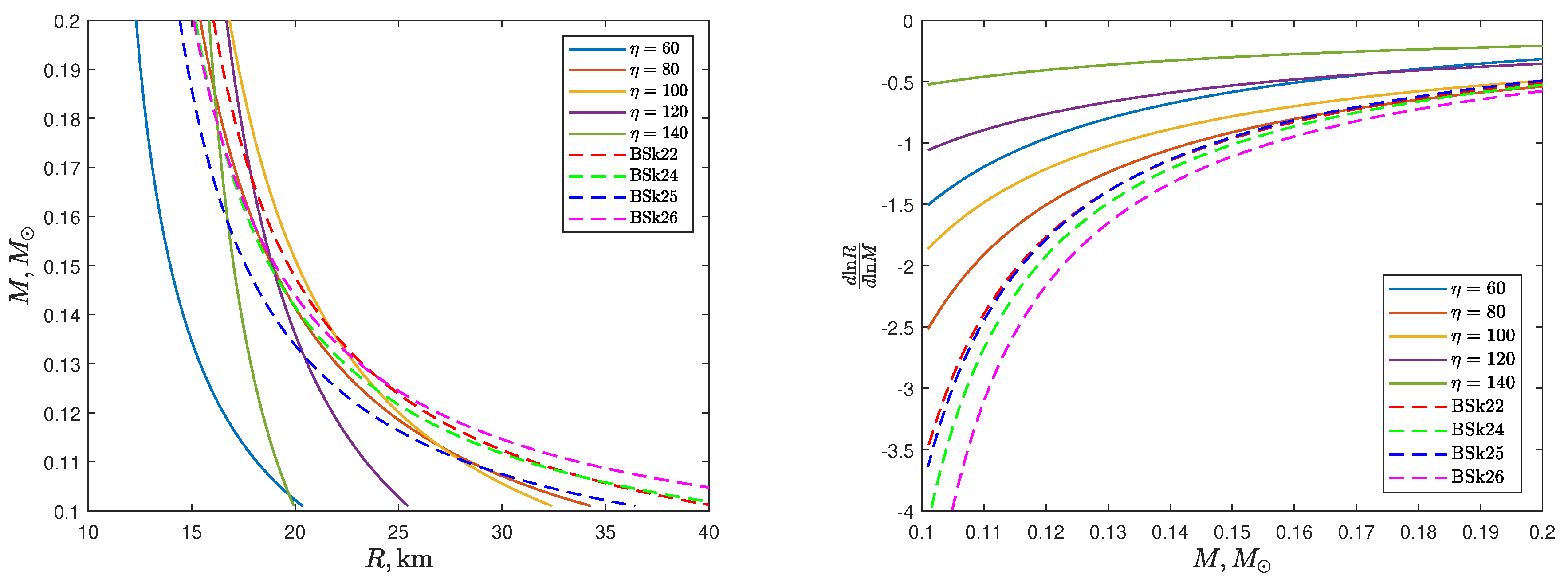
2.3. The NS EoS in the low-mass region

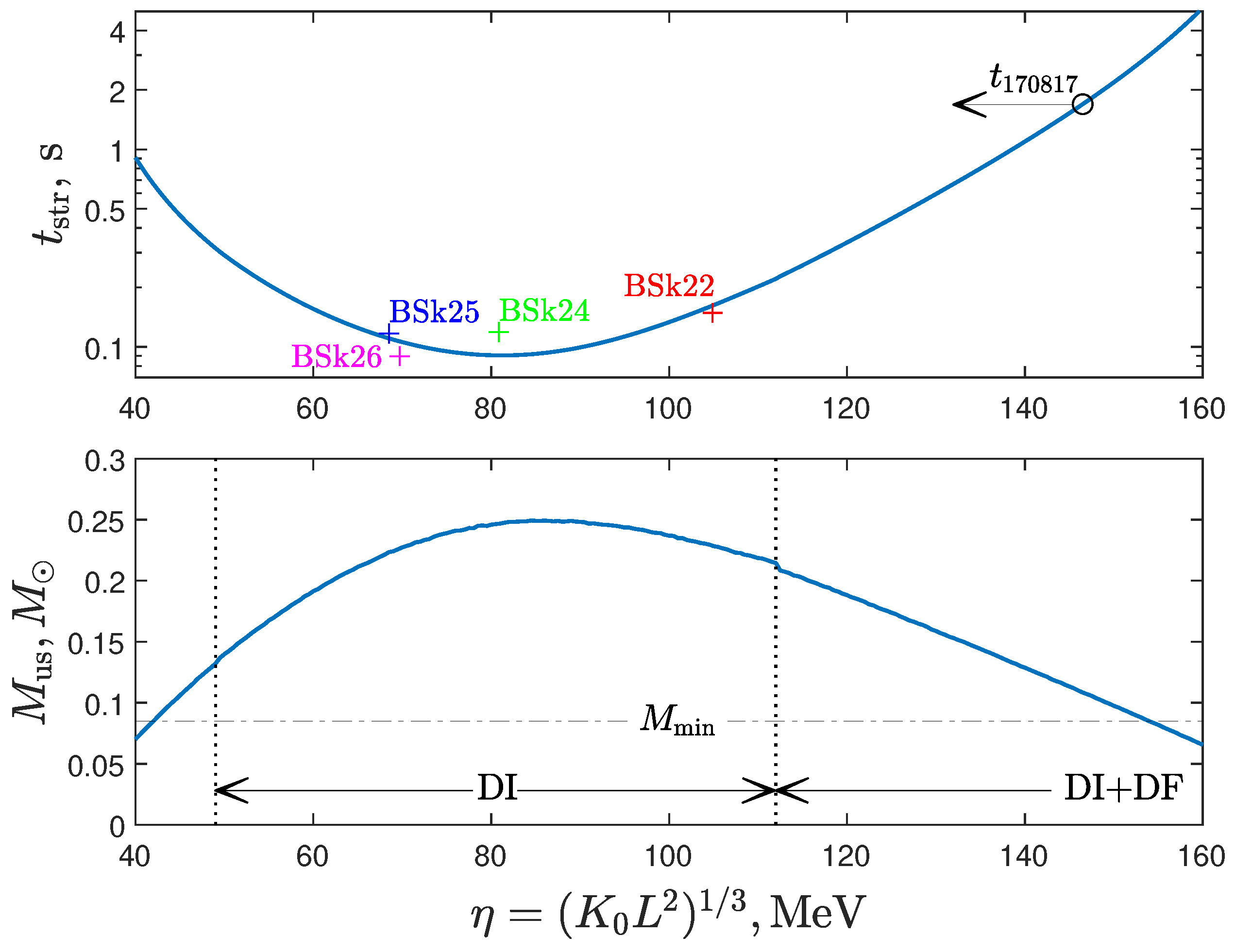
2.4. The nuclear parameters and the stripping time
3. r-process during the LMNS explosion
3.1. On the influence of the EoS on the results of nucleosynthesis
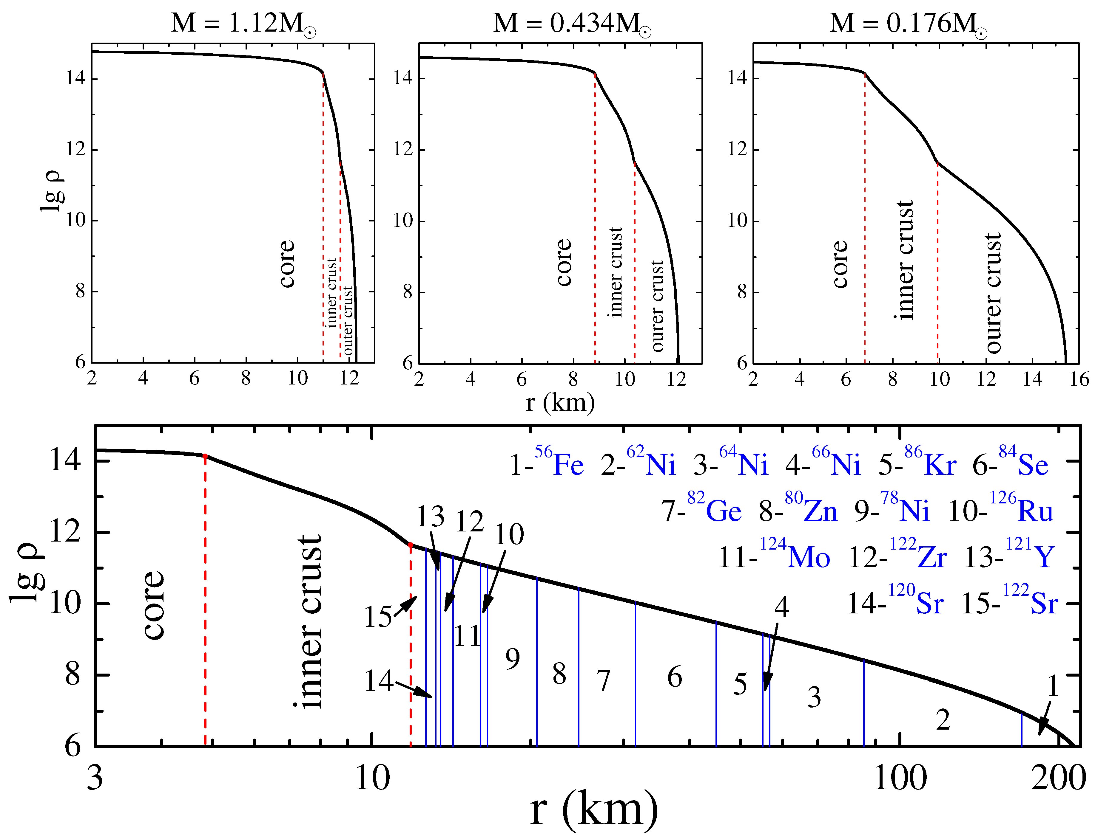
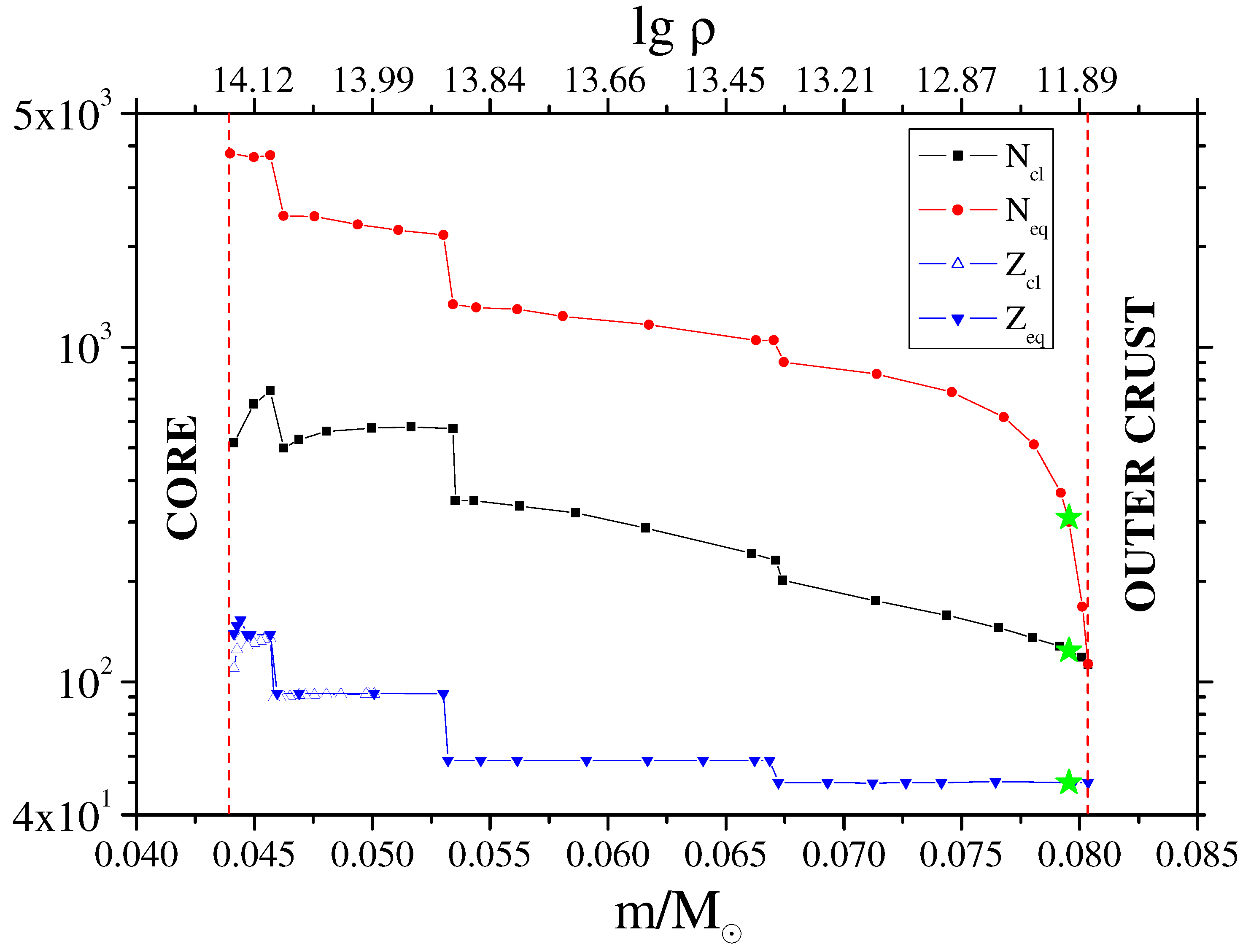
3.2. Nucleosynthesis in the inner crust
3.3. The influence of beta decay rates
4. Discussion and conclusions
Author Contributions
Funding
Conflicts of Interest
Abbreviations
| GRB | Gamma-Ray Burst |
| GW | Gravitational Wave |
| NS | Neutron Star |
| LMNS | Low-Mass NS |
| BH | Black Hole |
| EoS | Equation of State |
References
- Clark, J.P.A.; Eardley, D.M. Evolution of close neutron star binaries. The Astrophysical Journal 1977, 215, 311–322. doi:10.1086/155360. [CrossRef]
- Blinnikov, S.I.; Novikov, I.D.; Perevodchikova, T.V.; Polnarev, A.G. Exploding Neutron Stars in Close Binaries. Soviet Astronomy Letters 1984, 10, 177–179, [arXiv:astro-ph.HE/1808.05287].
- Eichler, D.; Livio, M.; Piran, T.; Schramm, D.N. Nucleosynthesis, neutrino bursts and γ-rays from coalescing neutron stars. Nature 1989, 340, 126–128. doi:10.1038/340126a0. [CrossRef]
- Narayan, R.; Paczynski, B.; Piran, T. Gamma-Ray Bursts as the Death Throes of Massive Binary Stars. The Astrophysical Journal Letters 1992, 395, L83, [arXiv:astro-ph/astro-ph/9204001]. doi:10.1086/186493. [CrossRef]
- Li, L.X.; Paczyński, B. Transient Events from Neutron Star Mergers. The Astrophysical Journal 1998, 507, L59–L62, [arXiv:astro-ph/astro-ph/9807272]. doi:10.1086/311680. [CrossRef]
- Metzger, B.D.; Martínez-Pinedo, G.; Darbha, S.; Quataert, E.; Arcones, A.; Kasen, D.; Thomas, R.; Nugent, P.; Panov, I.V.; Zinner, N.T. Electromagnetic counterparts of compact object mergers powered by the radioactive decay of r-process nuclei. Monthly Notices of Royal Astronomical Society 2010, 406, 2650–2662, [arXiv:astro-ph.HE/1001.5029]. doi:10.1111/j.1365-2966.2010.16864.x. [CrossRef]
- Abbott, B.P.; Abbott, R.; Abbott, T.D.; Acernese, F.; Ackley, K.; others. Multi-messenger Observations of a Binary Neutron Star Merger. The Astrophysical Journal Letters 2017, 848, L12, [arXiv:astro-ph.HE/1710.05833]. doi:10.3847/2041-8213/aa91c9. [CrossRef]
- Abbott, B.P.; Abbott, R.; Abbott, T.D.; Acernese, F.; Ackley, K.; others. Gravitational Waves and Gamma-Rays from a Binary Neutron Star Merger: GW170817 and GRB 170817A. The Astrophysical Journal Letters 2017, 848, L13, [arXiv:astro-ph.HE/1710.05834]. doi:10.3847/2041-8213/aa920c. [CrossRef]
- Villar, V.A.; Guillochon, J.; Berger, E.; Metzger, B.D.; Cowperthwaite, P.S.; Nicholl, M.; Alexander, K.D.; Blanchard, P.K.; Chornock, R.; Eftekhari, T.; Fong, W.; Margutti, R.; Williams, P.K.G. The Combined Ultraviolet, Optical, and Near-infrared Light Curves of the Kilonova Associated with the Binary Neutron Star Merger GW170817: Unified Data Set, Analytic Models, and Physical Implications. The Astrophysical Journal Letters 2017, 851, L21, [arXiv:astro-ph.HE/1710.11576]. doi:10.3847/2041-8213/aa9c84. [CrossRef]
- Abbott, B.P.; Abbott, R.; Abbott, T.D.; Acernese, F.; Ackley, K.; others. Properties of the Binary Neutron Star Merger GW170817. Physical Review X 2019, 9, 011001, [arXiv:gr-qc/1805.11579]. doi:10.1103/PhysRevX.9.011001. [CrossRef]
- Faber, J.A.; Rasio, F.A. Binary Neutron Star Mergers. Living Reviews in Relativity 2012, 15, 8, [arXiv:gr-qc/1204.3858]. doi:10.12942/lrr-2012-8. [CrossRef]
- Baiotti, L.; Rezzolla, L. Binary neutron star mergers: a review of Einstein’s richest laboratory. Reports on Progress in Physics 2017, 80, 096901, [arXiv:gr-qc/1607.03540]. doi:10.1088/1361-6633/aa67bb. [CrossRef]
- Metzger, B.D. Kilonovae. Living Reviews in Relativity 2019, 23, 1, [arXiv:astro-ph.HE/1910.01617]. doi:10.1007/s41114-019-0024-0. [CrossRef]
- Nakar, E. Short-hard gamma-ray bursts. Physics Reports 2007, 442, 166–236, [arXiv:astro-ph/astro-ph/0701748]. doi:10.1016/j.physrep.2007.02.005. [CrossRef]
- Lee, W.H.; Ramirez-Ruiz, E. The progenitors of short gamma-ray bursts. New Journal of Physics 2007, 9, 17, [arXiv:astro-ph/astro-ph/0701874]. doi:10.1088/1367-2630/9/1/017. [CrossRef]
- Murguia-Berthier, A.; Montes, G.; Ramirez-Ruiz, E.; De Colle, F.; Lee, W.H. Necessary Conditions for Short Gamma-Ray Burst Production in Binary Neutron Star Mergers. The Astrophysical Journal Letters 2014, 788, L8, [arXiv:astro-ph.HE/1404.0383]. doi:10.1088/2041-8205/788/1/L8. [CrossRef]
- Kramarev, N.; Yudin, A. Accretion spin-up of the massive component in the neutron star stripping model for short gamma-ray bursts. submitted to MNRAS 2023, [arXiv:astro-ph.SR/arXiv:2306.10088].
- Haensel, P.; Potekhin, A.Y.; Yakovlev, D.G. Neutron Stars 1 : Equation of State and Structure; Vol. 326, 2007.
- Blinnikov, S.I.; Imshennik, V.S.; Nadezhin, D.K.; Novikov, I.D.; Perevodchikova, T.V.; others. Explosion of a Low-Mass Neutron Star. Soviet Astronomy 1990, 34, 595.
- Panov, I.V.; Yudin, A.V. Production of Heavy Elements during the Explosion of a Low-Mass Neutron Star in a Close Binary. Astronomy Letters 2020, 46, 518–527, [arXiv:nucl-th/2011.14892]. doi:10.1134/S1063773720080034. [CrossRef]
- Yip, C.M.; Chu, M.C.; Leung, S.C.; Lin, L.M. R-process nucleosynthesis of low-mass neutron star explosions. arXiv e-prints 2022, p. arXiv:2211.14023, [arXiv:astro-ph.HE/2211.14023]. doi:10.48550/arXiv.2211.14023. [CrossRef]
- Blinnikov, S.I.; Nadyozhin, D.K.; Kramarev, N.I.; Yudin, A.V. Neutron Star Mergers and Gamma-Ray Bursts: Stripping Model. Astronomy Reports 2021, 65, 385–391, [2105.07425]. doi:10.1134/S1063772921050012. [CrossRef]
- Blinnikov, S.; Yudin, A.; Kramarev, N.; Potashov, M. Stripping Model for Short Gamma-Ray Bursts in Neutron Star Mergers. Particles 2022, 5, 198–209. doi:10.3390/particles5020018. [CrossRef]
- Pearson, J.M.; Chamel, N.; Potekhin, A.Y.; Fantina, A.F.; Ducoin, C.; Dutta, A.K.; Goriely, S. Unified equations of state for cold non-accreting neutron stars with Brussels-Montreal functionals - I. Role of symmetry energy. Monthly Notices of the Royal Astronomical Society 2018, 481, 2994–3026, [arXiv:astro-ph.HE/1903.04981]. doi:10.1093/mnras/sty2413. [CrossRef]
- Yudin, A.V. Explosion of a Minimum-Mass Neutron Star within Relativistic Hydrodynamics. Astronomy Letters 2022, 48, 311–320, [arXiv:astro-ph.HE/2208.11514]. doi:10.1134/S106377372206007X. [CrossRef]
- Kowalska, I.; Bulik, T.; Belczynski, K.; Dominik, M.; Gondek-Rosinska, D. The eccentricity distribution of compact binaries. Astronomy and Astrophysics 2011, 527, A70, [arXiv:astro-ph.CO/1010.0511]. doi:10.1051/0004-6361/201015777. [CrossRef]
- Lenon, A.K.; Nitz, A.H.; Brown, D.A. Measuring the eccentricity of GW170817 and GW190425. Monthly Notices of the Royal Astronomical Society 2020, 497, 1966–1971, [arXiv:astro-ph.HE/2005.14146]. doi:10.1093/mnras/staa2120. [CrossRef]
- Paczyński, B. Gravitational Waves and the Evolution of Close Binaries. Acta Astronomica 1967, 17, 287.
- Zahn, J.P. Tidal friction in close binary systems. Astronomy and Astrophysics 1977, 57, 383–394.
- Eggleton, P.P. Aproximations to the radii of Roche lobes. The Astrophysical Journal 1983, 268, 368–369. doi:10.1086/160960. [CrossRef]
- Kramarev, N.; Yudin, A. Dynamics of direct impact accretion in degenerate binary systems. Monthly Notices of the Royal Astronomical Society 2023, 522, 626–634, [arXiv:astro-ph.SR/2210.12700]. doi:10.1093/mnras/stad1018. [CrossRef]
- Lubow, S.H.; Shu, F.H. Gas dynamics of semidetached binaries. Astrophysical Journal 1975, 198, 383–405. doi:10.1086/153614. [CrossRef]
- Sotani, H.; Iida, K.; Oyamatsu, K.; Ohnishi, A. Mass and radius formulas for low-mass neutron stars. Progress of Theoretical and Experimental Physics 2014, 2014, 051E01, [arXiv:astro-ph.HE/1401.0161]. doi:10.1093/ptep/ptu052. [CrossRef]
- Lattimer, J.M. The Nuclear Equation of State and Neutron Star Masses. Annual Review of Nuclear and Particle Science 2012, 62, 485–515, [arXiv:nucl-th/1305.3510]. doi:10.1146/annurev-nucl-102711-095018. [CrossRef]
- Reed, B.T.; Fattoyev, F.J.; Horowitz, C.J.; Piekarewicz, J. Implications of PREX-2 on the Equation of State of Neutron-Rich Matter. Physical Review Letters 2021, 126, 172503, [arXiv:nucl-th/2101.03193]. doi:10.1103/PhysRevLett.126.172503. [CrossRef]
- Horowitz, C.J.; Piekarewicz, J. Neutron Star Structure and the Neutron Radius of 208Pb. Physical Review Letters 2001, 86, 5647–5650, [arXiv:astro-ph/astro-ph/0010227]. doi:10.1103/PhysRevLett.86.5647. [CrossRef]
- Essick, R.; Landry, P.; Schwenk, A.; Tews, I. Detailed examination of astrophysical constraints on the symmetry energy and the neutron skin of 208Pb with minimal modeling assumptions. Physical Review C 2021, 104, 065804, [arXiv:nucl-th/2107.05528]. doi:10.1103/PhysRevC.104.065804. [CrossRef]
- Machleidt, R.; Entem, D.R. Chiral effective field theory and nuclear forces. Physics Reports 2011, 503, 1–75, [arXiv:nucl-th/1105.2919]. doi:10.1016/j.physrep.2011.02.001. [CrossRef]
- Stone, J.R.; Stone, N.J.; Moszkowski, S.A. Incompressibility in finite nuclei and nuclear matter. Physical Review C 2014, 89, 044316, [arXiv:nucl-th/1404.0744]. doi:10.1103/PhysRevC.89.044316. [CrossRef]
- Xu, J.; Xie, W.J.; Li, B.A. Bayesian inference of nuclear symmetry energy from measured and imagined neutron skin thickness in 116,118,120,122,124,130,132Sn, 208Pb, and 48Ca. Physical Review C 2020, 102, 044316, [arXiv:nucl-th/2007.07669]. doi:10.1103/PhysRevC.102.044316. [CrossRef]
- Baillot d’Etivaux, N.; Guillot, S.; Margueron, J.; Webb, N.; Catelan, M.; Reisenegger, A. New Constraints on the Nuclear Equation of State from the Thermal Emission of Neutron Stars in Quiescent Low-mass X-Ray Binaries. The Astrophysical Journal 2019, 887, 48, [arXiv:astro-ph.HE/1905.01081]. doi:10.3847/1538-4357/ab4f6c. [CrossRef]
- Lim, Y.; Holt, J.W. Bayesian modeling of the nuclear equation of state for neutron star tidal deformabilities and GW170817. European Physical Journal A 2019, 55, 209, [arXiv:nucl-th/1902.05502]. doi:10.1140/epja/i2019-12917-9. [CrossRef]
- Panov, I.V.; Yudin, A.V. Synthesis of “Light” Heavy Elements upon the Explosion of a Low-Mass Neutron Star. Physics of Atomic Nuclei 2023, 86, 1–8. doi:10.1134/S106377882301043X. [CrossRef]
- Goriely, S.; Chamel, N.; Pearson, J.M. Further explorations of Skyrme-Hartree-Fock-Bogoliubov mass formulas. XIII. The 2012 atomic mass evaluation and the symmetry coefficient. Physical Review C 2013, 88, 024308. doi:10.1103/PhysRevC.88.024308. [CrossRef]
- M., W.; Audi, G.; A. H., W.; F. G., K.; MacCormick, M.; Xu, X.; Pfeiffer, B. The Ame2012 atomic mass evaluation. Chinese Physics C 2012, 36, 003. doi:10.1088/1674-1137/36/12/003. [CrossRef]
- Radice, D.; Perego, A.; Hotokezaka, K.; Fromm, S.A.; Bernuzzi, S.; Roberts, L.F. Binary Neutron Star Mergers: Mass Ejection, Electromagnetic Counterparts, and Nucleosynthesis. The Astrophysical Journal 2018, 869, 130, [arXiv:astro-ph.HE/1809.11161]. doi:10.3847/1538-4357/aaf054. [CrossRef]
- Panov, I.V.; Kolbe, E.; Pfeiffer, B.; Rauscher, T.; Kratz, K.L.; Thielemann, F.K. Calculations of fission rates for r-process nucleosynthesis. Nuclear Physics A 2005, 747, 633–654, [arXiv:astro-ph/astro-ph/0412654]. doi:10.1016/j.nuclphysa.2004.09.115. [CrossRef]
- Panov, I.V. What Path the r-Process Takes: Extreme Cases and Comparison with Observations. Astronomy Letters 2003, 29, 163–169. doi:10.1134/1.1558155. [CrossRef]
- Panov, I.V.; Lutostansky, Y.S. Nucleosynthesis-Rate Dependence of Abundances of Nuclei Produced in the r-Process. Physics of Atomic Nuclei 2020, 83, 613–620. doi:10.1134/S1063778820040171. [CrossRef]
- Marketin, T.; Huther, L.; Martínez-Pinedo, G. Large-scale evaluation of β -decay rates of r -process nuclei with the inclusion of first-forbidden transitions. Physical Review C 2016, 93, 025805, [arXiv:nucl-th/1507.07442]. doi:10.1103/PhysRevC.93.025805. [CrossRef]
- Ney, E.M.; Engel, J.; Li, T.; Schunck, N. Global description of β- decay with the axially deformed Skyrme finite-amplitude method: Extension to odd-mass and odd-odd nuclei. Physical Review C 2020, 102, 034326, [arXiv:nucl-th/2005.12883]. doi:10.1103/PhysRevC.102.034326. [CrossRef]
- Borzov, I.N. Beta-decay rates. Nuclear Physics A 2006, 777, 645–675. doi:10.1016/j.nuclphysa.2005.05.147. [CrossRef]
- Borzov, I.N. Global Calculations of Beta-Decay Properties Based on the Fayans Functional. Physics of Atomic Nuclei 2020, 83, 700–713. doi:10.1134/S1063778820050087. [CrossRef]
- Möller, P.; Pfeiffer, B.; Kratz, K.L. New calculations of gross β-decay properties for astrophysical applications: Speeding-up the classical r process. Physical Review C 2003, 67, 055802. doi:10.1103/PhysRevC.67.055802. [CrossRef]
- Panov, I.V. Use of Global Predictions for Beta-Decay Rates in Astrophysical Models. Physics of Atomic Nuclei 2023, 86, 173–180. doi:10.1134/S1063778823020163. [CrossRef]
- Eichler, M.; Arcones, A.; Kelic, A.; Korobkin, O.; Langanke, K.; Marketin, T.; Martinez-Pinedo, G.; Panov, I.; Rauscher, T.; Rosswog, S.; Winteler, C.; Zinner, N.T.; Thielemann, F.K. The Role of Fission in Neutron Star Mergers and Its Impact on the r-Process Peaks. The Astrophysical Journal 2015, 808, 30, [arXiv:astro-ph.HE/1411.0974]. doi:10.1088/0004-637X/808/1/30. [CrossRef]
- Cowan, J.J.; Sneden, C.; Lawler, J.E.; Aprahamian, A.; Wiescher, M.; Langanke, K.; Martínez-Pinedo, G.; Thielemann, F.K. Origin of the heaviest elements: The rapid neutron-capture process. Reviews of Modern Physics 2021, 93, 015002, [arXiv:astro-ph.HE/1901.01410]. doi:10.1103/RevModPhys.93.015002. [CrossRef]









| № | Composition | |||||||||||
| BSk22 | BSk25 | BSk22 | BSk25 | BSk22 | BSk25 | BSk22 | BSk25 | BSk22 | BSk25 | BSk22 | BSk25 | |
| 18 | Sr | - | 0.98 | - | 11.64 | - | 0.297 | - | 0.88 | - | 0.88 | - |
| 17 | Sr | - | 1.19 | - | 11.60 | - | 0.302 | - | 1.25 | - | 2.13 | - |
| 16 | Sr | - | 1.39 | - | 11.56 | - | 0.306 | - | 0.80 | - | 2.93 | - |
| 15 | Sr | Sr | 1.62 | 8.63 | 11.49 | 11.59 | 0.311 | 0.311 | 3.60 | 2.64 | 6.53 | 2.64 |
| 14 | Y | Sr | 1.96 | 10.01 | 11.38 | 11.52 | 0.322 | 0.317 | 1.60 | 1.90 | 8.13 | 4.54 |
| 13 | Zr | Y | 2.17 | - | 11.31 | - | 0.328 | 0.322 | 1.48 | 1.10 | 9.61 | 5.64 |
| 12 | Mo | Zr | 2.59 | 10.57 | 11.20 | 11.39 | 0.339 | 0.328 | 3.87 | 2.20 | 13.48 | 7.84 |
| 11 | Ni | Mo | 3.19 | 11.44 | 11.01 | 11.24 | 0.350 | 0.339 | 4.95 | 4.10 | 18.43 | 11.94 |
| 10 | Ni | Ru | 3.80 | - | 10.84 | - | 0.359 | 0.349 | 1.74 | 1.05 | 20.17 | 12.99 |
| 9 | Ni | Ni | 4.27 | 13.76 | 10.74 | 10.88 | 0.368 | 0.359 | 4.92 | 7.00 | 25.09 | 19.99 |
| 8 | - | Zn | - | 14.74 | - | 10.58 | - | 0.375 | - | 5.10 | - | 25.09 |
| model | Before decompression | After decompression | |||||||
| Z | A | evaporated n | |||||||
| 50 | 174 | 186 | 22 | 50 | 152 | 0.00278 | 0.578 | 0.139 | |
| 50 | 174 | 186 | 0 | 54 | 174 | 0.00278 | 0.517 | 0.150 | |
Disclaimer/Publisher’s Note: The statements, opinions and data contained in all publications are solely those of the individual author(s) and contributor(s) and not of MDPI and/or the editor(s). MDPI and/or the editor(s) disclaim responsibility for any injury to people or property resulting from any ideas, methods, instructions or products referred to in the content. |
© 2023 by the authors. Licensee MDPI, Basel, Switzerland. This article is an open access article distributed under the terms and conditions of the Creative Commons Attribution (CC BY) license (http://creativecommons.org/licenses/by/4.0/).
