Submitted:
29 May 2023
Posted:
30 May 2023
You are already at the latest version
Abstract

Keywords:
1. Introduction
2. Materials and Methods
2.1. First outdoor pot experiment
2.2. Second outdoor pot experiment
2.3. Field experiments
2.4. Statistical Analyses
3. Results
3.1. First outdoor pot experiment
3.2. Second outdoor pot experiment
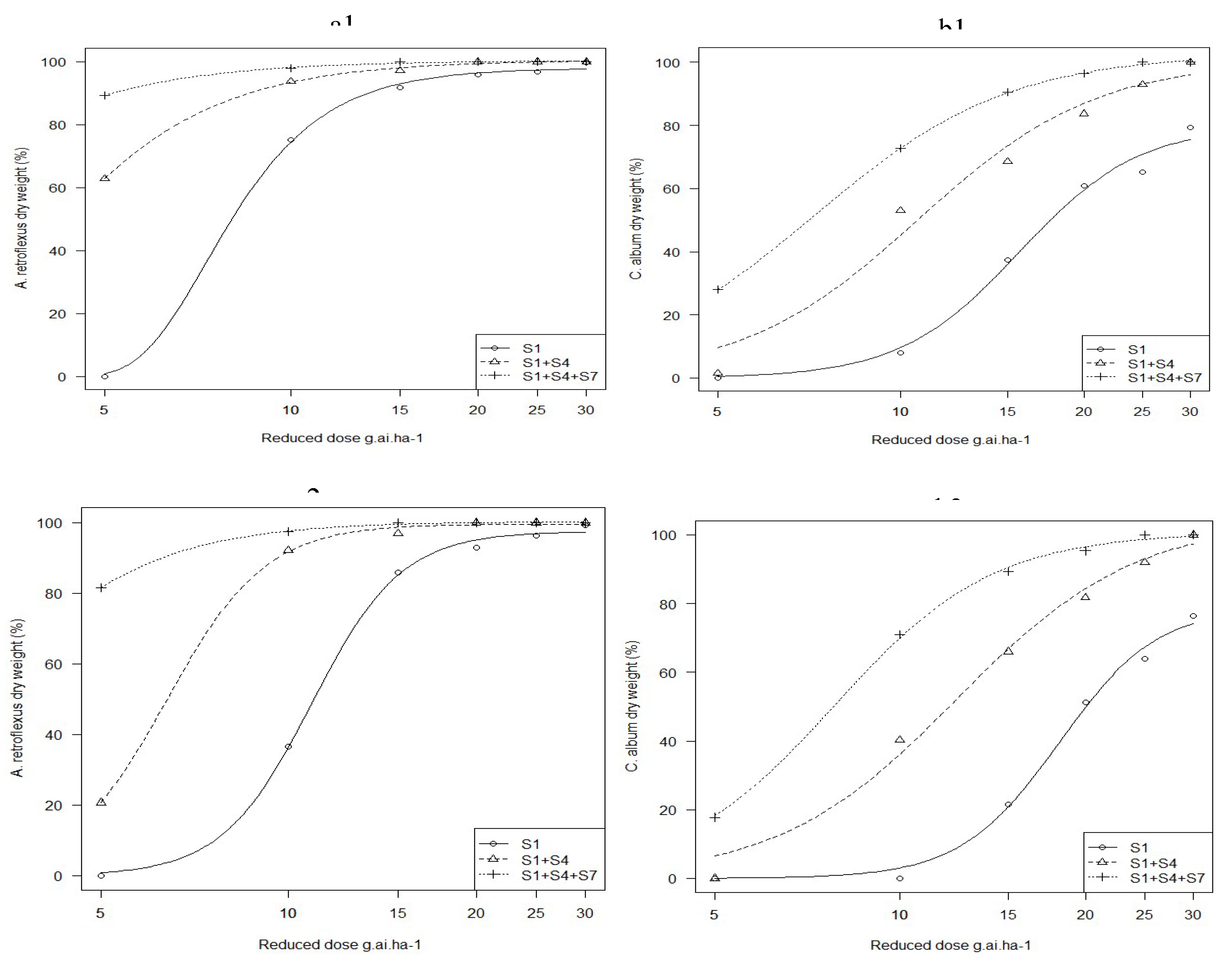
3.3. Field experiments
4. Discussion
5. Conclusions
Author Contributions
Funding Information
Data Availability Statement
Acknowledgments
Conflicts of Interest
References
- Zarzecka, K.; Gugała, M.; Zarzecka, M. Potato as a good source of nutrients. Postępy Fitoterapii. 2013, 3,191-194. (In Polish).
- FAO, 2021. WWW.FAOSTATE.com.
- Chauhan, B.S. Grand challenges in weed management. Front Agron. 2020. 1,1-4. [CrossRef]
- Mehring, G.H.; Stenger, J.E.; Hatterman-Valenti, H.M. Weed control with cover crops in irrigated potatoes. Agronomy. 2016, 6, 1-11.
- Cocozza, C.; Abdeldaym, E.A.; Brunetti, G.; Nigro, F.; Traversa, A. Synergistic effect of organic and inorganic fertilization on the soil inoculum density of the soilborne pathogens Verticillium dahliae and Phytophthora spp. under open-field conditions. Chem. Biol. Technol. Agric. 2021, 8, 1–11. [CrossRef]
- Bhullar, M.S.; Kaur, S.; Kaur, T.; Jhala, A.J. Integrated weed management in potato using straw mulch and atrazine. Hort. Tech. 2015. 25(3):335–339.
- Hasaninasab Farzane, R.; Alebrahim, M.T.; Mohebodini, M.; Samadi Kalkhoran, E. The effect of dose and application time of EPTC on potato weed control. J. of Crop Product. 2018, 11(4): 41-54 (In Persian with English summary).
- Alebrahim, M.T.; Majd, R.; Rashed Mohassel, M.H.; Wilkakson, S.; Baghestani, M.A.; Ghorbani, R.; Kudsk, P. Evaluating the efficacy of pre and post-emergence herbicides for controlling Amaranthus retroflexus L. and Chenopodium album L. in potato. Crop Protec. 2012, 42: 345- 350. [CrossRef]
- Azadbakht, A.; Alebrahim, M.T.; Ghavidel. A. The effect of chemical and nonchemical control methods on weeds in potato (Solanum tuberosum L.) Cultivation in Ardabil province, Iran. Appl. Ecol. Environ. Res. 2017, 15(4),1359–1372. [CrossRef]
- Samadi Kalkhoran, E.; Alebrahim, M.T.; Mohammaddust Chamn Abad, H.R.; Streibig, J.C.; Ghavidel, A.; Tseng, TMP. The joint action of some broadleaf herbicides on potato (Solanum tuberosum L.) weeds and photosynthetic performance of potato. Agriculture. 2021, 11(11):1103. [CrossRef]
- Robinson, D.K.; Monks, D.W.; Monaco, T.J. Potato (Solanum tuberosum L.) tolerance and susceptibility of eight weeds to rimsulfuron with and without metribuzin. Weed Technology, 1996, 10, 29-34. [CrossRef]
- Alebrahim, M.T.; Samadi Kalkhoran, E. The effect of reduced doses of Trifluralin on control of Common Lamsquarters (Chenopodium album L.) and Redroot Pigweed (Amaranthus retroflexus L.) in potato (Solanum tuberosum L.) fields. J. of Crop Ecophys. 2017, 1(41),179-196 (In Persian with English summary).
- Alebrahim, M.T.; Samadi Kalkhoran, E.; Tseng, T.M.P. Joint Action of Herbicides on Weeds an Their Risk assessment on earthworm (Eisenia fetida L.). IntechOpen. 2022. [CrossRef]
- Eberlein, C.V.; Al-Khatib, K.M.; Guttieri, J.; Fuerst, E.P. Distribution and characteristics of triazine-resistant Powell amaranth (Amaranthus powellii) in Idaho. Weed Sci. 1992, 40, 507-512. [CrossRef]
- Eleftherohorinos, I.G.; Vasilakoglou, I.B.; Dhima, K.V. Metribuzin Resistance in Amaranthus retroflexus and Chenopodium album in Greece. Weed Sci. 2000, 48(1), 69-74. [CrossRef]
- Lu, H.; Yu, Q.; Han, H.; Owen, M.J.; Powles, S.B. Metribuzin resistance in a Wild Radish (Raphanus raphanistrum) population via both psbA gene mutation and enhanced metabolism. J. Agric. Food Chem. 2019, 6, 67(5):1353-1359. [CrossRef]
- Ma, H.; Lu, H.; Han, H.; Yu, Q.; Powles, S. Metribuzin resistance via enhanced metabolism in a multiple herbicide resistant Lolium rigidum population. Pest Manag. Sci. 2020, 76(11), 3785-3791. Epub 2020 Jun 17. [CrossRef]
- Arsenault, W.J.; Ivany, J.A. Response of several potato cultivars to metribuzin and diquat. Crop Protect, 2001, 20, 547-552. [CrossRef]
- Dayan, F.E.; Barker, A.; Takano, H.; Bough, R., Ortiz, M., Duke, S.O. Herbicide mechanisms of action and resistance. In: Murray MY (ed) Comprehensive Biotechnology, 3rd edn. Elsevier, Amsterdam, 2019. pp 36–48. [CrossRef]
- Tonks, D.J.; Eberlein, C.V. Postemergence weed control rimsulfuron and various adjuvants in potato (Solanum tuberosum). Weed Technol. 2001, 15,613- 616. [CrossRef]
- Alebrahim, M.T.; Majd, R.; Abdollahi, F.; Zangoueinejad, R.; Dayan, F.E.; Mathiassen, S.K.; Kudsk, P. Absorption and metabolism of foliar-applied rimsulfuron in potato (Solanum tuberosum L.), Common Lambsquarters (Chenopodium album L.) and Redroot Pigweed (Amaranthus retroflexus L.). Potato Res. 2021. [CrossRef]
- Samadi Kalkhoran, E.; Alebrahim, M.T. The Evaluation of oxadiargyl on weed control of potato (Solanum tuberosum L.) at different growth stages. J. of Plant Protec, 2016, 30(3), 426-440 (In Persian with English summary).
- Mehdizadeh, M.; Alebrahim, M.T. Effect of some adjuvants application on enhancing sulfosulfuron herbicide performance on Phalaris minor— Poaceae. Azarian J. of Agri. 2015, 2(1), 7-11.
- Green, J.M.; Beestman, G.B. Recently patented and commercialized formulation and adjuvant technology. Crop Protec, 2007, 26(3), 320-327. [CrossRef]
- Mathiassen, S.K.; Kudsk, P. 2002. The influence of adjuvants on the efficacy and rainfastness of iodosulfuron. In: Proceedings of the 12th EWRS Symposium (Arnhem, The Netherlands, 24-27 June 2002. European Weed Research Society, Doorwerth, the Netherlands, 206-207.
- Pannacci, E.; Mathiassen, S.K.; Kudsk, P. Effect of adjuvants on the rainfastness and performance of tribenuron-methyl on broad-leaved weeds. Weed biology and Management, 2010, 10, 126-131. [CrossRef]
- Cunha, J.; Alves, G. Características físico-químicas de soluções aquosas com adjuvantes de uso agrícola. Interciencia. 2009, 34,655-659.
- Kudsk, P. 2008. Optimizing herbicide dose: a straightforward approach to reduce the risk of side effects of herbicides. Environmentalist, 28, 49–55. [CrossRef]
- Hutchinson , P.J.S.; Eberlin, C.V.; Tonks, D.J. Broadleaf weed control and potato crop safety with postemergence rimsulfuron, metribuzin, and adjuvant combinations. Weed Technol. 2004, 18 (3), 750-756. [CrossRef]
- Pacanoski, Z. Herbicides and adjuvants. In: Herbicides Physiology Action and Safety. Injury and Grass Control. 2015. [CrossRef]
- Kudsk, P.; Mathiasse, S.K.; Kristensen, J. The rainfastness of five sulfonylurea herbicides on Sinapis alba L. Mededelingen van de Faculteit Landbouwwetenschappen, Rijksuniversiteit Gent. 1989, 54,327-332.
- Molin, W.T.; Hirase, K. Effects of surfactants and simulated rainfall on the efficacy of the Engame formulation of glyphosate in Johnson grass, prickly sida and yellow nutsedge. Weed Biol. Manag. 2005, 5, 123-127.
- Rashed-Mohassel, M.H.; Aliverdi, A.; Ghorbani, R. Effects of a magnetic field and adjuvant in the efficacy of cycloxydim and clodinafop-propargyl on the control of wild oat (Avena fatua). Weed Biol Manag. 2009, 9, 300-306.
- Hammami, H.; Rashed Mohassel, M.H.; Aliverdi, A. Surfactant and rainfall influenced clodinafop-propargyl efficacy to control wild oat (Avena ludoviciana Durieu.). Austrian J. of Crop Sci. 2011, 5(1),39-43.
- Meier, U.; Bleiholder, H.; Buhr, L.; Feller, C.; Hack, H.; Heb, M.; Lancashire, P.D.; Schnock, U.; Reinhold, S.; Boom, T.V.D.; Weber, E.; Zwerger, P. The BBCH system to coding the phenological growth stages of plants – history and publications – Journal fur Kulturpflanzen, 2009, 61 (2), 41–52. [CrossRef]
- R Core Team. A language and environment for statistical computing. R Foundation for Statistical Computing. Vienna, Austria. 2020. URL. http://WWW.R-project .org/.
- Streibig, J.C.; Rudemo, M.; Jensen, E.J. Dose-response curves and statistical models. In: Herbicide Bioassay (ed. By streibig J. C. and P. Kudsk). 1993. CRC Press, Boca Raton, FL, 29-55.
- Pannacci, E.; Covarelli, G. Efficacy of mesotrione used at reduced doses for post-emergence weed control in maize (Zea mays L.). Crop Protec, 2009, 28, 57–61. [CrossRef]
- Curran, W.S.; McGlamery, M.D.; Liebl, R.A.; Lingenfelter, D.D. Adjuvants for enhancing herbicide performance. Agronomy Facts 37. Pennsylvania, PA. 2015. http://cropsoil.psu.edu/extension/facts/uc106.pdf 2015: The Pennsylvania State University University Park.
- Tonks, D.J.; Eberlein, C.V.; Guttieri, M.G. Preemergence weed control in potato (Solanum tuberosum) with ethalfluralin. Weed Tech. 2000, 14, 287e292.
- Renner, K.A.; Powell, G.E. Weed control in potato (Solanum tuberosum) with rimsulfuron and metribuzin. Weed Technol. 1998, 12,406-409. [CrossRef]
- Khatami, S.A.; Alebrahim, M.T.; Majd, R.; Mohebodini, M. Tuber yield of potato (Solanum tuberosum L.) as affected by different dosage applications of Rimsulfuron at its various growth stages. J. of Crop Ecophysiol. 2017, 13(1), 153-170 (In Persian with English summary).
- Arianezhad, S.; Alebrahim, M.T.; Ebadi, A.; Osati, P.; Samadi kalkhoran, E. The evaluating of efficacy of rimsulfuron with non-ionic surfactant for weed control on three potato cultivars including Bamba, Spirit and Marfona in Ghorveh and Songhor region. 2017. M.Sc. thesis of Mohaghegh Ardabili University. Ardabil, Iran.
- Harr, J.; Guggenheim, R.; Schulke, R.H.; Falk, R.H. Chenopodium album L. the leaf surface of major weeds; Sandoz Agro Ltd.: West Princeton, NJ, USA, 1991.
- De Ruiter, H.; Uffing, A.J.M.; Meinen, E.; Prins, A. Influence of surfactants and plant species on leaf retention of spray solutions. Weed Sci, 1990, 38, 567–572. [CrossRef]
- Ramsdale, B.K.; Messersmith, C.G. Drift-reducing nozzle effects on herbicide performance. Weed Technol. 2001, 15, 453–460.
- Hess, F.D.; Richard, H.F. Herbicide Deposition on Leaf Surfaces. Weed Sci. 1990, 38, 280-288. [CrossRef]
- Underwood, A.L. Adjuvant trends for the new millennium. Weed Technol. 2000, 14(4), 765-772. [CrossRef]
- Bunting, J.A.; Sprague, C.L.; Riechers, D.E. Proper adjuvant selection for foramsulam activity. Crop Protect. 2004, 23(4), 361-366. [CrossRef]
- Mamnoii, E.; Karami Nejad, M.R.; Rashed Mohasel, M.H.; Shimi, P.; Aeen, A. Evaluation of some Herbicides for Potato (Solanum tuberosum L.) Weed Control in Jiroft and Karaj. J. of Plant Protec. 2016, 30(3): 368-378. (In Persian with English summary). [CrossRef]
- Ren, L.Q.; Wang, S.J.; Tian, X.M.; Han, Z.W.; Yan, L.N.; Qiu, Z.M. Non-smooth morphologies of typical plant leaf surfaces and their anti-adhesion effects. J. of Bionic Engineering. 2007, 4, 33-40. [CrossRef]
- Sharma, S.D.; Kirkwood, R.C.; Whateley, T.L. Effect of non-ionic nonylphenol surfactants on surface physicochemical properties, uptake, and distribution of asulam and diflufenican. Weed Res. 1996, 36, 227–239. [CrossRef]
- Penner, D. Activator adjuvants. Weed Technol. 2000, 14,785–791. [CrossRef]


| First outdoor pot experiment | ||||
|---|---|---|---|---|
| Species | Rimsulfuron (g ha-1) | Contact (NIS) | Renol (COC) | Rain |
| Chenopodium album | 0, 1.875, 3.75, 7.5, 15, 30, 60 | 0.1% | 0.5 L ha-1 | 0, 1, 2 ,4 HAT |
| Amarathus retroflexus | 0, 0.2343, 0.468, 0.9375, 1.875, 3.75, 7.5 | 0.1% | 0.5 L ha-1 | 0, 1, 2 ,4 HAT |
| Second outdoor pot experiment | ||||
| Species | Rimsulfuron (g ha-1) | Contact (NIS) | Renol (COC) | Rain |
| Chenopodium album | 0, 1.875, 3.75, 7.5, 15, 30, 60 | 0.04. 0.2, 1 L ha-1 | - | 0, 1, 2 ,4 HAT |
| Amarathus retroflexus | 0, 0.2343, 0.468, 0.9375, 1.875, 3.75, 7.5 | 0.04. 0.2, 1 L ha-1 | - | 0, 1, 2 ,4 HAT |
| Field experiment (Reduced dose) | ||||
| Species | Rimsulfuron (g ai. ha-1) | Contact (NIS) | Renol (COC) | Application time |
| Chenopodium album | 0, 5, 10, 15, 20, 25, 30 | 0.2 L ha-1 | - | S1, S1+S4, S1+S4+S7 |
| Amarathus retroflexus | 0, 5, 10, 15, 20, 25, 30 | 0.2 L ha-1 | - | S1, S1+S4, S1+S4+S7 |
| Field experiment (Recommended dose) | ||||
| Species | Rimsulfuron (g ai. ha-1) | Contact (NIS) | Renol (COC) | Application time |
| Chenopodium album | 0, 10, 20, 30, 40, 50, 60 | 0.2 L ha-1 | - | S1, S1+S4, S1+S4+S7 |
| Amarathus retroflexus | 0, 10, 20, 30, 40, 50, 60 | 0.2 L ha-1 | - | S1, S1+S4, S1+S4+S7 |
| Stage | Description |
| 0 | Germination / sprouting / bud development |
| 1 | Leaf development (main shoot) |
| 2 | Formation of side shoots / tillering |
| 3 | Stem elongation or rosette growth/shoot development (main shoot) |
| 4 | Development of harvestable vegetative plant parts or vegetatively propagated organs/booting (main shoot) |
| 5 | Inflorescence emergence (main shoot) / heading |
| 6 | Flowering (main shoot) |
| 7 | Development of fruit |
| 8 | Ripening or maturity of fruit and seed |
| 9 | Senescence, beginning of dormancy |
| Amaranthus retroflexus | |||||
| Adjuvant | Rain | ED50 (g ha-1) | Confidence intervals | Relative rainfastness | |
| None | No rain | 0.28abc | 0.201-0.368 | 1.00 | |
| 1 HAT | 4.68ijk | 3.318-6.036 | 16.71 | ||
| 2 HAT | 1.59fgh | 1.069-2.103 | 5.68 | ||
| 4 HAT | 1.34f | 0.937-1.743 | 4.79 | ||
| 0.1 % NIS | No rain | 0.26ab | 0.182-0.345 | 1.00 | |
| 1 HAT | 0.55de | 0.372-0.732 | 2.12 | ||
| 2 HAT | 0.51d | 0.363-0.657 | 1.96 | ||
| 4 HAT | 0.28abc | 0.184-0.382 | 1.08 | ||
| 0.5 L ha-1 COC | No rain | 0.25a | 0.179-0.330 | 1.00 | |
| 1 HAT | 3.76ij | 2.294-5.235 | 15.04 | ||
| 2 HAT | 3.74i | 2.407-5.064 | 14.96 | ||
| 4 HAT | 1.44fg | 0.910-1.970 | 5.76 | ||
| Chenopodium album | |||||
| None | No rain | 26.47e-i | -14.78-67.72 | 1.00 | |
| 1 HAT | 24.56e-h | 6.13-42.98 | 0.93 | ||
| 2 HAT | 27.34e-k | -3.60-58.29 | 1.03 | ||
| 4 HAT | 31.16e-l | 6.55-55.77 | 1.18 | ||
| 0.1 % NIS | No rain | 1.89a | 1.11-2.69 | 1.00 | |
| 1 HAT | 4.18d | 1.60-6.77 | 2.20 | ||
| 2 HAT | 2.06ab | 0.85-3.28 | 1.08 | ||
| 4 HAT | 2.36abc | 0.92-3.80 | 1.24 | ||
| 0.5 L ha-1 COC | No rain | 13.28e | 1.60-24.96 | 1.00 | |
| 1 HAT | 21.44efg | 5.09-37.79 | 1.61 | ||
| 2 HAT | 26.58e-j | 3.39-49.77 | 2.00 | ||
| 4 HAT | 16.69e-i | -2.26-35.65 | 1.26 | ||
| Amaranthus retroflexus | ||||
| Adjuvant | Rain | ED50 (g ha-1) | Confidence intervals | Relative rainfastness |
| 0.04 L ha-1 NIS | No rain | 0.33cd | 0.219-0.437 | 1.00 |
| 1 HAT | 0.96ij | 0.701-1.219 | 2.38 | |
| 2 HAT | 0.59fg | 0.433-0.757 | 1.49 | |
| 4 HAT | 0.43de | 0.302-0.553 | 1.16 | |
| 0.2 L ha-1 NIS | No rain | 0.12b | 0.051-0.196 | 1.00 |
| 1 HAT | 1.10jk | 0.789-1.406 | 4.22 | |
| 2 HAT | 0.47def | 0.305-0.640 | 2.30 | |
| 4 HAT | 0.43de | 0.306-0.559 | 1.73 | |
| 1 L ha-1 NIS | No rain | 0.03a | -0.006-0.069 | 1.00 |
| 1 HAT | 0.73hi | 0.513-0.939 | 24.3 | |
| 2 HAT | 0.70gh | 0.523-0.878 | 23.3 | |
| 4 HAT | 0.29c | 0.191-0.396 | 9.67 | |
| Chenopodium album | ||||
| 0.04 L ha-1 NIS | No rain | 5.37b-f | 1.44-9.30 | 1.00 |
| 1 HAT | 23.38ij | 7.89-38.86 | 4.35 | |
| 2 HAT | 23.91jk | 1.62-46.21 | 4.45 | |
| 4 HAT | 13.47e-i | 6.15-20.79 | 2.51 | |
| 0.2 L ha-1 NIS | No rain | 3.66a-d | 2.26-5.05 | 1.00 |
| 1 HAT | 9.86d-h | 4.50-15.21 | 2.69 | |
| 2 HAT | 6.61b-g | 3.39-9.83 | 1.81 | |
| 4 HAT | 5.17a-f | 2.71-7.62 | 1.41 | |
| 1 L ha-1 NIS | No rain | 1.75a | 0.84-2.66 | 1.00 |
| 1 HAT | 4.20a-e | 2.24-6.16 | 2.40 | |
| 2 HAT | 2.97abc | 1.46-4.47 | 1.70 | |
| 4 HAT | 2.38ab | 1.21-3.56 | 1.36 | |
| Reduced dose without surfactant of Amaranthus retroflexus dry weight | ||||||
| Application time | slope | upper | ED10 | ED50 | ED90 | Rp |
| S1 | -6.04± 0.33 | 97.46 ± 0.78 | 7.56 ± 0.14 | 10.88 ± 0.09f | 15.64 ± 0.38 | 1.49 |
| S1+S4 | -5.48 ± 0.27 | 99.58 ± 0.59 | 4.27 ± 0.07 | 6.37 ± 0.09d | 9.52 ± 0.29 | 1.68 |
| S1+S4+S7 | -3.07 ±0.76 | 100.29 ± 0.73 | 1.51 ± 0.44 | 3.09 ± 0.35b | 6.32 ± 0.43 | 1.52 |
| Reduced dose with surfactant of Amaranthus retroflexus dry weight | ||||||
| S1 | -4.09 ± 0.13 | 97.94 ± 0.33 | 5.93 ± 0.09 | 7.27 ± 0.07e | 12.60 ± 0.16 | 1.00 |
| S1+S4 | -2.69 ± 0.14 | 100.49 ± 0.39 | 2.77 ± 0.08 | 3.77 ± 0.06c | 8.70 ± 0.28 | 1.00 |
| S1+S4+S7 | -2.38 ± 0.45 | 100.36 ± 0.42 | 1.43 ± 0.33 | 2.03 ± 0.33a | 5.22 ± 0.15 | 1.00 |
| Reduced dose without surfactant of Chenopodium album dry weight | ||||||
| S1 | -5.40 ± 0.47 | 79.05 ± 2.86 | 12.06 ± 0.32 | 18.11 ± 0.40f | 27.20 ± 1.46 | 1.17 |
| S1+S4 | -3.00 ± 0.18 | 104.00 ± 2.66 | 5.92 ± 0.20 | 12.31 ± 0.34d | 25.59 ± 1.72 | 1.13 |
| S1+S4+S7 | -3.37 ± 0.18 | 100.64 ± 1.21 | 4.07 ± 0.15 | 7.81 ± 0.16b | 15.00 ± 0.68 | 1.08 |
| Reduced dose with surfactant of Chenopodium album dry weight | ||||||
| S1 | -4.41 ± 0.58 | 79.74 ± 3.90 | 9.51 ± 0.47 | 15.46 ± 0.58e | 25.73 ± 2.43 | 1.00 |
| S1+S4 | -2.97 ± 0.27 | 100.36 ± 3.32 | 5.09 ± 0.27 | 10.66 ± 0.43c | 22.31 ± 2.22 | 1.00 |
| S1+S4+S7 | -2.71 ± 0.23 | 102.67 ± 2.15 | 3.19 ± 0.21 | 7.19 ± 0.25a | 16.17 ± 1.44 | 1.00 |
| Application time | Recommended dose without surfactant of Amaranthus retroflexus dry weight | |||||
|---|---|---|---|---|---|---|
| slope | upper | ED10 | ED50 | ED90 | Rp | |
| S1 | -4.32 ± 0.25 | 100.19 ± 0.44 | 6.28 ± 0.17 | 10.41 ± 0.07a | 17.27 ± 0.55 | 1.63 |
| S1+S2 | -6.18 ± 8.04 | 100.02 ± 0.37 | 4.67 ± 4.61 | 6.67 ± 3.49a | 9.51 ± 0.61 | 2.07 |
| S1+S2+S3 | -6.73 ± 49.78 | 100.00 ± 0.36 | 3.87 ± 27.11 | 5.37 ± 24.61a | 7.44 ± 16.14 | 1.14 |
| Recommended dose with surfactant of Amaranthus retroflexus dry weight | ||||||
| S1 | -2.60 ± 0.33 | 100.68 ± 0.64 | 2.73 ± 0.44 | 6.35 ± 0.36a | 14.76 ± 0.85 | 1.00 |
| S1+S2 | -2.37 ± 1.25 | 100.21 ± 0.68 | 1.27 ± 1.36 | 3.21 ± 1.86a | 8.11 ± 0.87 | 1.00 |
| S1+S2+S3 | -6.00 ± 43.54 | 100.00 ± 0.39 | 3.24 ± 26.42 | 4.67 ± 25.69a | 6.74 ± 19.15 | 1.00 |
| Recommended dose without surfactant of Chenopodium album dry weight | ||||||
| S1 | -4.04 ± 0.35 | 94.93 ± 1.68 | 11.06 ± 0.49 | 19.05 ± 0.42a | 32.81 ± 1.96 | 1.08 |
| S1+S2 | -2.85 ± 0.23 | 102.37 ± 1.43 | 5.30 ± 0.34 | 11.44 ± 0.30a | 24.68 ± 1.83 | 0.88 |
| S1+S2+S3 | -3.10 ± 0.87 | 100.43 ± 1.27 | 3.54 ± 1.02 | 7.18 ± 0.67a | 14.57 ± 1.71 | 0.83 |
| Recommended dose with surfactant of Chenopodium album dry weight | ||||||
| S1 | -3.27 ± 0.51 | 98.69 ± 3.53 | 9.02 ± 0.97 | 17.62± 0.92a | 3.44 ± 4.31 | 1.00 |
| S1+S2 | -0.24 ± 0.25 | 170.19 ± 145.92 | 0.001 ± 0.005 | 12.86 ± 89.96a | 9.79 ± 1.56 | 1.00 |
| S1+S2+S3 | -7.19 ± 26.69 | 100.00 ± 2.00 | 6.32 ± 10.72 | 8.58 ± 4.82a | 1.16 ± 6.68 | 1.00 |
Disclaimer/Publisher’s Note: The statements, opinions and data contained in all publications are solely those of the individual author(s) and contributor(s) and not of MDPI and/or the editor(s). MDPI and/or the editor(s) disclaim responsibility for any injury to people or property resulting from any ideas, methods, instructions or products referred to in the content. |
© 2024 by the authors. Licensee MDPI, Basel, Switzerland. This article is an open access article distributed under the terms and conditions of the Creative Commons Attribution (CC BY) license (https://creativecommons.org/licenses/by/4.0/).
