Submitted:
23 May 2023
Posted:
29 May 2023
You are already at the latest version
Abstract
Keywords:
1. Introduction
2. Materials and Methods
2.1. Patients
2.2. Generation of DC and CIK Cells
2.3. DC-CIK Treatment and Follow Up
2.4. Statistical Analysis
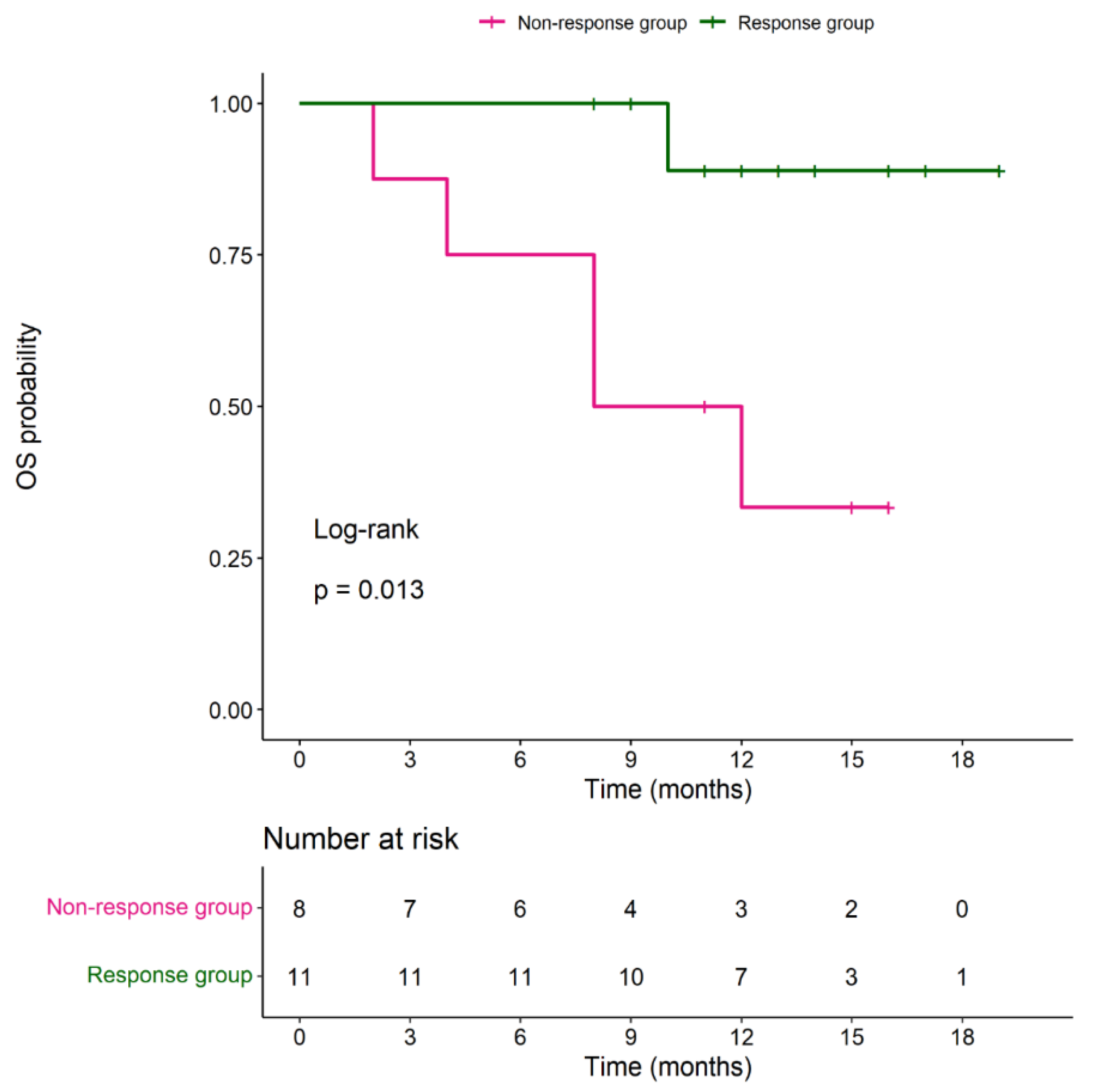
3. Results
3.1. Baseline Characteristics of Patients
3.2. Clinical Outcomes
3.3. Side Effects of DC-CIK Cell Infusion
4. Discussion
5. Conclusions
Author Contributions
Funding
Institutional Review Board Statement
Informed Consent Statement
Data Availability Statement
Conflicts of Interest
References
- Siegel, R.L., K. D. Miller, and A. Jemal, Cancer statistics, 2019. CA: A Cancer Journal for Clinicians 2019, 69, 7–34. [Google Scholar] [PubMed]
- Siegel, R.L. , et al. , Colorectal cancer statistics, 2017. CA: A Cancer Journal for Clinicians 2017, 67, 177–193. [Google Scholar] [PubMed]
- Torre, L.A. , et al., Global cancer statistics, 2012. CA: A Cancer Journal for Clinicians 2015, 65, 87–108. [Google Scholar] [PubMed]
- Ansa, B. , et al., Evaluation of Colorectal Cancer Incidence Trends in the United States (2000–2014). Journal of Clinical Medicine 2018, 7, 22. [Google Scholar] [CrossRef] [PubMed]
- Brouwer, N.P.M. , et al., An overview of 25 years of incidence, treatment and outcome of colorectal cancer patients. International Journal of Cancer 2018, 143, 2758–2766. [Google Scholar] [CrossRef]
- Hu, C.-Y. , et al., Time Trend Analysis of Primary Tumor Resection for Stage IV Colorectal Cancer. JAMA Surgery 2015, 150, 245. [Google Scholar] [CrossRef]
- Wang, J. , et al., Metastatic patterns and survival outcomes in patients with stage IV colon cancer: A population-based analysis. Cancer Medicine 2020, 9, 361–373. [Google Scholar] [CrossRef]
- Lin, T. , et al., Clinical effects of autologous dendritic cells combined with cytokine-induced killer cells followed by chemotherapy in treating patients with advanced colorectal cancer: a prospective study. Tumor Biology 2016, 37, 4367–4372. [Google Scholar] [CrossRef]
- Niu, J. , et al., Retrospective Comparative Study of the Effects of Dendritic Cell Vaccine and Cytokine-Induced Killer Cell Immunotherapy with that of Chemotherapy Alone and in Combination for Colorectal Cancer. BioMed Research International 2014, 2014, 1–7. [Google Scholar]
- Xie, Y. , et al., Effect of dendritic cell-cytokine-induced killer cells in patients with advanced colorectal cancer combined with first-line treatment. World Journal of Surgical Oncology 2017, 15, 1–6. [Google Scholar] [CrossRef]
- Amado, R.G. , et al., Wild-Type <i>KRAS</i> Is Required for Panitumumab Efficacy in Patients With Metastatic Colorectal Cancer. Journal of Clinical Oncology 2008, 26, 1626–1634. [Google Scholar] [PubMed]
- Hecht, J.R. , et al., SPIRITT: a randomized, multicenter, phase II study of panitumumab with FOLFIRI and bevacizumab with FOLFIRI as second-line treatment in patients with unresectable wild type KRAS metastatic colorectal cancer. Clinical colorectal cancer 2015, 14, 72–80. [Google Scholar] [CrossRef] [PubMed]
- Karapetis, C.S. , et al., <i>K-ras</i>Mutations and Benefit from Cetuximab in Advanced Colorectal Cancer. New England Journal of Medicine 2008, 359, 1757–1765. [Google Scholar] [PubMed]
- Peeters, M. , et al., Randomized Phase III Study of Panitumumab With Fluorouracil, Leucovorin, and Irinotecan (FOLFIRI) Compared With FOLFIRI Alone As Second-Line Treatment in Patients With Metastatic Colorectal Cancer. Journal of Clinical Oncology 2010, 28, 4706–4713. [Google Scholar] [CrossRef]
- Peeters, M. , et al., Final results from a randomized phase 3 study of FOLFIRI ± panitumumab for second-line treatment of metastatic colorectal cancer. Annals of Oncology 2014, 25, 107–116. [Google Scholar] [CrossRef] [PubMed]
- Masi, G. , et al., Continuation or reintroduction of bevacizumab beyond progression to first-line therapy in metastatic colorectal cancer: final results of the randomized BEBYP trial. Annals of Oncology 2015, 26, 724–730. [Google Scholar] [CrossRef]
- Grothey, A. , et al., Regorafenib monotherapy for previously treated metastatic colorectal cancer (CORRECT): an international, multicentre, randomised, placebo-controlled, phase 3 trial. The Lancet 2013, 381, 303–312. [Google Scholar] [CrossRef]
- Kuboki, Y. , et al., TAS-102 plus bevacizumab for patients with metastatic colorectal cancer refractory to standard therapies (C-TASK FORCE): an investigator-initiated, open-label, single-arm, multicentre, phase 1/2 study. The Lancet Oncology 2017, 18, 1172–1181. [Google Scholar] [CrossRef]
- Li, J. , et al., Regorafenib plus best supportive care versus placebo plus best supportive care in Asian patients with previously treated metastatic colorectal cancer (CONCUR): a randomised, double-blind, placebo-controlled, phase 3 trial. The lancet oncology 2015, 16, 619–629. [Google Scholar] [CrossRef]
- Mayer, R.J. , et al., Randomized Trial of TAS-102 for Refractory Metastatic Colorectal Cancer. New England Journal of Medicine 2015, 372, 1909–1919. [Google Scholar] [CrossRef]
- Bekaii-Saab, T. , et al., Third- or Later-line Therapy for Metastatic Colorectal Cancer: Reviewing Best Practice. Clinical Colorectal Cancer 2019, 18, e117–e129. [Google Scholar] [CrossRef] [PubMed]
- XU, Huiru, et al. Analysis of the Clinical Efficacy of Dendritic Cell–cytokine Induced Killer Cell-based Adoptive Immunotherapy for Colorectal Cancer. Immunological Investigations 2021, 50, 622–633. [Google Scholar] [CrossRef] [PubMed]
- NI, Ling. Advances in human dendritic cell-based immunotherapy against gastrointestinal cancer. Frontiers in Immunology 2022, 13, 887189. [Google Scholar] [CrossRef] [PubMed]
- DU, YANG, ZHANG, et al. , Cytokine-induced killer cell/dendritic cell combined with cytokine-induced killer cell immunotherapy for treating advanced gastrointestinal cancer. BMC cancer 2020, 20, 1–11.
- Zhao, Y.; Liu, X. Clinical application and development of dendritic cell/cytokine-induced killer cell immunotherapy for cancer. Journal of Hematology & Oncology 2020, 13, 1–16. [Google Scholar]
- Liu, Zhang, Jia, et al. , Dendritic cell/cytokine-induced killer cell immunotherapy combined with S-1 in patients with advanced pancreatic cancer: a prospective study. Clinical Cancer Research 2016, 22, 1–9. [Google Scholar]
- Ren, Di, Song, et al. , Clinical study on treatment of malignant melanoma with autologous tumor-derived combined DC-CIK cells. Cellular Immunology 2015, 295, 71–77. [Google Scholar]
- Shi, Zhang, Tang, et al. , Combination of DC-CIK infusion and chemotherapy in advanced colorectal cancer. World Journal of Gastroenterology 2015, 21, 6482–6488. [Google Scholar]
- He, Li, Liu, et al. , Immunotherapy for metastatic colorectal cancer. Journal of Hematology & Oncology 2021, 14, 1–14. [Google Scholar]
- Zhou, Cui, & Qiu, Dendritic cell therapy in cancer: research progress and clinical applications. Expert Review of Anticancer Therapy 2020, 20, 1041–1051.
- XU, Huiru, et al. Analysis of the Clinical Efficacy of Dendritic Cell–cytokine Induced Killer Cell-based Adoptive Immunotherapy for Colorectal Cancer. Immunological Investigations 2021, 50, 622–633. [Google Scholar] [CrossRef] [PubMed]



| Response group | Non-response group | ||||
|---|---|---|---|---|---|
| (N=11) | (N=9) | ||||
| Characteristic | n | % | n | % | p-value |
| Gender | >0.999 | ||||
| Male | 6 | 55% | 4 | 44% | |
| Female | 5 | 45% | 5 | 56% | |
| Age (years) | 0.3816 | ||||
| Median | 60 | 53 | |||
| Range | 45-72 | 46-70 | |||
| BMI | 0.710 | ||||
| Median | 25 | 25 | |||
| Range | 18.5-29.6 | 16.0-29.3 | |||
| Tumor location | 0.794 | ||||
| Right side colon | 2 | 18% | 1 | 11% | |
| Left side colon | 7 | 64% | 5 | 56% | |
| Rectum | 2 | 18% | 3 | 33% | |
| Gene profile | |||||
| MSS/MSI-L | 8 | 89% | 5 | 100% | |
| MSI-H | 1 | 25% | 0 | 0% | |
| All RAS Mutation | 3 | 30% | 4 | 44% | 0.377 |
| BRAF Mutation | 1 | 10% | 0 | 0% | |
| Organs of metastasis | |||||
| Liver | 9 | 82% | 7 | 78% | >0.999 |
| Lung | 3 | 27% | 4 | 44% | 0.642 |
| Peritoneum | 4 | 36% | 6 | 67% | 0.370 |
| Pelvic lymph node | 3 | 27% | 0 | 0% | 0.218 |
| Bone | 1 | 9% | 4 | 44% | 0.127 |
| Ovary | 1 | 9% | 2 | 22% | 0.566 |
| Number of metastasis site | 0.059 | ||||
| 1 | 6 | 55% | 1 | 11% | |
| 2 | 1 | 9% | 5 | 56% | |
| ≥3 | 4 | 36% | 3 | 33% | |
| Radiotherapy | 3 | 27% | 4 | 44% | 0.642 |
| Treatment cycle (weeks) | 0.675 | ||||
| Median | 42 | 62 | |||
| Range | 28-132 | 30-109 | |||
| Baseline CEA | 0.095 | ||||
| Median | 8.87 | 103.29 | |||
| Range | 0.82-11374 | 2.30-4645.3 | |||
| Baseline CA19-9 | 0.224 | ||||
| Median | 20.8 | 331.25 | |||
| Range | 7.8-3093.1 | 11.5-4694 | |||
| Response group | Non-response group | Wilcoxon signed-rank test | ||
| (N=11) | (N=9) | p-value | ||
| PFS time (months) | 0.638 | |||
| Median | 7 | 4 | ||
| Range | 3-14 | 3-16 | ||
| OS time (months) | 0.147 | |||
| Median | 12 | 9.5 | ||
| Range | 8-19 | 2-16 | ||
Disclaimer/Publisher’s Note: The statements, opinions and data contained in all publications are solely those of the individual author(s) and contributor(s) and not of MDPI and/or the editor(s). MDPI and/or the editor(s) disclaim responsibility for any injury to people or property resulting from any ideas, methods, instructions or products referred to in the content. |
© 2023 by the authors. Licensee MDPI, Basel, Switzerland. This article is an open access article distributed under the terms and conditions of the Creative Commons Attribution (CC BY) license (http://creativecommons.org/licenses/by/4.0/).