Submitted:
26 April 2023
Posted:
26 April 2023
You are already at the latest version
Abstract
Keywords:
1. Introduction
2. Experimental Setup and Measurements
3. Data analysis Method
3.1. Flame Describing Function Model
3.3. Flame Strouhal Number
3.4. Axial Distribution of Heat release Fluctuation
4. Results and Discussions
4.1. Measured Flame Describing Function
4.2. Time-Averaged Flame Response
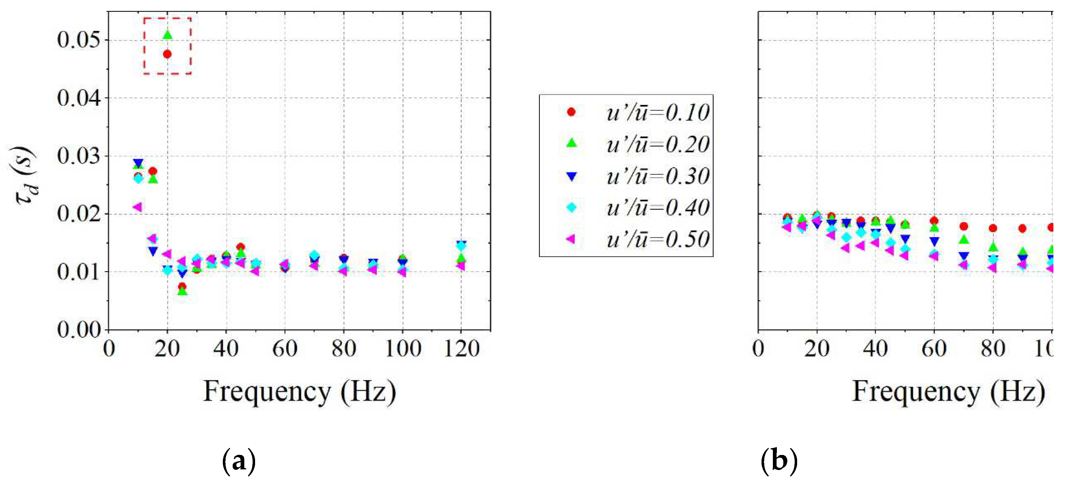
4.3. Comparison of Time Delay and Convection Time
4.4. The Dynamics of Flame Response
4.5. Axial Distribution of Heat Release Oscillation
5. Conclusions
Author Contributions
Funding
Conflicts of Interest
References
- Acharya, V.S.; Bothien, M.R.; Lieuwen, T.C. Non-Linear Dynamics of Thermoacoustic Eigen-Mode Interactions. Combust. Flame 2018, 194, 309–321. [Google Scholar] [CrossRef]
- Shreekrishna Hemchandra, S.; Lieuwen, T. Premixed Flame Response to Equivalence Ratio Perturbations. Combust. Theory Model. 2010, 14, 681–714. [Google Scholar] [CrossRef]
- O’Connor, J.; Vanatta, C.; Mannino, J.; Lieuwen, T. Mechanisms for Flame Response in a Transversely Forced Flame. In Proceedings of the 7th US national technical meeting of the combustion institute, Atlanta, USA, 20–23 March 2011. [Google Scholar]
- Preetham, S.H.; Lieuwen, T.C. Response of Turbulent Premixed Flames to Harmonic Acoustic Forcing. Proc. Combust. Inst. 2007, 31, 1427–1434. [Google Scholar] [CrossRef]
- Durox, D. Theoretical and Experimental Determinations of the Transfer Function of a Laminar Premixed Flame. Proc. Combust. Inst. 2000, 28, 765–773. [Google Scholar]
- Fleifil, M.; Annaswamy, A.M.; Ghoneim, Z.A.; Ghoniem, A.F. Response of a Laminar Premixed Flame to Flow Oscillations: A Kinematic Model and Thermoacoustic Instability Results. Combust. Flame 1996, 106, 487–510. [Google Scholar] [CrossRef]
- Merk, M.; Gaudron, R.; Silva, C.; Gatti, M.; Mirat, C.; Schuller, T.; Polifke, W. Prediction of Combustion Noise of an Enclosed Flame by Simultaneous Identification of Noise Source and Flame Dynamics. Proc. Combust. Inst. 2019, 37, 5263–5270. [Google Scholar] [CrossRef]
- Boudy, F.; Schuller, T.; Durox, D.; Candel, S. The Flame Describing Function (FDF) Unified Framework for Combustion Instability Analysis: Progress and Limitations. Proceedings of International Workshop on Non-normal and Nonlinear effects in aero- and thermo-acoustics, Munich, German, 18–21 June 2013. [Google Scholar]
- Dowling, A.P. Nonlinear Self-Excited Oscillations of a Ducted Flame. J. Fluid Mech. 1997, 346, 271–290. [Google Scholar] [CrossRef]
- Noiray, N.; Durox, D.; Schuller, T.; Candel, S. A Unified Framework for Nonlinear Combustion Instability Analysis Based on the Flame Describing Function. J. Fluid Mech. 2008, 615, 139–167. [Google Scholar] [CrossRef]
- Krediet, H.J.; Beck, C.H.; Krebs, W.; Schimek, S.; Paschereit, C.O.; Kok, J.B.W. Identification of the Flame Describing Function of a Premixed Swirl Flame from LES. Combust. Sci. Technol. 2012, 184, 888–900. [Google Scholar] [CrossRef]
- Tay-Wo-Chong, L.; Bomberg, S.; Ulhaq, A.; Komarek, T.; Polifke, W. Comparative Validation Study on Identification of Premixed Flame Transfer Function. J. Eng. Gas Turbines Power 2012, 134, 1–8. [Google Scholar] [CrossRef]
- Kim, K.T.; Lee, H.J.; Lee, J.G.; Quay, B.D.; Santavicca, D. Flame Transfer Function Measurement and Instability Frequency Prediction Using a Thermoacoustic Model. In Proceedings of the ASME Turbo Expo, Orlando, USA, 8–12 June 2009. [Google Scholar]
- Alemela, P.R.; Fanca, D.; Ettner, F.; Hirsch, C.; Sattelmayer, T.; Schuermans, B. Flame Transfer Matrices of a Premixed Flame and a Global Check with Modelling and Experiments. In Proceedings of the ASME Turbo Expo; Berlin, Germany, 9–13 June 2008. [Google Scholar]
- Gaudron, R.; Gatti, M.; Mirat, C.; Schuller, T. Impact of the Injector Size on the Transfer Functions of Premixed Laminar Conical Flames. Combust. Flame 2017, 179, 138–153. [Google Scholar] [CrossRef]
- Schuller, T.; Durox, D.; Candel, S. A Unified Model for the Prediction of Laminar Flame Transfer Functions: Comparisons between Conical and V-Flame Dynamics. Combust. Flame 2003, 134, 21–34. [Google Scholar] [CrossRef]
- Boudy, F.; Durox, D.; Schuller, T.; Candel, S. Nonlinear Mode Triggering in a Multiple Flame Combustor. Proc. Combust. Inst. 2011, 33, 1121–1128. [Google Scholar] [CrossRef]
- Hermeth, S.; Staffelbach, G.; Gicquel, L.Y.M.; Anisimov, V.; Cirigliano, C.; Poinsot, T. Bistable Swirled Flames and Influence on Flame Transfer Functions. Combust. Flame 2014, 161, 184–196. [Google Scholar] [CrossRef]
- Ćosić, B.; Terhaar, S.; Moeck, J.P.; Paschereit, C.O. Response of a Swirl-Stabilized Flame to Simultaneous Perturbations in Equivalence Ratio and Velocity at High Oscillation Amplitudes. Combust. Flame 2015, 162, 1046–1062. [Google Scholar] [CrossRef]
- Palies, P.; Durox, D.; Schuller, T.; Candel, S. Experimental Study on the Effect of Swirler Geometry and Swirl Number on Flame Describing Functions. Combust. Sci. Technol. 2011, 183, 704–717. [Google Scholar] [CrossRef]
- Shanbhogue, S.; Shin, D.; Hemchandra, S.; Plaks, D.; Lieuwen, T. Flame Sheet Dynamics of Bluff-Body Stabilized Flames during Longitudinal Acoustic Forcing. Proc. Combust. Inst. 2009, 32, 1787–1794. [Google Scholar] [CrossRef]
- Schuermans, B.; Bellucci, V.; Flohr, P.; Paschereit, C.O. Thermoacoustic Flame Transfer Function of a Gas Turbine Burner in Premix and Pre- Premix Combustion. In Proceedings of the AIAA Aerospace Sciences Meeting and Exhibit, Reno, USA, 5–8 January 2004. [Google Scholar]
- Kim, K.T.; Santavicca, D.A. Generalization of Turbulent Swirl Flame Transfer Functions in Gas Turbine Combustors. Combust. Sci. Technol. 2013, 185, 999–1015. [Google Scholar] [CrossRef]
- Kim, K.T.; Lee, J.G.; Quay, B.D.; Santavicca, D.A. Spatially Distributed Flame Transfer Functions for Predicting Combustion Dynamics in Lean Premixed Gas Turbine Combustors. Combust. Flame 2010, 157, 1718–1730. [Google Scholar] [CrossRef]
- Tyagi, M.; Chakravarthy, S.R.; Sujith, R.I. Unsteady Combustion Response of a Ducted Non-Premixed Flame and Acoustic Coupling. Combust. Theory Model. 2007, 11, 205–226. [Google Scholar] [CrossRef]
- Chandrasekhar, S.V.; Chakravarthy, S.R. Response of Non-Premixed Ducted Flame to Transverse Oscillations and Longitudinal Acoustic Coupling. In Proceedings of the 43rd AIAA/ASME/SAE/ASEE Joint Propulsion Conference, Cincinnati, USA, 8–11 July 2007. [Google Scholar]
- Magina, N.; Acharya, V.; Lieuwen, T. Forced Response of Laminar Non-Premixed Jet Flames. Prog. Energy Combust. Sci. 2019, 70, 89–118. [Google Scholar] [CrossRef]
- Magina, N.; Shin, D.H.; Acharya, V.; Lieuwen, T. Response of Non-Premixed Flames to Bulk Flow Perturbations. Proc. Combust. Inst. 2013, 34, 963–971. [Google Scholar] [CrossRef]
- Tim, C. Lieuwen. Unsteady Combustor Physics, 1st ed.; Cambridge University Press: New York, USA, 2012; pp. 364–369. [Google Scholar]
- Yao, Z.; Zhu, M. A Distributed Transfer Function for Non-Premixed Combustion Oscillations. Combust. Sci. Technol. 2012, 184, 767–790. [Google Scholar] [CrossRef]
- Jiang, J.; Jing, L.; Zhu, M.; Jiang, X. A Comparative Study of Instabilities in Forced Reacting Plumes of Nonpremixed Flames. J. Energy Inst. 2016, 89, 456–467. [Google Scholar] [CrossRef]
- Farhat, S.; Kleiner, D.; Zhang, Y. Jet Diffusion Flame Characteristics in a Loudspeaker-Induced Standing Wave. Combust. Flame 2005, 142, 317–323. [Google Scholar] [CrossRef]
- Farhat, S.A.; Ng, W.B.; Zhang, Y. Chemiluminescent Emission Measurement of a Diffusion Flame Jet in a Loudspeaker Induced Standing Wave. Fuel 2005, 84, 1760–1767. [Google Scholar] [CrossRef]
- Chen, L.W.; Wang, Q.; Zhang, Y. Flow Characterisation of Diffusion Flame in a Standing Wave. Exp. Therm. Fluid Sci. 2012, 41, 84–93. [Google Scholar] [CrossRef]
- Chen, L.W.; Wang, Q.; Zhang, Y. Flow Characterisation of Diffusion Flame under Non-Resonant Acoustic Excitation. Exp. Therm. Fluid Sci. 2013, 45, 227–233. [Google Scholar] [CrossRef]
- Sun, Y.; Zhao, D.; Ni, S.; David, T.; Zhang, Y. Entropy and Flame Transfer Function Analysis of a Hydrogen-Fueled Diffusion Flame in a Longitudinal Combustor. Energy 2020, 194, 116870. [Google Scholar] [CrossRef]
- Kim, T.; Ahn, M.; Lim, D.; Yoon, Y. Flame Describing Function and Combustion Instability Analysis of Non-Premixed Coaxial Jet Flames. Exp. Therm. Fluid Sci. 2022, 136, 110642. [Google Scholar] [CrossRef]
- Fu, X.; Yang, F.; Guo, Z. Combustion Instability of Pilot Flame in a Pilot Bluff Body Stabilized Combustor. Chinese J. Aeronaut. 2015, 28, 1606–1615. [Google Scholar] [CrossRef]
- Ahn, B.; Lee, J.; Jung, S.; Kim, K.T. Low-Frequency Combustion Instabilities of an Airblast Swirl Injector in a Liquid-Fuel Combustor. Combust. Flame 2018, 196, 424–438. [Google Scholar] [CrossRef]
- Chen, Y.C.; Chang, C.C.; Pan, K.L.; Yang, J.T. Flame Lift-off and Stabilization Mechanisms of Nonpremixed Jet Flames on a Bluff-Body Burner. Combust. Flame 1998, 115, 51–65. [Google Scholar] [CrossRef]
- Hardalupas, Y.; Selbach, A. Imposed Oscillations and Non-Premixed Flames. Prog. Energy Combust. Sci. 2002, 28, 75–104. [Google Scholar] [CrossRef]
- Putnam, A.A. Combustion Roar as Observed in Industrial Furnaces. J. Eng. Power 1982, 104, 867–873. [Google Scholar] [CrossRef]
- Putnam, A.; Faulkner, L. An Overview of Combustion Noise. J. Energy 1983, 7, 458–469. [Google Scholar] [CrossRef]
- Chung, J.Y.; Blaser, D.A. Transfer Function Method of Measuring In-Duct Acoustic Properties. I. Theory. J. Acoust. Soc. Am. 1980, 68, 907–913. [Google Scholar] [CrossRef]
- Balachandran, R.; Ayoola, B.O.; Kaminski, C.F.; Dowling, A.P.; Mastorakos, E. Experimental Investigation of the Nonlinear Response of Turbulent Premixed Flames to Imposed Inlet Velocity Oscillations. Combust. Flame 2005, 143, 37–55. [Google Scholar] [CrossRef]
- Kim, D.; Lee, J.G.; Quay, B.D.; Santavicca, D.A.; Kim, K.; Srinivasan, S. Effect of Flame Structure on the Flame Transfer Function in a Premixed Gas Turbine Combustor. J. Eng. Gas Turbines Power 2010, 132, 1–7. [Google Scholar] [CrossRef]
- Ranalli, J.A.; Ferguson, D.; Martin, C. Simple Analysis of Flame Dynamics via Flexible Convected Disturbance Models. J. Propuls. Power 2012, 28, 1268–1276. [Google Scholar] [CrossRef]
- Szedlmayer, M.T.; Quay, B.D.; Samarasinghe, J.; De Rosa, A.; Lee, J.G.; Santavicca, D.A. Forced Flame Response of a Lean Premixed Multi-Nozzle Can Combustor. In Proceedings of the ASME Turbo Expo, Vancouver, Canada, 6–10 June 2011. [Google Scholar]
- Jones, B.; Lee, J.G.; Quay, B.D.; Santavicca, D.A. Flame Response Mechanisms Due to Velocity Perturbations in a Lean Premixed Gas Turbine Combustor. J. Eng. Gas Turbines Power 2011, 133, 1–9. [Google Scholar] [CrossRef]
- Shin, D.H.; Lieuwen, T. Flame Wrinkle Destruction Processes in Harmonically Forced, Turbulent Premixed Flames. J. Fluid Mech. 2013, 721, 484–513. [Google Scholar] [CrossRef]
- Liu, W.; Xue, R.; Zhang, L.; Yang, Q.; Wang, H. Nonlinear Response of a Premixed Low-Swirl Flame to Acoustic Excitation with Large Amplitude. Combust. Flame 2022, 235, 111733. [Google Scholar] [CrossRef]














| Parameters | Values |
|---|---|
| Gas flow rate (Nm3/h) | 0.42 |
| Air flow rate (Nm3/h) | 4.67 |
| Air velocity in the ring, u0 (m/s) | 3.52 |
| Air velocity before the nozzle, ū (m/s) | 1.40 |
| gas velocity at the nozzle, ugas (m/s) | 4.10 |
| Equivalence ratio | 0.86 |
| Excitation frequency, fe (Hz) | 10, 15, 20, 25, 30, 35, 45, 50, 60, 70, 80, 90, 100, 120 |
| Excitation amplitude, u’/ū | 0.10, 0.20, 0.30, 0.40, 0.50 |
| fe(Hz) | 10 | 20 | 30 | 100 |
| λf (mm) | 190.4 | 121.7 | 87.6 | 30.9 |
| τe (s) | 0.100 | 0.050 | 0.033 | 0.010 |
| Lf (mm) | 152.4 | 161.2 | 113.6 | 87.6 |
| ucf (m/s) | 1.90 | 2.43 | 2.63 | 3.61 |
| Lf/λf | 0.80 | 1.32 | 1.29 | 2.42 |
| Stf | 0.43 | 0.92 | 0.97 | 2.43 |
Disclaimer/Publisher’s Note: The statements, opinions and data contained in all publications are solely those of the individual author(s) and contributor(s) and not of MDPI and/or the editor(s). MDPI and/or the editor(s) disclaim responsibility for any injury to people or property resulting from any ideas, methods, instructions or products referred to in the content. |
© 2023 by the authors. Licensee MDPI, Basel, Switzerland. This article is an open access article distributed under the terms and conditions of the Creative Commons Attribution (CC BY) license (http://creativecommons.org/licenses/by/4.0/).
