Submitted:
23 April 2023
Posted:
24 April 2023
You are already at the latest version
Abstract
Keywords:
1. Introduction
2. Theoretical model and Computational details
2.1. Micromagnetic energy
2.2. Landau– Lifshitz–Gilbert (LLG) equation
2.3. Metastable lifetime and Specific Loss Power (SLP)
2.4. Computational model
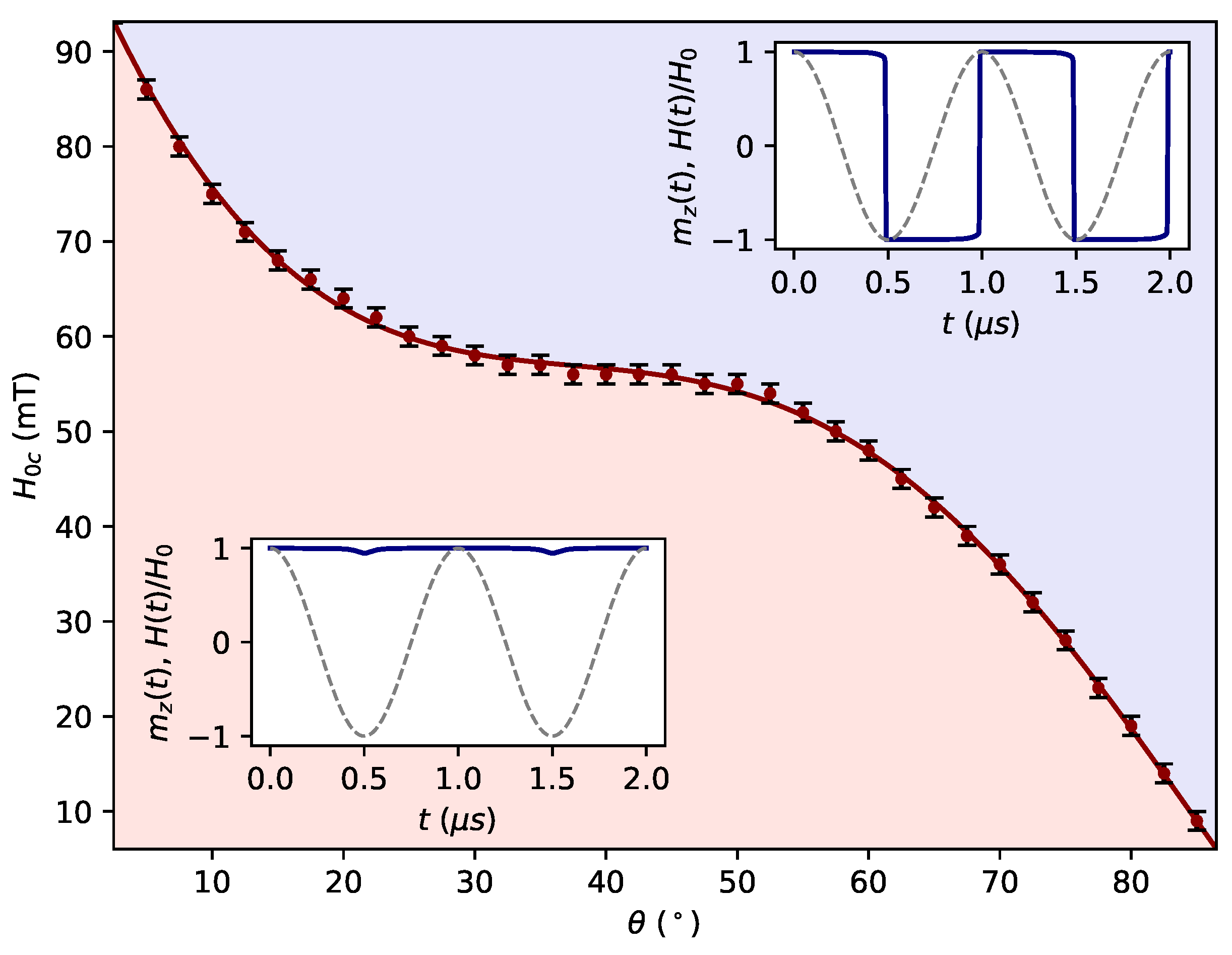
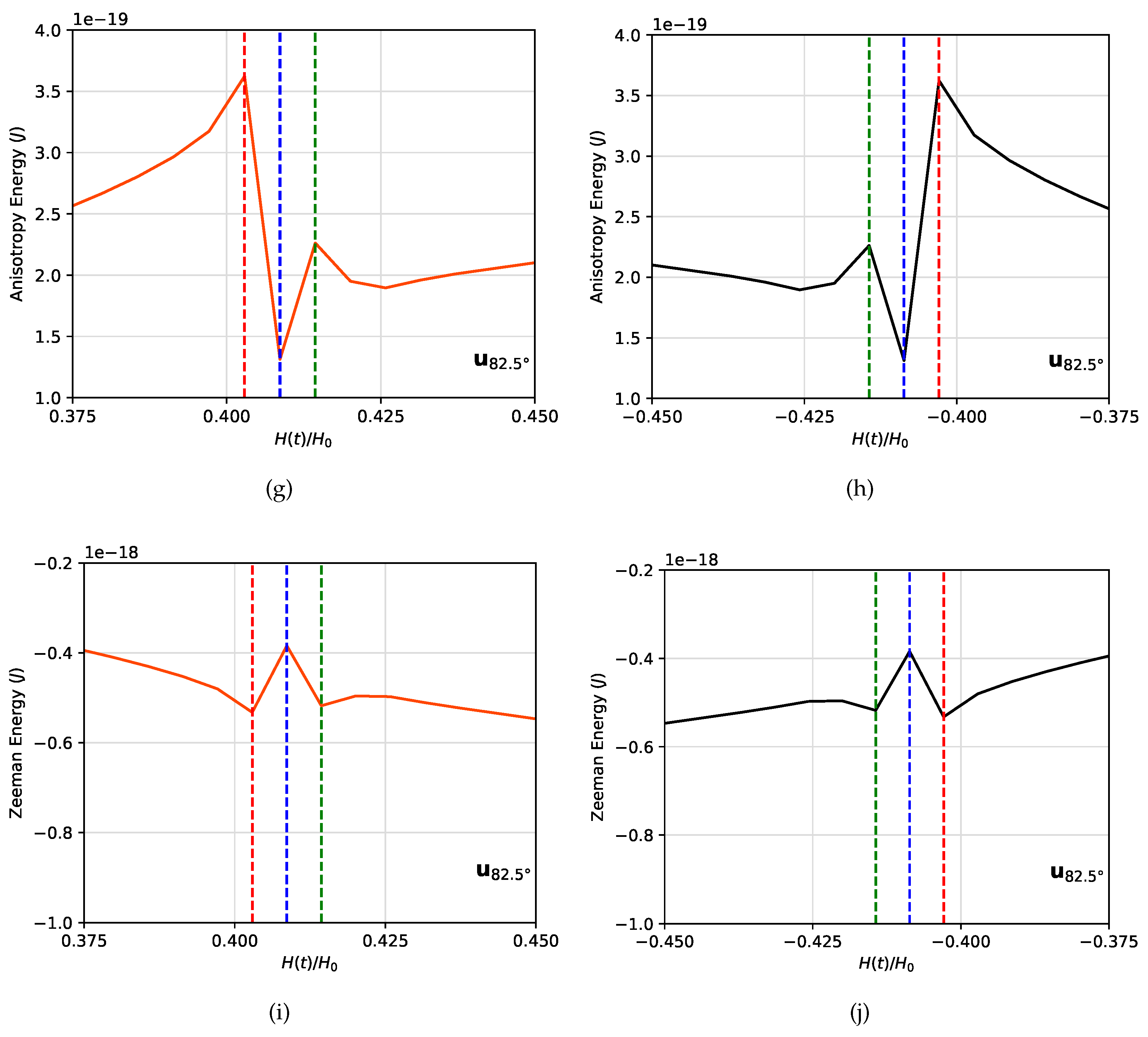
3. Results and Discussion
4. Conclusions
Author Contributions
Funding
Acknowledgments
Conflicts of Interest
Abbreviations
| MNP | Magnetic nanoparticles |
| AMF | Alternating magnetic field |
| DPT | Dynamic phase transition |
| SLP | Specific loss power |
| DOP | Dynamically ordered phase |
| DDP | Dynamically disordered phase |
References
- Friedrich, P.; Cicha, I.; Alexiou, C. Iron oxide nanoparticles in regenerative medicine and tissue engineering. J. Nanomater. 2021, 11, 2337. [Google Scholar] [CrossRef] [PubMed]
- Maffei, M. E. Magnetic fields and cancer: epidemiology, cellular biology, and theranostics. Int. J. Mol. Sci 2022, 23, 1339. [Google Scholar] [CrossRef] [PubMed]
- Conde, I.; Baldomir, D.; Martinez, C.; Chubykalo, O.; del Puerto Morales, M.; Salas, G.; Cabrera, D.; Camarero, J.; Teran, F. J.; Serantes, D. A single picture explains diversity of hyperthermia response of magnetic nanoparticles. J. Phys. Chem. C 2015, 119, 15698–15706. [Google Scholar] [CrossRef]
- Néel, L. Théorie du traînage magnétique des ferromagnétiques en grains fins avec application aux terres cuites. Ann. géophys 1949, 5, 99–136. [Google Scholar]
- Brown, W. F. Thermal fluctuations of a single-domain particle. Phys. Rev. 1963, 130, 1677–1686. [Google Scholar] [CrossRef]
- Narayanaswamy, V.; Jagal, J.; Khurshid, H.; Al-Omari, I. A.; Haider, M.; Kamzin, A. S.; Obaidat, I. M.; Issa, B. Hyperthermia of magnetically soft-soft core-shell ferrite nanoparticles. Int. J. Mol. Sci 2022, 23, 14825. [Google Scholar] [CrossRef]
- Vallejo, G.; Whear, O.; Roca, A. G.; Hussain, S.; Timmis, J.; Patel, V.; O’grady, K. Mechanisms of hyperthermia in magnetic nanoparticles. J. Phys. D: Appl. Phys. 2013, 46, 312001. [Google Scholar] [CrossRef]
- Barrera, G.; Coisson, M.; Celegato, F.; Martino, L.; Tiwari, P.; Verma, R.; Shashank N., K.; Mazaleyrat, F.; Tiberto, P. Specific loss power of Co/Li/Zn-mixed ferrite powders for magnetic hyperthermia. Sensors 2020, 20, 2151. [Google Scholar] [CrossRef]
- Phong, P. T.; Nguyen, L. H.; Phong, L. T. H.; Nam, P. H.; Manh, D. H.; Lee, I. J.; Phuc, N. X. Study of specific loss power of magnetic fluids with various viscosities. J. Magn. Magn. Mater. 2017, 428, 36–42. [Google Scholar] [CrossRef]
- Park, H.; Pleimling, M. Dynamic phase transition in the three-dimensional kinetic Ising model in an oscillating field. Phys. Rev. E 2013, 87, 032145. [Google Scholar] [CrossRef]
- Korniss, G.; White, C. J.; Rikvold, P. A.; Novotny, M. A. -Dynamic phase transition, universality, and finite-size scaling in the two-dimensional kinetic Ising model in an oscillating field. Phys. Rev. E 2000, 63, 016120. [Google Scholar] [CrossRef] [PubMed]
- Chakrabarti, B. K.; Acharyya, M. Dynamic transitions and hysteresis. Rev. Mod. Phys. 1999, 71, 847–859. [Google Scholar] [CrossRef]
- Baez, W. D.; Datta, T. Effect of next-nearest neighbor interactions on the dynamic order parameter of the Kinetic Ising model in an oscillating field. Physics Procedia 2010, 4, 15–19. [Google Scholar] [CrossRef]
- Rikvold, P. A.; Tomita, H. , Miyashita, S.; Sides, S. W. Metastable lifetimes in a kinetic Ising model: dependence on field and system size. Phys. Rev. E 1994, 49, 5080–5090. [Google Scholar] [CrossRef] [PubMed]
- Abert, C. Micromagnetics and spintronics: models and numerical methods. Eur. Phys. J. B 2019, 92, 1–45. [Google Scholar] [CrossRef]
- Landau, L.; Lifshitz, E. On the theory of the dispersion of magnetic permeability in ferromagnetic bodies. Phys. Z. Sowjet. 1935, 8, 153–164. [Google Scholar]
- Gilbert, T.L. A phenomenological theory of damping in ferromagnetic materials. IEEE Trans. Magn. 2004, 40, 3443–3449. [Google Scholar] [CrossRef]
- Lakshmanan, M. The fascinating world of the Landau–Lifshitz–Gilbert equation: An overview. Philos. Trans. R. Soc. A Math. Phys. Eng. Sci 2011, 369, 1280–1300. [Google Scholar] [CrossRef]
- Beg, M.; Lang, M.; Fangohr, H. Ubermag: Toward More Effective Micromagnetic Workflows. IEEE Trans. Magn. 2022, 58, 1–5. [Google Scholar] [CrossRef]
- Beg, M.; Pepper, Ryan A. ;Fangohr, H. User interfaces for computational science: A domain specific language for OOMMF embedded in Python. AIP Adv. 2017, 7, 056025. [Google Scholar] [CrossRef]
- Lopez-Diaz, L.; Aurelio, D.; Torres, L.; Martinez, E.; Hernandez-Lopez, M. A.; Gomez, J.; Alejos, O.; Carpentieri, M.; Finocchio, G.; Consolo, G. J. Micromagnetic simulations using graphics processing units Phys. D: Appl. Phys. 2012, 45, 323001. [Google Scholar]
- Bertotti, G. ; Mayergoyz, Isaak D. The Science of Hysteresis. Volume II: Physical Modelling, Micromagnetics, and Magnetization Dynamics, 2005. [Google Scholar]
- Hahn, M. B. Temperature in micromagnetism: cell size and scaling effects of the stochastic Landau–Lifshitz equation. J. Phys. Commun. 2019, 3, 075009. [Google Scholar] [CrossRef]
- Kobayashi, S.; Yamaminami, T.; Sakakura, H.; Takeda, M.; Yamada, T.; Sakuma, H.; Trisnanto, S. B.; Ota, S.; Takemura, Y. Magnetization Characteristics of Oriented Single-Crystalline NiFe-Cu Nanocubes Precipitated in a Cu-Rich Matrix. Molecules 2020, 25, 3282. [Google Scholar] [CrossRef] [PubMed]
- Maniotis, N.; Nazlidis, A.; Myrovali, E.; Makridis, A.; Angelakeris, M.; Samaras, T. Estimating the effective anisotropy of ferromagnetic nanoparticles through magnetic and calorimetric simulations. J. Appl. Phys. 2019, 125, 103903. [Google Scholar] [CrossRef]
- Coey, J. M. Magnetism and magnetic materials. Cambridge university press; Cambridge University Press; 2010; pp. 374–438.
- Dubowik, J.; Gościańska, I. Micromagnetic approach to exchange bias. Acta Phys. Pol. A 2015, 127, 147–152. [Google Scholar] [CrossRef]
- Osaci, M. Influence of Damping Constant on Models of Magnetic Hyperthermia. Acta Phys. Pol. A 2021, 139, 51–55. [Google Scholar] [CrossRef]
- Thanh, T. K. Magnetic nanoparticles: from fabrication to clinical applications, 1st Edition.; CRC Press; 2012; pp. 449–477.
- Mathews, S. A.; Musi, C.; Charipar, N. Transverse susceptibility of nickel thin films with uniaxial anisotropy. Sci. Rep. 2021, 11, 3155. [Google Scholar] [CrossRef]
- Mathews, S. A.; Ehrlich, A. C.; Charipar, N. A. Hysteresis branch crossing and the Stoner–Wohlfarth model. Sci. Rep. 2020, 10, 15141. [Google Scholar] [CrossRef]










Disclaimer/Publisher’s Note: The statements, opinions and data contained in all publications are solely those of the individual author(s) and contributor(s) and not of MDPI and/or the editor(s). MDPI and/or the editor(s) disclaim responsibility for any injury to people or property resulting from any ideas, methods, instructions or products referred to in the content. |
© 2023 by the authors. Licensee MDPI, Basel, Switzerland. This article is an open access article distributed under the terms and conditions of the Creative Commons Attribution (CC BY) license (http://creativecommons.org/licenses/by/4.0/).