Preprint
Article

This version is not peer-reviewed.

Response of Soil Aggregate Stability to Phosphorus, Nitrogen and Organic Fertilizer Addition: A Meta-analysis

A peer-reviewed article of this preprint also exists.

Submitted:

16 May 2023

Posted:

16 May 2023

You are already at the latest version

Abstract
Soil is an extremely significant resource for human survival, and agglomerates, as the basic unit of soil structure, not only enhance soil fertility and control the biological validity of nutrients, but also strengthen the soil's erosion resistance. The mass application of fertilizers may have a significant impact on crop growth and soil structure, and the rational application and dispensing of fertilizers will be an urgent issue to be addressed. Therefore, the effect of fertilizer application on the stability of water-stable soil aggregates needs to be studied under different meteorological and soil conditions to draw more general and feasible conclusions. Our Meta-analysis of data from 220 of 56 published studies found that fertilizer application increased mean weight diameter (MWD) by an average of 18% compared to the no-fertilizer treatment. Among the nitrogen (N), phosphate (P), and organic (OM) fertilizer treatments, the organic fertilizer treatment had a greater stimulatory effect on MWD (26%). Among the different fertilizer levels, low level of phosphorus (<40kg·hm-2·yr-1), high level of N (>120kg·hm-2·yr-1), and low level of organic fertilizer (<5000kg·hm-2·yr-1) increased MWD by 19%, 14%, and 41% respectively. Across soil types and land use types, the response to MWD was positive for red soils and paddy fields, and the stimulatory effect of organic fertilizer was more significant compared to chemical fertilizer. The regression model showed that the response ratio of MWD was negatively correlated with the response ratio of soil pH and bulk density (BD), and positively correlated with the response ratio of soil organic carbon (SOC) and microbial mass carbon (MBC). Meanwhile, the PLS-SEM model showed that average annual temperature was the main factor affecting the stability of soil aggregates, and the average annual rainfall is the secondary factor. Therefore, this study found that the long-term use of organic fertilizers in place of some chemical fertilizers was more effective than chemical fertilizer alone. Temperature and rainfall have greater effects on the response of fertilizer to soil aggregate stability.
Keywords: 
;  ;  ;  ;  ;  

1. Introduction

With the influence of economic development and human activities in society, land degradation and soil drought increasingly have become significant issues facing economic growth, social development, and rural production. Climate change and agricultural activities are likely to be the main causes of these problems (Zhang et al., 2015). In the meantime, the huge demand for food in the country has created an urgent need to improve the quality of the land, and land degradation is closely linked to agricultural activities, of which fertilizer application is one of the main causes. For example, common agricultural practices often lead to the misuse of chemical fertilizers, which not only damage the structure of soil aggregates and soils, but also lead to the waste of soil nutrients (Verchot et al., 2011). Therefore, it is important to improve the quality of the soil to enhance agricultural production.
Soil organic carbon (SOC) is a key index of soil fertility and changes in soil organic carbon content affect soil aggregation. Soil organic carbon is closely related to the forming and stability of soil aggregates (Tisdall and Oades, 1982). It was reported that soil organic carbon avoids microbial decomposition by adsorption onto the surface of clay minerals and encapsulation in soil aggregates. As an important component of soil structure, soil aggregates are the material basis of good soil structure and not only directly or indirectly affect soil fertility and crop yield (Tang et al., 2022), but also increase the stability of soil aggregates can improve soil carbon sink function and reduce greenhouse gas emissions (Liu, 2019). There are many indicators for evaluating the stability of soil aggregates, among which the mean weight diameter (MWD) has long been used as an indicator of soil aggregate stability, and when the value of MWD is larger, it indicates that the stability of soil aggregates is better(Almajmaie et al., 2017; Zhou et al., 2020). The stability, particle size, and number distribution of soil aggregates are influenced by the type of fertilizer applied the level of fertilizer application, soil properties, and climatic conditions. Many papers in China and elsewhere had shown that the decomposing residues of fertilizers after application could stimulate microbial activity, forming mycelium and sugars, and that soil particles would then be cemented by these substances to form soil aggregates (Kushwaha et al., 2001; Post and Kwon, 2000). The formation of soil aggregates is driven by physical, chemical and biological factors, with cementing agents being the main formation condition. It had been suggested by Tisdall et al. (1982), that large agglomerates were mainly formed by gelling of mycelium and organic residues, while small agglomerates were formed by gelling of either polysaccharides or inorganic colloids through cationic bridges.
The use of chemical fertilizers plays a major role in agricultural output. Adding organic matter in the form of agricultural fertilizer not only can help improve soil structure and decrease bulk density, but also decrease stability of soil aggregates (Whalen and Chang, 2002). Fertilizer application improves crop production and the stability of soil aggregates by improving soil quality (Russell et al., 2005). Fertilizer application has different effects on soil aggregates. Some studies (Chen et al., 2013; Huang et al., 2010) showed that long-term fertilizer application can increase the number of macro-aggregates, but others (Sun et al., 2005; Yu et al., 2012) reported no significant effect of fertilizer application on the number of macro-aggregates. Different types of fertilizer applications also have different effects on soil agglomerates. Tian et al. (2022) found that organic fertilizer alone replenished soil nutrients and increased soil macro-agglomerate content and water stability compared to organic-inorganic mixed treatments. Ma et al. (2022) showed that the mean weight diameter and geometric mean diameter of soil water-stable agglomerates were significantly higher in organic fertilizer treatments than in organic-inorganic fertilizer blends and inorganic fertilizer treatments. Li et al. (2022) showed that the application of organic fertilizer promoted the formation of large agglomerates and that the application of chemical fertilizer and organic fertilizer increased the organic carbon and total nitrogen content of agglomerates in the whole soil and at all grain levels. And Řezáčová et al. (2021) showed that the application of organic fertilizer alone for 4, 8 consecutive years was beneficial in improving the stability of soil aggregates. Overall, treatments with fertilizer increased the mean weight diameter of the soil compared to treatments without fertilizer. Therefore, it is essential to explore the role of proper fertilizer application on soil quality and stability of soil agglomerates.
In recent years, most studies on fertilizer application on soil aggregates have focused on the effect of fertilizer application on the nutrient content of soil aggregates and its dynamics, and on soil aggregate stability (Sodhi et al., 2009), but there is no detailed description of the mechanism of the effect of single fertilizer application on soil aggregate stability. Therefore, the research literature on changes in soil agglomerate stability under long-term fertilizer application trials in China was systematically collected in this report, and Meta-analysis was used to quantitatively estimate the magnitude of increase or decrease in soil agglomerate stability changes by single fertilizer application to analyze and explore the variability between the magnitude of increase or decrease under different conditions. The study aims to elucidate the role of single fertilizer application on the formation of water-stable agglomerates and to provide a scientific basis for the rational cultivation of soil, improvement of soil structure and reduction of global warming and carbon cycling.

2. Materials and Methods

2.1. Data Compilation

Using the Web of Science (WOS, https://www.webofscience.com), China National Knowledge Infrastructure (CNKI, https://www.cnki.net) and Wanfang (https://www.wanfangdata.com.cn) database in both Chinese and English to search peer-reviewed journal articles. The following search term combinations were used to select the studies: (fertilization and aggregates/soil macro-aggregate or aggregate/nitrogen fertilizer or phosphate fertilizer or organic fertilizer) and (fertilizer and aggregates/fertilizer/aggregates/nitrogen fertilizer and aggregates/phosphorus fertilizer and aggregates/organic fertilizer and aggregates) and (nitrogen fertilizer/phosphate fertilizer/organic fertilizer/organic fertilizer/organic fertilizer). Literature related to the themes of “single fertilization and soil aggregate stability” were selected and collected. To avoid the bias of literature screening and improve the quality of data, literature screening was conducted according to the following criteria: (i) The experiment was a long-term positioning experiment or a field experiment; (ii) The test must include control (such as no fertilization) and treatment (such as single application of phosphate fertilizer, nitrogen fertilizer and organic fertilizer, etc.), and other test conditions are consistent with control and treatment; (iii) The mean value, standard deviation (SD) or standard error (SE) and sample size (n) of variables in papers, tables and digital charts can be directly extracted; (iv) The paper must have the stability index of soil aggregates: mean weight diameter (MWD) data; and (v) The test site is located in China.
In total, the dataset included 220 independent observations from 56 published studies. Here, we considered data from different fertilization types, fertilization levels, soil types, and land use types in the same experiment as independent observations (Table 1). The GetData (version 2.20) was used to extract the data from the digitized graph in the paper. Overall, our data set covers different fertilization types, such as phosphate, nitrogen, and organic fertilizers, different soil types such as black soil, red soil and yellow soil, and different land use types, such as arable land, farmland and garden land. The fertilization level from 10.6 to 75,000 kg·ha·yr−1, the rainfall from 120 to 1795 mm, and the average annual temperature from −1.11 to 19.2 °C.

2.2. Meta-Analysis

We followed the methods used by Zhou et al. (2014) to evaluate the responses of MWD to P, N, and OM addition. The response ratio (RR, natural log of the ratio of the mean value of a concerned variable in the P, N, and OM addiction treatment to that in the control) was used here as an index of magnitude of the P, N, and OM addition effect. The RR was calculated as follows:
R R = l n X t l n X c = l n X t l n X c
where Xt and Xc are the means of a certain variable in P, N, or OM addition and control treatments, respectively. If RR > 0, which indicates that single fertilization has a positive response to the response variable, that is, single fertilization will improve MWD. Its variance (v) was estimated by the following equation:
v ( R R ) = S D c N c X c 2 + S D t N t X t 2
where Nt and Nc are the numbers of fertilized and unfertilized samples respectively, SDc and SDt are the variances of control group and treatment group respectively ( S D = S E N ).
MetaWin2.1 software was used to calculate the response ratio, and then random effects model was used to calculate the average weighted response ratio (RR++):
R R + + = i = 1 m j = 1 k ω i j R R i j i = 1 m j = 1 k ω i j
The calculation formula of weighted standard error (S) is as follows:
S ( R R + + ) = 1 i = 1 m j = 1 k ω i j
The 95% confidence interval (95%CI) can be calculated as follows:
95 % C I = R R + + ± 1.96 S ( R R + + )
where i = 1, 2, 3, …, m; j = 1, 2, 3, …, k; m is the number of groups, k is the number of comparisons in group i. If RR++ is positive, it is a positive response, otherwise it is a negative response.
When the confidence interval included 0, P, N, or OM addition of MWD was not significant (p > 0.05). When all confidence intervals were greater than 0, the addition of P, N, or OM significantly increased MWD (p < 0.05), whereas the addition of P, N, and OM significantly decreased MWD (p < 0.05).

3. Results

3.1. Response of MWD to P, N and OM Addition

The weighted RR of MWD across all 220 pairs of comparisons was 0.1836(18.45, p < 0.05) (Figure 1a,b). Single application of phosphorus, nitrogen and organic fertilizer significantly (p < 0.05) increased MWD by 11%, 9% and 26%, respectively. Among them, the effect of organic fertilizer on MWD was more significant (Figure 1b). P addition increased MWD by 19% and 9% (p < 0.05) at lower and low P treatments (Figure 2a). MWD increased by 14% and 14% (p < 0.05) at medium and high N treatments (Figure 2b). Meanwhile, OM addition increased MWD by 41%, 25%, 11% and 13% (p < 0.05) at lower, low, medium and high OM treatments (Figure 2c).

3.2. Differences between Soil Aggregate Stability Under Different Soil Types and Land Use Types

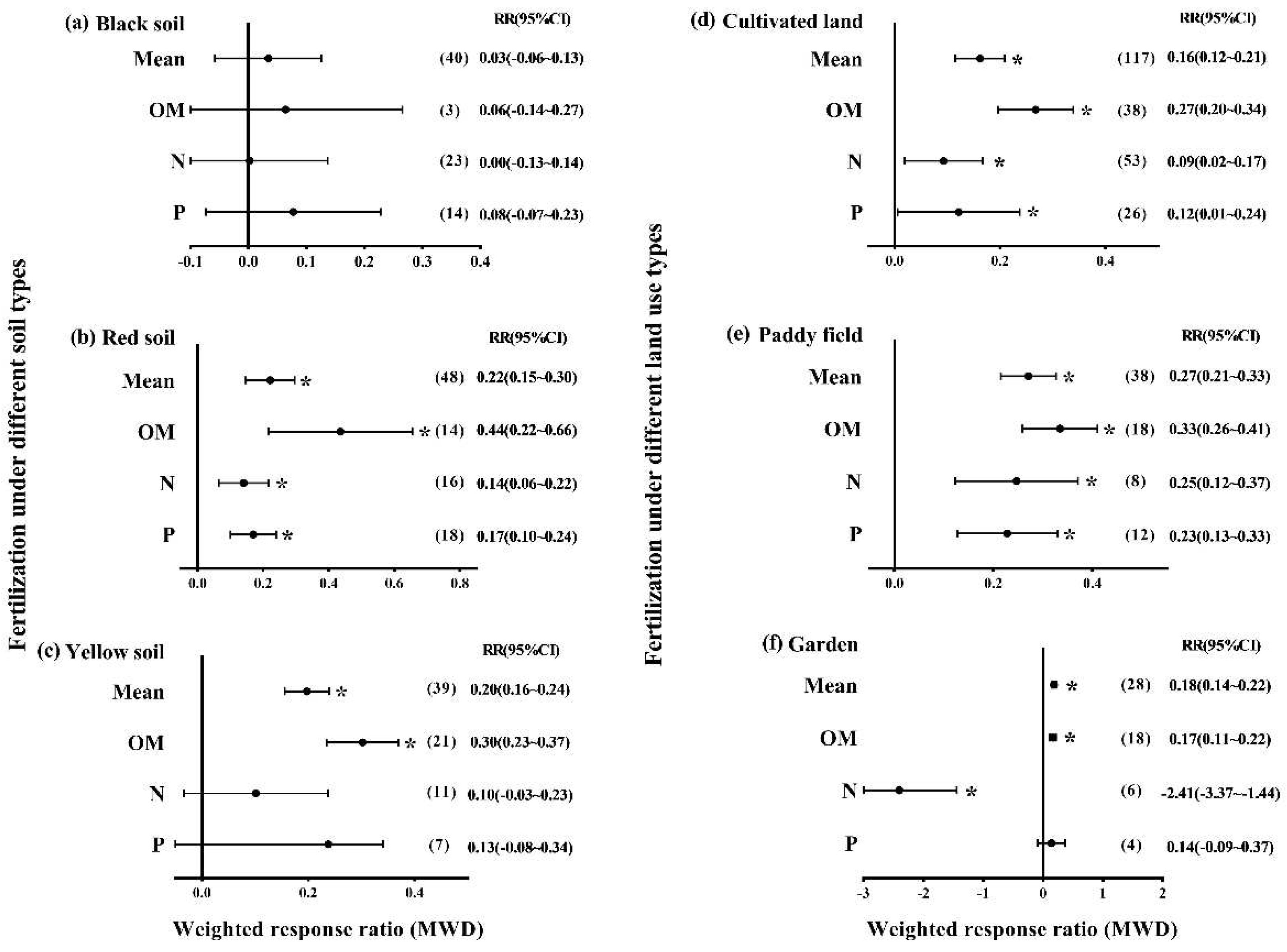
The addition of P, N, or OM did not significantly (p > 0.05) increase or decrease MWD in black soil (Figure 3a). On the contrary, the addition of P, N, or OM had a significant (p < 0.05) positive effect on the increase of MWD in red soil (Figure 3b). And the addition of organic fertilizer increased MWD more than phosphorus and nitrogen, which were 44%, 17% and 14%, respectively. Furthermore, only the addition of organic fertilizer significantly (p < 0.05) increased MWD by 30% in yellow soil (Figure 3c). In general, the addition of P, N, or OM in red soil increased MWD more than that in black and yellow soil.
In land use types, the MWD response in paddy field (weighted RR: 0.27, p < 0.05) was significantly greater than those in garden (weighted RR: 0.18, p < 0.05) and cultivated land (weighted RR: 0.16, p < 0.05) (Figure 3d–f). The addition of organic fertilizer significantly (p < 0.05) increased MWD more than phosphorus and nitrogen, which were 27%, 12% and 9% in cultivated land (Figure 3d), respectively. The addition of P, N, or OM had a significant (p < 0.05) positive effect on the increase of MWD in paddy field (Figure 3e). Furthermore, the addition of organic fertilizer significantly (p < 0.05) increased MWD by 17%, while the addition of N significantly (p < 0.05) decreased MWD by 241% in garden (Figure 3f).
Figure 3. The weighted response ratios of mean weight diameter (MWD) to different P, N, and OM fertilizers addition levels in the black soil (a), red soil (b), yellow soil (c), cultivated land (d), paddy field (e) and garden (f). The numbers are the numbers of data points (n). The * symbol indicates statistical significance (p < 0.05).
Figure 3. The weighted response ratios of mean weight diameter (MWD) to different P, N, and OM fertilizers addition levels in the black soil (a), red soil (b), yellow soil (c), cultivated land (d), paddy field (e) and garden (f). The numbers are the numbers of data points (n). The * symbol indicates statistical significance (p < 0.05).
Preprints 73778 g003
Figure 4. Relationships of the response ratio of mean weight diameter (MWD) with mean annual precipitation (MAP, panel a) and mean annual temperature (MAT, panel b).
Figure 4. Relationships of the response ratio of mean weight diameter (MWD) with mean annual precipitation (MAP, panel a) and mean annual temperature (MAT, panel b).
Preprints 73778 g004

3.3. The Correlations of the Response of MWD with Soil and Meteorological Factors

A linear relationship was found between the RR of MWD and mean annual precipitation (MAP) (r = 0.2133, p = 0.0044) and mean annual temperature (MAT) (r = 0.1535, p = 0.0484). When the MAP and MAT were close to 434 mm and 3.7 °C, respectively, P, N, or OM addition had the strongest stimulating effect on RR of MWD (Figure 4a,b). The RR of MWD exhibited significant negative relationships with the RR of pH (Figure 5a, r = −0.5717, p = 0.0068) and bulk density (BD, Figure 5b, r = −0.2962, p = 0.0005), and significant positive relationships with the RR of soil organic carbon (SOC, Figure 5c, r = 0.2054, p = 0.0364) and microbial biomass carbon (MBC, Figure 5d, r = 0.5397, p = 0.0208). Moreover, the RR of MWD were positively (r = 0.4671, p = 0.0438) correlated with soil pH (Figure 5e) and showed a negative linear relationship (r = −0.3648, p = 0.0162) with BD (Figure 5f). In addition, the RR of MWD exhibited significant positive relationships with SOC (Figure 5g, r = 0.2143, p = 0.0323), and a negative linear relationship was found between the RR of MWD and MBC (r = −0.5187, p = 0.0476), exhibiting a downward trend with increasing MBC (Figure 5h).

3.4. Path Analysis of Influencing Factors of MWD Response

In this study, PLS-SEM model was used to analyze the response factors of soil stability to P, N and organic fertilizer addition, and the adaptation parameters of our conceptual model are 0.016 SRMR and 1.781 Chi-square, which prove that the model data are reliable. We found that soil pH, soil organic carbon (SOC), average annual temperature (MAT), average annual rainfall (MAP), bulk density (BD) and microbial biomass nitrogen (MBC) all had certain effects on the stability of soil aggregates (MWD) (standardized path coefficient (SPC), SPC = 0.047, 0.131, 0.344, 0.330, 0.022, 0.039). The bulk density and soil organic carbon influence each other negatively. Soil organic carbon and microbial biomass nitrogen also negatively affected each other. In general, the average annual temperature had a great influence on the stability of soil aggregates (SPC = 0.344), and the average annual rainfall was a secondary factor (SPC = 0.330) (Figure 6).

4. Discussion

4.1. Response of MWD to P, N and OM Addition

Mean weight diameter (MWD) is an index of the stability of soil aggregates, which indicates the stability of soil structure and soil erosion resistance (Liu et al., 2014). With 220 independent observations, the soil and climate responses to P, N or OM addition were examined and the potential mechanisms by which soil and climate factors regulate P, N or OM-induced changes in MWD were discussed. The results of the Meta-analysis showed that the addition of P, N or OM had a significant effect on MWD, indicating that the addition of P, N or OM affected soil structure and in turn soil quality. This outcome is consistent with the results of previous studies (Tuo et al., 2017; Zhang et al., 2021a).
The stability of soil aggregates is highly dependent on the type and extent of fertilizer application. For the different fertilizer types, our study showed that P, N or OM fertilizer treatments significantly increased MWD, with OM significantly expediting the increase in MWD, which is consistent with the results of Hati et al. (2008). The difference in results is because the fact that organic manure provided sufficient carbon and nutrients for microbial growth and reproduction, which led to a strong positive excitation effect, and therefore affected the stability of soil aggregates. Wang et al. (2010) found that the long-term treatment with manure significantly enhanced the tendency of water-stable micro-agglomerates to aggregate into water-stable macro-aggregates. Among Zhang et al. (2021c) and Karami et al. (2012) also found that the addition of organic fertilizer to chemical fertilizer significantly raised the MWD value of soil agglomerates. Moreover some reported that the stability of >0.25 mm soil aggregates under organic fertilizer treatment was greater than that of nitrogen fertilizer alone. This may be because organic manures increase the role of soil organic cement in the agglomeration process and boost soil aggregate formation (Mustafa et al., 2020).
In addition, P and N fertilizers alone also contributed significantly to the stability of soil aggregates, probably owing to the enhancement of soil microbial activity and enhanced breakdown of organic matter by the application of phosphorus or nitrogen fertilizers respectively. It has been reported that the complex salt-based effect of phosphate fertilizer application improves colloidal material (Bindraban et al., 2020). Wang et al. (2018) also reported that nitrogen fertilizer application could promote macro-agglomerate formation by alleviating the limitation of soil microorganisms such as actinomycetes by nitrogen.
For different fertilizer levels, MWD increased by 9% and 19% for the ultra-low phosphorus and low phosphorus amount treatments, of which the MWD increased by 10% and 19%, respectively. This was consistent with the findings of Zhang et al. (2021a) that agglomerate stability decreases with increasing phosphorus fertilizer. Blanco-Canqui et al. (2013) also found that the quality of soil aggregates decreases with decreasing rates of over-application of phosphorus fertilizer. Therefore, long-term mono-application of phosphorus fertilizer tends to lead to nitrogen deficit and land degradation. MWD increased by 14% in both the high and medium nitrogen fertilizer treatments. This phenomenon may be related to the addition of nitrogen-inducing cementing substances. It has been found that high N fertilizer application caused smaller particles in the soil to gel into large water-stable soil aggregates, which were associated with substances such as root systems and secretions (Majumder et al., 2010). In the case of both high and low organic fertilizer treatments, the MWD was increased, with the ultra-low organic fertilizer treatment showing the greatest increase of 41%. Contrary to the results of existing studies, Gao et al. (2010) and Zhao et al. (2023) concluded that the mean weight diameter of soil aggregates was higher in high-volume organic fertilizer than in low and medium-volume organic fertilizer. This may be because high organic fertilizer application reduces soil bulk, increases soil porosity, leads to increased microbial activity, accelerates organic carbon decomposition within soil aggregates, reduces cementitious material and thus affects soil aggregate formation and stability. Oorts et al. (2007) suggested that soil aggregate content and stability were significantly and positively correlated with soil fertility levels. However, it was also believed that the application of chemical fertilizer alone would accelerate the mineralization of soil organic matter by soil microorganisms and cause soil slumping and destruction of soil aggregate structure, which would not be conducive to the survival of soil aggregate stability (Zhang et al., 2021c). For example, long-term application of chemical fertilizers led to soil slumping in paddy soils, while application of organic fertilizer significantly improved soil aggregate stability (Guo et al., 2019). It shows that changes in fertilizers application patterns affect the process of soil agglomeration formation and alter soil agglomeration structure and stability.

4.2. Differences between Soil Aggregate Stability under Different Soil Types and Land Use Types

The effect of different fertilizer applications on the stability of soil aggregates varies between soil types. Our results found that N, P and organic fertilizer additions only showed a significant increase in response to MWD in red soils and largely insignificant in black and yellow soils. This suggests that black and yellow soils treated with N or P fertilizers alone are less susceptible to the formation of large agglomerates and have lower soil stability, which may lead to soil structural degradation. Soil aggregates were mainly influenced by organic fertilizer, but not chemical fertilizers (Huang et al., 2007). For example, Li et al. (2019) found that organic fertilizer significantly increased the proportion of soil aggregates >2 mm and MWD values in red soils. Di et al. (2014) also found that organic fertilizer significantly increased the content of stable large aggregates (>2 mm) and larger aggregates (0.252 mm) in a red soil paddy soil, while chemical fertilizer application had little effect on soil stability and even reduced soil aggregate stability. That may be explained by the fact that red loamy rice soils with clay minerals are mainly dominated by iron and aluminum oxides, which are more compact and less water-stable (Zhou et al., 2012). Furthermore, contrary to the results of this study, Zhang et al. (2020) found that organic fertilizer significantly reduced the proportion of soil aggregates with particle size >2 mm and MWD values in black soils, while chemical fertilizer application had no significant effect on the proportion of soil aggregates distributed by particle size. Zhang et al. (2021b) found that both chemical and organic fertilizer applications alone increased soil aggregate content in a black soil study. Yuan et al. (2019) also found that organic fertilizer accelerated the turnover of macro-agglomerates in black soils and that the rate of macro-agglomerate turnover increased with increasing organic fertilizer application. It suggests that different soil types and fertility differences, and others, have a great influence on soil agglomerate distribution, which may be explained by the fact that different types of soil aggregates form different cementing substances and quantities, resulting in an inconsistent response of soil aggregate stability to fertilizer application under different soil types.
Increasing the organic matter content by changing the land use pattern could promote the aggregation of soil aggregates (Yuan et al., 2012; Zhu et al., 2021). Our study found that N, P and OM treatments significantly increased MWD under cultivated and paddy land, while N fertilizer treatments significantly decreased MWD in gardens. This phenomenon was inconsistent with the results of existing studies. For instance, Qi et al. (2011) found no significant differences in the structural characteristics of soil stability aggregates in farmland compared to gardens and orchards. However, Shao et al. (2011) found that the combination of organic and inorganic fertilizers in cultivated land facilitated soil organic carbon accumulation and significantly increased soil fertility. Different fertilizer treatments reported by Fan et al. (2015) on paddy soils had significant effects on the mean weight diameter of water-stable aggregates. This may be caused by damage to soil structure due as a result of anthropogenic disturbances such as cropping systems and tillage. Moreover, Luo et al. (2003) found that by studying the effect of different land use practices on the content of water-stable macro-agglomerates, the trend of soil agglomerate content was: wasteland > forest land > garden land > cultivated land. These suggest that land use by human activities may directly damage macro-magnets on the one hand, and alter the soil environment on the other, thus affecting plant growth and microbial activity and inhibiting the formation and stabilization of micro magnets (Six et al., 2004).

4.3. Correlation and Path Analysis of MWD Responses with Soil and Meteorological Factors

Soil physical and chemical properties can be an important index of soil fertility and soil quality. Our study found that the response ratio of MWD was greatest for rainfall of 434 mm and temperature of 3.7 °C, and average annual temperature and average annual rainfall are the main and secondary factors of soil aggregate stability, respectively. It indicating that stronger rainfall increases the striking force of raindrops on soil and increases the degree of dispersion between soil particles. In addition, excessive rainfall also generates an anaerobic environment, which in turn leads to possible limitation of soil microbial activity and possible dry-wet alternation aggravating the damage to soil aggregate stability (Xu et al., 2017). Long-term fertilizer treatments also had a significant effect on soil pH, with a negative relationship between soil pH and WMD response ratio and a significant increase in MWD in alkaline soils compared to acidic soils. Consistent with the results of existing studies, the addition of organic fertilizer may increase soil pH compared to chemical fertilizer treatments (Ozlu and Kumar, 2018). He et al. (2019) also found that organic fertilizer and pH affect iron and aluminum oxides, which in turn affects soil aggregate stability. This is also possible because soil pH affects the structure of soil aggregates by influencing other clay minerals (Fonte et al., 2009; Rasool et al., 2007). Many studies have found that fertilizer application reduces soil bulk density and increases soil porosity, and it is believed that organic and inorganic fertilizers are more effective when applied in combination (Bassouny and Chen, 2016; Tang et al., 2020), which consistent with the results of the study. The application of organic fertilizer can reduce soil bulk and compactness, increase soil cement and promote soil agglomeration (Schjønning et al., 2002).
This study showed a positive correlation between organic matter content and the number and stability of soil aggregates, which was consistent with the results of existing studies. For example, Yao et al. (2020) found a linear correlation between soil organic matter and MWD of water-stable soil aggregates. Geng et al. (2010) found that long-term application of inorganic fertilizer increased the organic carbon content of aggregates, while organic fertilizer application accelerated the agglomeration of small aggregates into large aggregates. Organic matter increases the hydrophobicity of soil aggregates and reduces the damage to soil aggregates caused by air filling in soil particles (Beare et al., 1994). However, there are contrary findings, for example, some found that the relationship between soil organic carbon and MWD was not significant or negatively correlated (Spaccini et al., 2004). This is because the formation, stability and turnover of agglomerates are influenced by a variety of factors such as physical intercalation and entanglement of roots, gelling of root secretions and inter-root microbial activity, in addition to soil organic matter. Microbial biomass promotes soil aggregation through the production of polysaccharides and mycelium (Bedini et al., 2009). Besides, long-term fertilizer application may inhibit microbial biomass, leading to a significant reduction in microbial mass carbon (MBC) (Treseder, 2008), but as MBC decreases the stability of soil aggregates increases, consistent with the results of this study. The response of different fertilizer types to MWD under the influence of MBC varied. N fertilizer alone caused a decrease in soil microbial mass carbon, while long-term organic fertilizer treatment led to an increase in microbial mass carbon relative to chemical fertilizer and no fertilizer treatments, resulting in different levels of cementing material affecting soil aggregate aggregation (De Figueiredo and Ramos, 2009; Hu et al., 2023).

5. Conclusions

Meta-analysis showed that organic fertilizer treatments stimulated MWD more than phosphorus and nitrogen fertilizers and that organic fertilizer addition promoted the role of soil organic cement in the agglomeration process, which in turn influenced soil aggregate formation. Low amounts of organic fertilizer (<5000 kg·hm−2·yr−1), high N (>120 kg·hm−2·yr−1) and low P (<40 kg·hm−2·yr−1) treatments stimulated MWD more than different levels of fertilizer application. High N fertilization can cement smaller particles in the soil into large water-stable soil aggregates, while low levels of organic fertilization may lead to increased microbial activity, accelerating the decomposition of organic carbon within soil aggregates and reducing cemented material, which in turn affects soil aggregate aggregation and stability. In addition, the stimulating effect of red soils on MWD was significantly higher than that of loess and black soils. The stimulation of MWD was also higher in paddy fields than in gardens and cultivated fields, indicating that anthropogenic disturbance was more sensitive to phosphorus, nitrogen and organic fertilizer addition in response to MWD. Meanwhile, annual mean temperature and annual mean rainfall were the main and secondary factors affecting soil aggregate stability in response to fertilization. Overall, organic fertilizer additions had the greatest stimulatory effect on MWD compared to chemical fertilizers, as they provide an adequate source of carbon and nutrients for microorganisms. Therefore, organic fertilizer substitution for some chemical fertilizers is more effective than chemical fertilizer application alone in terms of fertilization and better stabilization of soil aggregates, and more attention should be paid to the effect of temperature and rainfall on the stability of soil aggregates in response to fertilization.

Author Contributions

literature collection and pretreatment: Xiaolan Liu, Jigen Liu, Yanfei Chen, Yujie Qi and Lu Zhang; data extraction: Xiaolan Liu, Jigen Liu, Weiwen Li and Yi Zhu; statistical analysis: Xiaolan Liu and Yanfei Chen; writing—original draft: Xiaolan Liu and Jinquan Huang; writing—review and editing: Xiaolan Liu and Jinquan Huang.

Acknowledgments

This study was funded by the National Natural Science Foundation of China (U19A2047,42077062,41501298) and the Central Public-interest Scientific Institution Basal Research Fund of Yangtze River Scientific Research Institute (CKSF2023315/TB).

Conflicts of Interest

We declare that we do not have any commercial or associative interest that represents a conflflict of interest in connection with the work submitted.

Abbreviations

nitrogen, N;
phosphate, P;
organic fertilizer, OM;
mean weight diameter, MWD;
bulk density, BD;
soil organic carbon, SOC;
microbial mass carbon, MBC;
response ratio, RR;
mean annual precipitation, MAP;
mean annual temperature, MAT;
standardized path coefficient, SPC.

References

  1. Almajmaie, A.; Hardie, M.; Acuña, T.; Birch, C. Evaluation of methods for determining soil aggregate stability. Soil and Tillage Research 2017, 167, 39–45. [Google Scholar] [CrossRef]
  2. Bassouny, M.; Chen, J.Z. Effect of long-term organic and mineral fertilizer on physical properties in root zone of a clayey Ultisol. Archives of Agronomy and Soil Science 2016, 62, 819–828. [Google Scholar] [CrossRef]
  3. Beare, M.H.; Hendrix, P.F.; Coleman, D.C. Water-stable aggregates and organic matter fractions in conventional and no-tillage soils. Soil Science Society of America Journal 1994, 58, 777–786. [Google Scholar] [CrossRef]
  4. Bedini, S.; Pellegrino, E.; Avio, L.; Pellegrini, S.; Bazzoffi, P.; Argese, E.; Giovannetti, M. Changes in soil aggregation and glomalin-related soil protein content as affected by the arbuscular mycorrhizal fungal species Glomus mosseae and Glomus intraradices. Soil Biology and Biochemistry 2009, 41, 1491–1496. [Google Scholar] [CrossRef]
  5. Bindraban, P.S.; Dimkpa, C.O.; Pandey, R. Exploring phosphorus fertilizers and fertilization strategies for improved human and environmental health. Biology and Fertility of Soils 2020, 56, 299–317. [Google Scholar] [CrossRef]
  6. Blanco-Canqui, H.; Schlegel, A.J. Implications of inorganic fertilization of irrigated corn on soil properties: lessons learned after 50 years. Journal of Environmental Quality 2013, 42, 861–871. [Google Scholar] [CrossRef]
  7. Chen, X.F.; Li, Z.P.; Liu, M.; Jiang, C.Y. Effects of different fertilizations on organic carbon and nitrogen contents in water-stable aggregates and microbial biomass content in paddy soil of subtropical China. Scientia Agricultura Sinica 2013, 46, 950–960. [Google Scholar] [CrossRef]
  8. De Figueiredo, C.C.; Ramos, M.L.G. Soil microbial biomass and production of lettuce in function of dose of N and organic fertilizer. Biosciece Journal 2009, 25, 9–15. [Google Scholar]
  9. Di, J.Y.; Liu, X.F.; Du, Z.L.; Xiao, X.P.; Yang, G.L.; Ren, T.S. Effects of long-term fertilization on aggregate stability and carbon sequestration characteristics of red paddy soil. Chinese Journal of Eco-Agriculture 2014, 22, 1129–1138. [Google Scholar] [CrossRef]
  10. Fan, H.Z.; Qin, Y.S.; Chen, Q.R.; Chen, K.; Tu, S.H. Stability and carbon sequestration characteristics of aggregates in long-term fertilized purple paddy soil. Plant Nutrition and Fertilizer Journal 2015, 21, 1473–1480. [Google Scholar]
  11. Fonte, S.J.; Yeboah, E.; Ofori, P.; Quansah, G.W.; Vanlauwe, B.; Six, J. Fertilizer and residue quality effects on organic matter stabilization in soil aggregates. Soil Science Society of America Journal 2009, 73, 961–966. [Google Scholar] [CrossRef]
  12. Gao, F.; Jia, Z.K.; Han, Q.F.; Yang, B.P.; Nie, J.F. Effects of different application rates of organic fertilizer on soil aggregate size distribution and stability in southern Ningxia. Agricultural Research in Arid Areas 2010, 28, 100–106. [Google Scholar]
  13. Geng, R.L.; Yu, H.Y.; Ding, W.X.; Cai, Z.C. Effects of long-term application of organic and inorganic fertilizers on aquic soil aggregates and their organic carbon content. Soils 2010, 42, 908–914. [Google Scholar]
  14. Guo, Z.L.; Zhang, L.C.; Yang, W.; Hua, L.; Cai, C.F. Aggregate stability under long-term fertilization practices: The case of eroded Ultisols of South-Central China. Sustainability 2019, 11, 1169. [Google Scholar] [CrossRef]
  15. Hati, K.M.; Swarup, A.; Mishra, B.; Manna, M.C.; Wanjari, R.H.; Mandal, K.G.; Misra, A.K. Impact of long-term application of fertilizer, manure and lime under intensive cropping on physical properties and organic carbon content of an Alfisol. Geoderma 2008, 148, 173–179. [Google Scholar] [CrossRef]
  16. He, Y.; Gu, F.; Xu, C.; Chen, J. Influence of iron/aluminum oxides and aggregates on plant available water with different amendments in red soils. Journal of Soil and Water Conservation 2019, 74, 145. [Google Scholar] [CrossRef]
  17. Hu, Q.Y.; Liu, T.Q.; Ding, H.N.; Li, C.F.; Tan, W.F.; Yu, M.; Liu, J.; Cao, C.G. Effects of nitrogen fertilizer on soil microbial residues and their contribution to soil organic carbon and total nitrogen in a rice-wheat system. Applied Soil Ecology 2023, 181. [Google Scholar] [CrossRef]
  18. Huang, Q.R.; Hu, F.; Yuan, Y.H.; Liu, M.Q.; Li, H.X. Effects of long-term fertilization on aggregate characteristics of red paddy soil. Soils 2007, 39, 608–613. [Google Scholar]
  19. Huang, S.; Peng, X.X.; Huang, Q.R.; Zhang, W.J. Soil aggregation and organic carbon fractions affected by long-term fertilization in a red soil of subtropical China. Geoderma 2010, 154, 364–369. [Google Scholar] [CrossRef]
  20. Karami, A.; Homaee, M.; Afzalinia, S.; Ruhipour, H.; Basirat, S. Organic resource management: Impacts on soil aggregate stability and other soil physico-chemical properties. Agriculture, Ecosystems & Environment 2012, 148, 22–28. [Google Scholar] [CrossRef]
  21. Kushwaha, C.P.; Tripathi, S.K.; Singh, K.P. Soil organic matter and water-stable aggregates under different tillage and residue conditions in a tropical dryland agroecosystem. Applied Soil Ecology 2001, 16, 229–241. [Google Scholar] [CrossRef]
  22. Li, C.Z.; Aluko, O.O.; Yuan, G.; Li, J.Y.; Liu, H.B. The responses of soil organic carbon and total nitrogen to chemical nitrogen fertilizers reduction base on a meta-analysis. Scientific Reports 2022, 12. [Google Scholar] [CrossRef] [PubMed]
  23. Li, F.Q.; Qiu, P.F.; Shen, B.; Shen, Q.R. Soil aggregate size modifies the impacts of fertilization on microbial communities. Geoderma 2019, 343, 205–214. [Google Scholar] [CrossRef]
  24. Liu, K.I. Comparison of carbon sequestration efficiency in soil aggregates between upland and paddy soils in a red soil region of China. Journal of Integrative Agriculture 2019, 18, 1348–1359. [Google Scholar] [CrossRef]
  25. Luo, D.Q.; Hou, C.X.; Wei, Z.F.; Xie, D.T.; Zhu, B. Study on corrosion resistance characteristics of purple soil aggregates. Journal of Soil and Water Conservation 2003, 17, 20–23, 27. [Google Scholar] [CrossRef]
  26. Ma, P.P.; Nan, S.Z.; Yang, X.G.; Qin, Y.; Ma, T.; Li, X.L.; Yu, Y.; Bodner, G. Macroaggregation is promoted more effectively by organic than inorganic fertilizers in farmland ecosystems of China—A meta-analysis. Soil and Tillage Research 2022, 221. [Google Scholar] [CrossRef]
  27. Majumder, B.; Ruehlmann, J.; Kuzyakov, Y. Effects of aggregation processes on distribution of aggregate size fractions and organic C content of a long-term fertilized soil. European Journal of Soil Biology 2010, 46, 365–370. [Google Scholar] [CrossRef]
  28. Mustafa, A.; Minggang, X.; Ali Shah, S.A.; Abrar, M.M.; Nan, S.; Baoren, W.; Zejiang, C.; Saeed, Q.; Naveed, M.; Mehmood, K.; Núñez-Delgado, A. Soil aggregation and soil aggregate stability regulate organic carbon and nitrogen storage in a red soil of southern China. Journal of Environmental Management 2020, 270. [Google Scholar] [CrossRef]
  29. Oorts, K.; Bossuyt, H.; Labreuche, J.; Merckx, R.; Nicolardot, B. Carbon and nitrogen stocks in relation to organic matter fractions, aggregation and pore size distribution in no-tillage and conventional tillage in northern France. European Journal of Soil Science 2007, 58, 248–259. [Google Scholar] [CrossRef]
  30. Ozlu, E.; Kumar, S. Response of soil organic carbon, pH, electrical conductivity, and water stable aggregates to long-term annual manure and Inorganic fertilizer. Soil Science Society of America Journal 2018, 82, 1243–1251. [Google Scholar] [CrossRef]
  31. Post, W.M.; Kwon, K.C. Soil carbon sequestration and land-use change: processes and potential. Global Change Biology 2000, 6, 317–328. [Google Scholar] [CrossRef]
  32. Qi, Y.C.; Wang, Y.Q.; Liu, J. Study on composition and stability of soil aggregates in Guanzhong Area. Shaanxi Journal of Agricultural Sciences 2011, 57, 66–69. [Google Scholar] [CrossRef]
  33. Rasool, R.; Kukal, S.S.; Hira, G.S. Soil physical fertility and crop performance as affected by long term application of FYM and inorganic fertilizers in rice–wheat system. Soil and Tillage Research 2007, 96, 64–72. [Google Scholar] [CrossRef]
  34. Řezáčová, V.; Czakó, A.; Stehlík, M.; Mayerová, M.; Šimon, T.; Smatanová, M.; Madaras, M. Organic fertilization improves soil aggregation through increases in abundance of eubacteria and products of arbuscular mycorrhizal fungi. Scientific Reports 2021, 11. [Google Scholar] [CrossRef] [PubMed]
  35. Russell, A.E.; Laird, D.A.; Parkin, T.B.; Mallarino, A. Impact of nitrogen fertilization and cropping system on carbon sequestration in Midwestern Mollisols. Soil Science Society of America Journal 2005, 69, 413–422. [Google Scholar] [CrossRef]
  36. Schjønning, P.; Elmholt, S.; Munkholm, L.J.; Debosz, K. Soil quality aspects of humid sandy loams as influenced by organic and conventional long-term management. Agriculture, Ecosystems & Environment 2002, 88, 195–214. [Google Scholar] [CrossRef]
  37. Shao, X.H.; Xu, J.R.; Zhang, J.Z.; Li, H.F.; Zhou, T.L.; Zhang, H. Effects of long-term fertilization on fertility and enzyme activity of dryland red soil. Journal of Ecological Environment 2011, 20, 266–269. [Google Scholar] [CrossRef]
  38. Six, J.; Bossuyt, H.; Degryze, S.; Denef, K. A history of research on the link between (micro)aggregates, soil biota, and soil organic matter dynamics. Soil and Tillage Research 2004, 79, 7–31. [Google Scholar] [CrossRef]
  39. Sodhi, G.P.S.; Beri, V.; Benbi, D.K. Soil aggregation and distribution of carbon and nitrogen in different fractions under long-term application of compost in rice–wheat system. Soil & Tillage Research 2009, 103, 412–418. [Google Scholar] [CrossRef]
  40. Spaccini, R.; Mbagwu, J.S.C.; Igwe, C.A.; Conte, P.; Piccolo, A. Carbohydrates and aggregation in lowland soils of Nigeria as influenced by organic inputs. Soil and Tillage Research 2004, 75, 161–172. [Google Scholar] [CrossRef]
  41. Sun, T.C.; Li, S.Q.; Shao, M.A. Effects of long-term fertilization on distribution of organic matters and nitrogen in cinnamon soil macro-aggregates. Agricultural Sciences in China 2005, 4, 857–864. [Google Scholar]
  42. Tang, H.M.; Li, C.; Xiao, X.P.; Pan, X.C.; Cheng, K.K.; Shi, L.H.; Li, W.Y.; Wen, L.; Wang, K. Effects of long-term fertiliser regime on soil organic carbon and its labile fractions under double cropping rice system of southern China. Acta Agriculturae Scandinavica Section B-Soil and Plant Science 2020, 70, 409–418. [Google Scholar] [CrossRef]
  43. Tang, X.; Qiu, J.C.; Xu, Y.Q.; Li, J.H.; Chen, J.H.; Li, B.; Lu, Y. Responses of soil aggregate stability to organic C and total N as controlled by land-use type in a region of south China affected by sheet erosion. CATENA 2022, 218. [Google Scholar] [CrossRef]
  44. Tian, S.Y.; Zhu, B.J.; Yin, R.; Wang, M.W.; Jiang, Y.J.; Zhang, C.Z.; Li, D.M.; Chen, X.Y.; Kardol, P.; Liu, M.Q. Organic fertilization promotes crop productivity through changes in soil aggregation. Soil Biology and Biochemistry 2022, 165. [Google Scholar] [CrossRef]
  45. Tisdall, J.M.; Oades, J.M. Organic matter and water-stable aggregates in soils. Journal of Soil Science 1982, 33, 141–163. [Google Scholar] [CrossRef]
  46. Treseder, K.K. Nitrogen additions and microbial biomass: a meta-analysis of ecosystem studies. Ecology Letters 2008, 11, 1111–1120. [Google Scholar] [CrossRef] [PubMed]
  47. Tuo, D.F.; Xu, M.X.; Li, Q.; Liu, S.H. Soil aggregate stability and associated structure affected by long-term fertilization for a Loessial soil on the Loess Plateau of China. Polish Journal of Environmental Studies 2017, 26, 827–835. [Google Scholar] [CrossRef] [PubMed]
  48. Verchot, L.V.; Dutaur, L.; Shepherd, K.D.; Albrecht, A. Organic matter stabilization in soil aggregates: Understanding the biogeochemical mechanisms that determine the fate of carbon inputs in soils. Geoderma 2011, 161, 182–193. [Google Scholar] [CrossRef]
  49. Wang, C.J.; Pan, G.X.; Tian, Y.G.; Li, L.Q.; Zhang, X.H.; Han, X.J. Changes in cropland topsoil organic carbon with different fertilizations under long-term agro-ecosystem experiments across mainland China. Sci China Life Sci 2010, 53, 858–867. [Google Scholar] [CrossRef]
  50. Wang, Y.D.; Wang, Z.L.; Zhang, Q.Z.; Hu, N.; Li, Z.F.; Lou, Y.L.; Li, Y.; Xue, D.M.; Chen, Y.; Wu, C.Y.; Zou, C.B.; Kuzyakov, Y. Long-term effects of nitrogen fertilization on aggregation and localization of carbon, nitrogen and microbial activities in soil. Science of The Total Environment 2018, 624, 1131–1139. [Google Scholar] [CrossRef]
  51. Whalen, J.K.; Chang, C. Macroaggregate characteristics in cultivated soils after 25 annual manure applications. Soil Science Society of America Journal 2002, 66, 1637–1647. [Google Scholar] [CrossRef]
  52. Xu, J.; Tang, Y.Q.; Zhou, J. Effect of drying–wetting cycles on aggregate breakdown for yellow–brown earths in karst areas. Geoenvironmental Disasters 2017, 4, 20. [Google Scholar] [CrossRef]
  53. Yao, Y.F.; Liu, J.; Wang, Z.; Wei, X.R.; Zhu, H.S.; Fu, W.; Shao, M.G. Responses of soil aggregate stability, erodibility and nutrient enrichment to simulated extreme heavy rainfall. Science of The Total Environment 2020, 709. [Google Scholar] [CrossRef] [PubMed]
  54. Yu, H.Y.; Ding, W.X.; Luo, J.F.; Geng, R.L.; Cai, Z.C. Long-term application of organic manure and mineral fertilizers on aggregation and aggregate-associated carbon in a sandy loam soil. Soil and Tillage Research 2012, 124, 170–177. [Google Scholar] [CrossRef]
  55. Yuan, Y.R.; Han, X.Z.; Li, L.J.; Li, N. Land use effects on soil aggregation and total organic carbon and polysaccharides in aggregates of a Chinese Mollisol. Journal of Food Agriculture & Environment 2012, 10, 1386–1391. [Google Scholar]
  56. Yuan, Y.R.; Zou, W.X.; Hao, X.X.; Li, N.; You, M.Y.; Han, X.Z. Response of black soil aggregate bound carbon to different organic fertilizer application rates. Acta ecologica sinica 2019, 39, 3235–3242. [Google Scholar] [CrossRef]
  57. Zhang, H.Y.; Niu, L.A.; Hu, K.L.; Hao, J.M.; Li, F.; Wang, X.; Chen, H. Long-term effects of nitrogen and phosphorus fertilization on soil aggregate stability and aggregate-associated carbon and nitrogen in the North China Plain. Soil Science Society of America Journal 2021, 85, 732–745. [Google Scholar] [CrossRef]
  58. Zhang, J.; Wei, D.; Zhou, B.K.; Zhang, L.J.; Hao, X.Y.; Zhao, S.C.; Xu, X.P.; He, P.; Zhao, Y.; Qiu, S.J.; Zhou, W. Responses of soil aggregation and aggregate-associated carbon and nitrogen in black soil to different long-term fertilization regimes. Soil & Tillage Research 2021, 213. [Google Scholar] [CrossRef]
  59. Zhang, L.L.; Xu, X.X.; Feger, K.-H.; Wang, Y.H.; Liu, W.Z.; Schwärzel, K. Impact of land-use changes on soil hydraulic properties of Calcaric Regosols on the Loess Plateau, NW China. Journal of Plant Nutrition and Soil Science 2015, 178, 486–498. [Google Scholar] [CrossRef]
  60. Zhang, X.Z.; Li, Q.; Gao, H.J.; Peng, C.; Zhu, P.; Gao, Q. Effects of long-term fertilization on stability of water-stable aggregates and distribution of organic carbon in black soil. Scientia Agricultura Sinica 2020, 53, 1214–1223. [Google Scholar] [CrossRef]
  61. Zhang, Y.; E, S.Z.; Wang, Y.N.; Su, S.M.; Bai, L.Y.; Wu, C.X.; Zeng, X.B. Long-term manure application enhances the stability of aggregates and aggregate-associated carbon by regulating soil physicochemical characteristics. CATENA 2021, 203. [Google Scholar] [CrossRef]
  62. Zhao, Z.H.; Mao, Y.L.; Gao, S.F.; Lu, C.Y.; Pan, C.J.; Li, X.Y. Organic carbon accumulation and aggregate formation in soils under organic and inorganic fertilizer management practices in a rice–wheat cropping system. Scientific Reports 2023, 13, 3665. [Google Scholar] [CrossRef]
  63. Zhou, H.; Peng, X.; Peth, S.; Xiao, T.Q. Effects of vegetation restoration on soil aggregate microstructure quantified with synchrotron-based micro-computed tomography. Soil and Tillage Research 2012, 124, 17–23. [Google Scholar] [CrossRef]
  64. Zhou, L.Y.; Zhou, X.H.; Zhang, B.C.; Lu, M.; Luo, Y.Q.; Liu, L.L.; Li, B. Different responses of soil respiration and its components to nitrogen addition among biomes: a meta-analysis. Global Change Biology 2014, 20, 2332–2343. [Google Scholar] [CrossRef] [PubMed]
  65. Zhou, M.; Liu, C.Z.; Wang, J.; Meng, Q.F.; Yuan, Y.; Ma, X.F.; Liu, X.B.; Zhu, Y.X.; Ding, G.W.; Zhang, J.Z.; Zeng, X.N.; Du, W.L. Soil aggregates stability and storage of soil organic carbon respond to cropping systems on Black Soils of Northeast China. Scientific Reports 2020, 10, 265. [Google Scholar] [CrossRef]
  66. Zhu, G.Y.; Shangguan, Z.P.; Deng, L. Variations in soil aggregate stability due to land use changes from agricultural land on the Loess Plateau, China. CATENA 2021, 200. [Google Scholar] [CrossRef]
Figure 1. Frequency distribution of the response ratios of mean weight diameter (MWD, panel a). The weighted response ratios of mean weight diameter (MWD, panel b) to different types of fertilization. The numbers are the numbers of data points (n). The * symbol indicates statistical significance (p < 0.05).
Figure 1. Frequency distribution of the response ratios of mean weight diameter (MWD, panel a). The weighted response ratios of mean weight diameter (MWD, panel b) to different types of fertilization. The numbers are the numbers of data points (n). The * symbol indicates statistical significance (p < 0.05).
Preprints 73778 g001
Figure 2. The weighted response ratios of mean weight diameter (MWD) to different fertilization addition levels in the N (a), P (b) and OM (c). The numbers are the numbers of data points (n). The * symbol indicates statistical significance (p < 0.05).
Figure 2. The weighted response ratios of mean weight diameter (MWD) to different fertilization addition levels in the N (a), P (b) and OM (c). The numbers are the numbers of data points (n). The * symbol indicates statistical significance (p < 0.05).
Preprints 73778 g002
Figure 5. Relationships of the response ratio of mean weight diameter (MWD) with the response ratio of pH (panel a), the response ratio of bulk density (BD, panel b), the response ratio of soil organic carbon (SOC, panel c), the response ratio of microbial biomass carbon (MBC, panel d), pH (panel e), BD (panel f), SOC (panel g) and MBC (panel h).
Figure 5. Relationships of the response ratio of mean weight diameter (MWD) with the response ratio of pH (panel a), the response ratio of bulk density (BD, panel b), the response ratio of soil organic carbon (SOC, panel c), the response ratio of microbial biomass carbon (MBC, panel d), pH (panel e), BD (panel f), SOC (panel g) and MBC (panel h).
Preprints 73778 g005
Figure 6. Relationship between factors: path coefficients are represented by numbers near the arrows. The solid line means the path coefficient is significant (p < 0.05), while the dashed line means the path coefficient is not significant (p > 0.05). Negative and positive effects are indicated by red and black arrows, respectively. NFI, SRMR and Chi-square are the model fitting parameters of PLS-SEM.
Figure 6. Relationship between factors: path coefficients are represented by numbers near the arrows. The solid line means the path coefficient is significant (p < 0.05), while the dashed line means the path coefficient is not significant (p > 0.05). Negative and positive effects are indicated by red and black arrows, respectively. NFI, SRMR and Chi-square are the model fitting parameters of PLS-SEM.
Preprints 73778 g006
Table 1. Data groups used in the Meta-analysis.
Table 1. Data groups used in the Meta-analysis.
Soil types Type of land use Type of fertilization P addition levels N addition levels OM addition levels
Black soil Cultivated land P >120 >120 >15000
Red soil Paddy field N 40−80 80−120 10000−15000
Yellow soil Garden OM <40 40−80 5000−10000
<40 <5000
Disclaimer/Publisher’s Note: The statements, opinions and data contained in all publications are solely those of the individual author(s) and contributor(s) and not of MDPI and/or the editor(s). MDPI and/or the editor(s) disclaim responsibility for any injury to people or property resulting from any ideas, methods, instructions or products referred to in the content.
Copyright: This open access article is published under a Creative Commons CC BY 4.0 license, which permit the free download, distribution, and reuse, provided that the author and preprint are cited in any reuse.
Prerpints.org logo

Preprints.org is a free preprint server supported by MDPI in Basel, Switzerland.

Subscribe

Disclaimer

Terms of Use

Privacy Policy

Privacy Settings

© 2026 MDPI (Basel, Switzerland) unless otherwise stated