Submitted:
05 May 2023
Posted:
06 May 2023
You are already at the latest version
Abstract
Keywords:
1. Introduction
2. Model
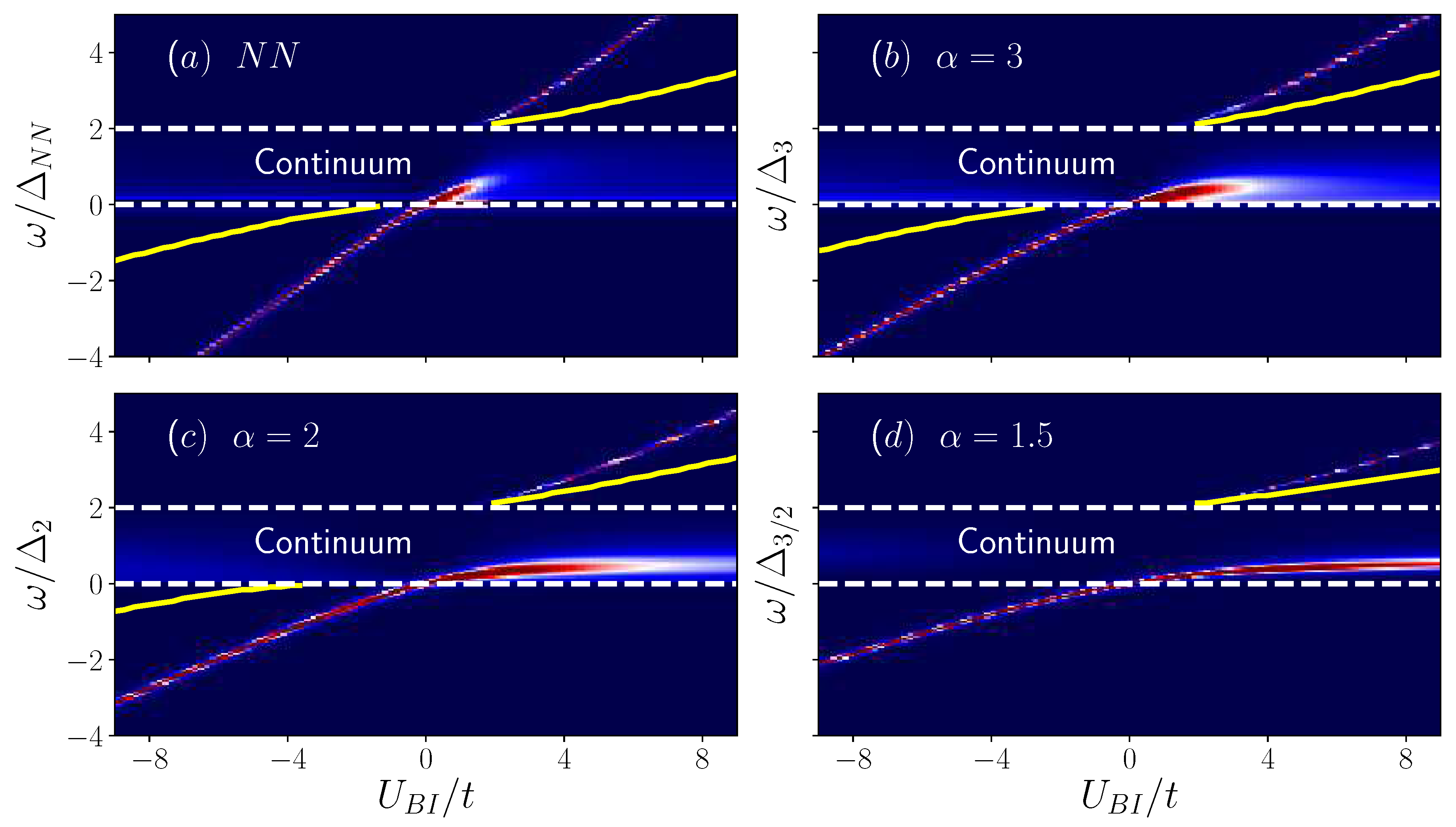
3. Single-particle Physics
4. Two-body Scattering
5. Impurity in a Bose-Einstein Condensate
6. Conclusions
Funding
Informed Consent Statement
Data Availability Statement
Acknowledgments
Conflicts of Interest
References
- Landau, L.; Pekar, S. Effective mass of a polaron. J. Exp. Theor. Phys. 1948, 18, 419–423. [Google Scholar]
- Pekar, S. Theory of electromagnetic waves in a crystal with excitations. J. Phys. Chem. Solids 1958, 5, 11–22. [Google Scholar] [CrossRef]
- Dagotto, E.; Moreo, A.; Barnes, T. Hubbard model with one hole: Ground-state properties. Phys. Rev. B 1989, 40, 6721. [Google Scholar] [CrossRef] [PubMed]
- Kane, C.L.; Lee, P.A.; Read, N. Motion of a single hole in a quantum antiferromagnet. Phys. Rev. B 1989, 39, 6880. [Google Scholar] [CrossRef] [PubMed]
- Jakubczyk, T.; Nogajewski, K.; Molas, M.R.; Bartos, M.; Langbein, W.; Potemski, M.; Kasprzak, J. Impact of environment on dynamics of exciton complexes in a WS2 monolayer. 2D Materials 2018, 5, 031007. [Google Scholar] [CrossRef]
- Singh, A.; Moody, G.; Tran, K.; Scott, M.E.; Overbeck, V.; Berghäuser, G.; Schaibley, J.; Seifert, E.J.; Pleskot, D.; Gabor, N.M.; Yan, J.; Mandrus, D.G.; Richter, M.; Malic, E.; Xu, X.; Li, X. Trion formation dynamics in monolayer transition metal dichalcogenides. Phys. Rev. B 2016, 93, 041401. [Google Scholar] [CrossRef]
- Sidler, M.; Back, P.; Cotlet, O.; Srivastava, A.; Fink, T.; Kroner, M.; Demler, E.; Imamoglu, A. Fermi polaron-polaritons in charge-tunable atomically thin semiconductors. Nature Physics 2016, 13, 255–261. [Google Scholar] [CrossRef]
- Takemura, N.; Trebaol, S.; Wouters, M.; Portella-Oberli, M.T.; Deveaud, B. Polaritonic Feshbach resonance. Nature Physics 2014, 10, 500–504. [Google Scholar] [CrossRef]
- Schirotzek, A.; Wu, C.-H.; Sommer, A.; Zwierlein, M. W. Observation of Fermi Polarons in a Tunable Fermi Liquid of Ultracold Atoms. Phys. Rev. Lett. 2009, 102, 230402. [Google Scholar] [CrossRef]
- Jørgensen, N.B.; Wacker, L.; Skalmstang, K.T.; Parish, M.M.; Levinsen, J.; Christensen, R.S.; Bruun, G.M.; Arlt, J.J. Observation of Attractive and Repulsive Polarons in a Bose-Einstein Condensate. Phys. Rev. Lett. 2016, 117, 055302. [Google Scholar] [CrossRef]
- Scazza, F.; Valtolina, G.; Massignan, P.; Recati, A.; Amico, A.; Burchianti, A.; Fort, C.; Inguscio, M.; Zaccanti, M.; Roati, G. Repulsive Fermi Polarons in a Resonant Mixture of Ultracold 6Li Atoms. Phys. Rev. Lett. 2017, 118, 083602. [Google Scholar] [CrossRef] [PubMed]
- Hu, M.-G.; Van de Graaff, M.J.; Kedar, D.; Corson, J.P.; Cornell, E.A.; Jin, D.S. Bose Polarons in the Strongly Interacting Regime. Phys. Rev. Lett. 2016, 117, 055301. [Google Scholar] [CrossRef] [PubMed]
- Naidon, P. Two Impurities in a Bose–Einstein Condensate: From Yukawa to Efimov Attracted Polarons. J. Phys. Soc. Jpn. 2018, 87, 043002. [Google Scholar] [CrossRef]
- Camacho-Guardian, A.; Peña Ardila, L.A.; Pohl, T.; Bruun, G.M. Bipolarons in a Bose–Einstein Condensate. Phys. Rev. Lett. 2018, 121, 013401. [Google Scholar] [CrossRef]
- Huber, D.; Hammer, H.W.; Volosniev, A.G. In-medium bound states of two bosonic impurities in a one-dimensional Fermi gas. Phys. Rev. Res. 2019, 1, 033177. [Google Scholar] [CrossRef]
- Deng, F.L.; Shi, T.; Yi, S. Effective interactions between two impurities in quasi-two-dimensional dipolar Bose–Einstein condensates. Commun. Theor. Phys. 2020, 72, 075501. [Google Scholar] [CrossRef]
- Ding, S.; Domínguez-Castro, G. A.; Julku, A.; Camacho-Guardian, A.; Bruun, G. M. Polarons and bipolarons in a two-dimensional square lattice. arXiv 2022, arXiv:2212.00890. [Google Scholar] [CrossRef]
- Ardila, L.A.; Pohl, T. Ground-state properties of dipolar Bose polarons. J. Phys. B At. Mol. Opt. Phys. 2018, 52, 015004. [Google Scholar] [CrossRef]
- Kain, B.; Ling, H.Y. Polarons in a dipolar condensate. Phys. Rev. A 2014, 89, 023612. [Google Scholar] [CrossRef]
- Nishimura, K.; Nakano, E.; Iida, K.; Tajima, H.; Miyakawa, T.; Yabu, H. Ground state of the polaron in an ultracold dipolar Fermi gas. Phys. Rev. A 2021, 103, 033324. [Google Scholar] [CrossRef]
- Guebli, N.; Boudjemâa, A. Effects of quantum fluctuations on the dynamics of dipolar Bose polarons. J. Phys. B At. Mol. Opt. Phys. 2019, 52, 185303. [Google Scholar] [CrossRef]
- Astrakharchik, G.E.; Ardila, L.A.P.; Schmidt, R.; Jachymski, K.; Negretti, A. Ionic polaron in a Bose–Einstein condensate. Commun. Phys. 2021, 4, 94. [Google Scholar] [CrossRef]
- Christensen, E.R.; Camacho-Guardian, A.; Bruun, G.M. Charged Polarons and Molecules in a Bose–Einstein Condensate. Phys. Rev. Lett. 2021, 126, 243001. [Google Scholar] [CrossRef] [PubMed]
- Astrakharchik, G.E.; Peña Ardila, L.A.; Jachymski, K.; Negretti, A. Many-body bound states and induced interactions of charged impurities in a bosonic bath. Nat. Commun. 2023, 14, 1647. [Google Scholar] [CrossRef]
- Ding, S.; Drewsen, M.; Arlt, J.J.; Bruun, G.M. Mediated Interaction between Ions in Quantum Degenerate Gases. Phys. Rev. Lett. 2022, 129, 153401. [Google Scholar] [CrossRef] [PubMed]
- Bruderer, M.; Klein, A.; Clark, S.R.; Jaksch, D. Polaron physics in optical lattices. Phys. Rev. A 2007, 76, 011605(R). [Google Scholar] [CrossRef]
- Bruderer, M.; Klein, A.; Clark, S.R.; Jaksch, D. Transport of strong-coupling polarons in optical lattices. New J. Phys. 2008, 10, 033015. [Google Scholar] [CrossRef]
- Privitera, A.; Hofstetter, W. Polaronic slowing of fermionic impurities in lattice Bose-Fermi mixtures. Phys. Rev. A 2010, 82, 063614. [Google Scholar] [CrossRef]
- Massel, F.; Kantian, A.; Daley, A.J.; Giamarchi, T.; Törmä, P. Dynamics of an impurity in a one-dimensional lattice. New J. Phys. 2013, 15, 045018. [Google Scholar] [CrossRef]
- Sarkar, S.; McEndoo, S.; Schneble, D.; Daley, A.J. Interspecies entanglement with impurity atoms in a lattice gas. New J. Phys. 2020, 22, 083017. [Google Scholar] [CrossRef]
- Keiler, K.; Mistakidis, S. I.; Schmelcher, P. Doping a lattice-trapped bosonic species with impurities: from ground state properties to correlated tunneling dynamics. New J. Phys. 2020, 22, 083003. [Google Scholar] [CrossRef]
- Hu, H.; Wang, A.-B.; Yi, S.; Liu, X.-J. Fermi polaron in a one-dimensional quasiperiodic optical lattice: The simplest many-body localization challenge. Phys. Rev. A 2016, 93, 053601. [Google Scholar] [CrossRef]
- Dutta, S.; Mueller, E.J. Variational study of polarons and bipolarons in a one-dimensional Bose lattice gas in both the superfluid and the Mott-insulator regimes. Phys. Rev. A 2013, 88, 053601. [Google Scholar] [CrossRef]
- Colussi, V.E.; Caleffi, F.; Menotti, C.; Recati, A. Lattice polarons across the superfluid to mott insulator transition. arXiv 2022, arXiv:2205.09857. [Google Scholar] [CrossRef] [PubMed]
- Zähringer, F.; Kirchmair, G.; Gerritsma, R.; Solano, E.; Blatt, R.; Roos, C. F. Realization of a Quantum Walk with One and Two Trapped Ions. Phys. Rev. Lett. 2010, 104, 100503. [Google Scholar] [CrossRef]
- Schmitz, H.; Matjeschk, R.; Schneider, Ch.; Glueckert, J.; Enderlein, M.; Huber, T.; Schaetz, T. Quantum Walk of a Trapped Ion in Phase Space. Phys. Rev. Lett. 2009, 103, 090504. [Google Scholar] [CrossRef]
- Yan, B.; Moses, S. A.; Gadway, B.; Covey, J. P.; Hazzard, K. R. A.; Rey, A. M.; Jin, D. S.; Ye, J. Observation of dipolar spin-exchange interactions with lattice-confined polar molecules. Nature 2013, 501, 521–525. [Google Scholar] [CrossRef]
- Yan, B.; Moses, S. A.; Gadway, B.; Covey, J. P.; Hazzard, K. R. A.; Rey, A. M.; Jin, D. S.; Ye, J. A degenerate Fermi gas of polar molecules. Science 2019, 363, 853–856. [Google Scholar]
- Browaeys, A.; Lahaye, T. Many-body physics with individually controlled Rydberg atoms. Nat. Phys. 2020, 16, 132–142. [Google Scholar] [CrossRef]
- Álvarez, G. A.; Suter, D.; Kaiser, R. Localization-delocalization transition in the dynamics of dipolar-coupled nuclear spins. Science 2015, 349, 846–848. [Google Scholar] [CrossRef]
- Hung, C.-L.; González-Tuleda, A.; Cirac, J. I.; Kimble, H. J. Quantum spin dynamics with pairwise-tunable, long-range interactions. Proc. Natl. Acad. Sci. USA 2016, 113, E4946–E4955. [Google Scholar] [CrossRef] [PubMed]
- Defenu, N.; Donner, T.; Macrì, T.; Pagano, G.; Ruffo, S.; Trombettoni, A. Long-range interacting quantum systems. arXiv 2021, arXiv:2109.01063. [Google Scholar] [CrossRef]
- Tran, M.C.; Guo, A.Y.; Baldwin, C.L.; Ehrenberg, A.; Gorshkov, A.V.; Lucas, A. Lieb-Robinson Light Cone for Power-Law Interactions. Phys. Rev. Lett. 2021, 127, 160401. [Google Scholar] [CrossRef] [PubMed]
- Safavi-Naini, A.; Wall, M.L.; Acevedo, O.L.; Rey, A.M.; Nandkishore, R.M. Quantum dynamics of disordered spin chains with power-law interactions. Phys. Rev. A 2019, 99, 033610. [Google Scholar] [CrossRef]
- Macrì, T.; Lepori, L.; Pagano, G.; Lewenstein, M.; Barbiero, L. Bound state dynamics in the long-range spin-1/2 XXZ model. Phys. Rev. B 2021, 104, 214309. [Google Scholar] [CrossRef]
- Hermes, S.; Apollaro, T.J.G.; Paganelli, S.; Macrì, T. Dimensionality-enhanced quantum state transfer in long-range-interacting spin systems. Phys. Rev. A 2020, 101, 053607. [Google Scholar] [CrossRef]
- Roy, N.; Sharma, A. Fraction of delocalized eigenstates in the long-range Aubry-André-Harper model. Phys. Rev. B 2021, 103, 075124. [Google Scholar] [CrossRef]
- Domínguez-Castro, G. A.; Paredes, R. Enhanced transport of two interacting quantum walkers in a one-dimensional quasicrystal with power-law hopping. Phys. Rev. A 2021, 104, 033306. [Google Scholar] [CrossRef]
- Deng, X.; Kravtsov, V.E.; Shlyapnikov, G.V.; Santos, L. Duality in Power-Law Localization in Disordered One-Dimensional Systems. Phys. Rev. Lett. 2018, 120, 110602. [Google Scholar] [CrossRef]
- Domínguez-Castro, G. A.; Paredes, R. Localization of pairs in one-dimensional quasicrystals with power-law hopping. Phys. Rev. B 2022, 106, 134208. [Google Scholar] [CrossRef]
- Ferraretto, M.; Salasnich, L. Effects of long-range hopping in the Bose-Hubbard model. Phys. Rev. A 2019, 99, 013618. [Google Scholar] [CrossRef]
- Giachetti, G.; Defenu, N.; Ruffo, S.; Trombettoni, A. Berezinskii-Kosterlitz-Thouless Phase Transitions with Long-Range Couplings. Phys. Rev. Lett. 2021, 127, 156801. [Google Scholar] [CrossRef] [PubMed]
- Dias, W.S.; Bertrand, D.; Lyra, M.L. Bose-Einstein condensation in chains with power-law hoppings: Exact mapping on the critical behavior in d-dimensional regular lattices. Phys. Rev. E 2017, 95, 062105. [Google Scholar] [CrossRef] [PubMed]
- Jaouadi, A.; Telmini, M.; Charron, E. Bose-Einstein condensation with a finite number of particles in a power-law trap. Phys. Rev. A 2011, 83, 023616. [Google Scholar] [CrossRef]
- Winkler, K.; Thalhammer, G.; Lang, F.; Grimm, R.; Denschlag, J.H.; Daley, A.J.; Kantian, A.; Büchler, H.P.; Zoller, P. Repulsively bound atom pairs in an optical lattice. Nature 2006, 441, 853–856. [Google Scholar] [CrossRef] [PubMed]
- Ardila, L.A.; Jørgensen, N.B.; Pohl, T.; Giorgini, S.; Bruun, G.M.; Arlt, J.J. Analyzing a Bose polaron across resonant interactions. Phys. Rev. A 2019, 99, 063607. [Google Scholar] [CrossRef]
- Skou, M.G.; Skov, T.G.; Jørgensen, N.B.; Nielsen, K.K.; Camacho-Guardian, A.; Pohl, T.; Bruun, G.M.; Arlt, J.J. Non-equilibrium quantum dynamics and formation of the Bose polaron. Nat. Phys. 2021, 17, 731–735. [Google Scholar] [CrossRef]
- Yan, Z.Z.; Ni, Y.; Robens, C.; Zwierlein, M.W. Bose polarons near quantum criticality. Science 2020, 368, 190–194. [Google Scholar] [CrossRef]
- Bruus, H.; Flensberg, K. Many-body Quantum Theory in Condensed Matter Physics: An Introduction; Oxford Graduate Texts; Oxford University Press: Great Britain, 2016. [Google Scholar]




Disclaimer/Publisher’s Note: The statements, opinions and data contained in all publications are solely those of the individual author(s) and contributor(s) and not of MDPI and/or the editor(s). MDPI and/or the editor(s) disclaim responsibility for any injury to people or property resulting from any ideas, methods, instructions or products referred to in the content. |
© 2023 by the authors. Licensee MDPI, Basel, Switzerland. This article is an open access article distributed under the terms and conditions of the Creative Commons Attribution (CC BY) license (http://creativecommons.org/licenses/by/4.0/).
