Preprint
Article

This version is not peer-reviewed.

Properties of Spherically Symmetric Black Hole in the Framework of GBD Modified Gravitational Theory

A peer-reviewed article of this preprint also exists.

Submitted:

20 April 2023

Posted:

20 April 2023

You are already at the latest version

Abstract
The many problems faced by the theory of general relativity (GR) have always motivated us to explore the modified theory of GR. Considering the importance of studying the black hole (BH) entropy and its correction in gravity physics, we study the correction of thermodynamic entropy for a kind of spherically symmetric black holes under the generalized Brans-Dicke (GBD) theory of modified gravity. We derive and calculate the entropy and heat capacity. It is found that when the value of event horizon radius~$r_+$~is small, the effect of the entropy correction term on the entropy is very obvious, while for larger values~$r_+$~, the contribution of the correction term on entropy can be almost ignored. In addition, we can observe that as the radius of the event horizon increases, the heat capacity of BH in GBD theory will change from a negative value to a positive value, indicating that there is a phase transition in black holes. Given that studying the structure of geodesic lines is important for exploring the physical characteristics of a strong gravitational field, we also investigate the stability of the geodesic motion of particles in static spherically symmetric BHs within the framework of GBD theory. Concretely, we analyzes the dependence of the innermost stable circular orbit on model parameters. Also, the geodesic deviation equation is also applied to investigate the stable circular orbit of particles in GBD theory. The conditions for the stability of BH solution and the limited range of radial coordinates required to achieve stable circular orbit motion are given. Finally, we show the locations of stable circular orbits, and obtain the angular velocity, the specific energy and angular momentum of the particles which move in circular orbits.
Keywords: 
;  ;  ;  

1. Introduction

Einstein established the famous theory of special relativity in 1905, which laid the foundation for the relativistic view of spacetime. Based on his deep thinking about special relativity, Einstein established the theory of general relativity (GR) in 1915. GR is considered one of the most elegant theories in the field of physics, and has received significant experimental support. For example: (1) General relativity passed rigorous tests within the solar system; (2) Its applications in cosmology have also been extremely successful; (3) The detection of gravitational waves by the advanced Laser Interferometer Gravitational-Wave Observatory (LIGO) in 2015 provided strong support for the theoretical predictions made by GR 100 years ago [1]; (4) The fact that the Event Horizon Telescope [2] discovered the existence of supermassive black holes in the center of the Milky Way galaxy in 2019 greatly enhanced interest and confidence for us in the research of general relativity theory. However, it is also evident that many problems and challenges remain in the study of gravitational physics, such as the problem of gravitational quantization, the nature of dark energy, the problem of inflationary universe and the problem of space-time singularity, etc. To address these issues, many modified gravity theories have been developed and discussed, such as f (R) theory [3,4], f (T) theory [5,6], f (R, T) theory [7], and f (G) theory [8], among others. The exploration of modified theories of gravity remain a hot topic in current research of gravitational physics. As one type of modified gravity theory, the Generalized Brans-Dicke (GBD) theory has been studied in cosmology, gravitational wave physics, and other fields [9,10,11]. In this paper we will explore some issues in the framework of GBD theory.
Black hole (BH) is one of the important prediction of general relativity. After years of observation and exploration, people finally captured the first image of a BH in 2019 through the Event Horizon Telescope. For many years, the research on BH physics has attracted the attention of lots of physicists and astronomers. Different types of black holes, such as static BHs [12], dynamic BHs [13], spherically symmetric BHs [14], axially symmetric BHs [15], and exotic BHs [16], have been intensively discussed. The study of the thermodynamic laws of BHs areas suggests that black holes, as special celestial bodies, seem to have thermal properties. It is well known that thermal properties of BHs under different types has been widely explored. The research on the corrected BH entropy is a hot topic in BH thermodynamics, and some studies on the correction of black hole entropy under modified gravity theory have been investigated, such as conformal field theory [17,18], string theory [19,20], and others. This article mainly explore the relevant properties of thermodynamic correction entropy of static spherically symmetric BHs within the framework of GBD modified gravity theory. Additionally, the stability analysis of the geodesic motion of particles around a BH is an important research topic in the field of gravitational physics, which plays a vital role in exploring the properties of black holes and gravity. Under different contexts of BH, people have conducted extensive research on the stability of black holes through the application of geodesic deviation equation, such as charged black holes in f (T) theory [21], rotating (anti-) de-Sitter black holes in f (R) theory [22], and non-trivial black holes [23], etc [24,25,26,27]. In this paper, we also discuss the stability of the geodesic motion of particles around black holes in the GBD gravity theory.
The structure of our paper is as follows. The first section is an introduction. In the second part of this paper, we focus on the correction of thermodynamic entropy of a static spherically symmetric BH within the framework of GBD modified gravity theory. We analyse the stability of geodesic motion of particles in black holes in the third section. The fourth part is the conclusion of this article.

2. Entropy Correction of Black Hole Thermodynamics in GBD modified gravity theory

We first briefly introduce the GBD theory, whose action is written as [9]:
S = d 4 x g [ ϕ f ( R ) ω ϕ μ ϕ μ ϕ + 16 π c 4 L m ( g μ ν , ψ m ) ] .
Here, ϕ denotes the Brans-Dicke scalar field, ω is the coupling constant, L m represents Lagrange density of matter field. By applying the variational principle, the gravitational field equation and scalar field equation of GBD theory can be derived as follows:
ϕ [ f R R μ ν 1 2 f ( R ) g μ ν ] ( μ ν g μ ν ) ( ϕ f R ) + 1 2 ω ϕ g μ ν σ σ ϕ ω ϕ μ ϕ ν ϕ = 8 π T μ ν .
f ( R ) + 2 ω ϕ ϕ ω ϕ 2 μ ϕ μ ϕ = 0 .
We consider a specific parametric model[28,29]: ϕ ( r ) = ϕ 0 r a and f ( R ) = R + β R ( n ) . Under background of the spherically symmetric space-time line elements:
d τ 2 = B ( r ) d t 2 + A ( r ) d r 2 + r 2 d θ 2 + r 2 s i n θ 2 d φ 2 .
with A ( r ) = B ( r ) 1 , the solution of the field equation can be calculated when n 1
B ( r ) = 1 + C 1 r 2 + C 2 r 2 .
where C 1 and C 2 are two constant parameters. Obviously, expression (5) is similar in form to the Reissner-Nordstrom solution for charged celestial bodies in Einstein’s general relativity (if the integration constants are set to: C 1 = 2 G M , C 2 = G Q 2 4 π , then the two solutions are the same in form). Therefore, in the subsequent discussion,we consider that the values of these two parameters satisfy: C 1 0 and C 2 0 .
The study of black hole thermodynamics and entropy correction has always been an important issue in the gravitational physics. Next, we investigate the corrected entropy of spherically symmetric BH in the framework of GBD theory. Consider the partition function in the form [30]:
Z ( β ) = 0 ρ ( E ) e ( β E ) d E .
where T = 1 β is the temperature in units of the Boltzmann constant κ B . ρ ( E ) is the density of state, which can be given from (6) by performing the inverse Laplace transform (keeping E fixed) [31,32]:
ρ ( E ) = 1 2 π i c i c + i Z ( β ) e β E d β = 1 2 π i c i c + i e S β d β .
In Eq. (7), the exact entropy as a function of temperature (not just at equilibrium) can be written as[33]
S ( β ) = l n Z ( β ) + β E .
It is formally defined as the sum of entropies of subsystems of the thermodynamic system, which are small enough to be themselves in equilibrium [33]. Considering the method of steepest descent around the saddle point: β 0 = 1 T 0 , we have S 0 S ( β ) β | β = β 0 = 0 with T 0 being the equilibrium temperature. On the other hand, we can receive the following form of entropy function by expanding it about β = β 0 ,
S ( β ) = S ( β 0 ) + S ( β 0 ) ( β β 0 ) + S ( β 0 ) 2 ( β β 0 ) 2 + . . . .
Then Eq.(9) can be simplified as
S ( β ) = S 0 + 1 2 ( β β 0 ) 2 S ( β 0 ) + . . .
with
S 0 S ( β 0 ) , S 0 2 S ( β ) β 2 | β = β 0 .
where S ( β ) represents the entropy at any temperature, and S 0 is the entropy calculated by the Beckenstein-Hawking area law. As can be seen from Equation(9), the correction of entropy is only described by the term of S 0 . Using Equation(8), it can be deduced that
S ( β ) = 1 Z ( β ) Z ( β ) β + E .
S ( β ) = 1 Z 2 ( β ) ( Z ( β ) β ) 2 + 1 Z ( β ) 2 Z ( β ) β 2 .
Consider the energy of a canonical ensemble [33]:
E = E ¯ = β l n Z = 1 Z Z β .
E ¯ β = 1 Z 2 ( β ) ( Z ( β ) β ) 2 1 Z ( β ) 2 Z ( β ) β 2 .
Then we have:
E ¯ β = [ < E 2 > < E > 2 ] = κ B T 2 C .
here C is the heat capacity. So, we finally get
S 0 = T 2 C .
Applying it to a thermodynamic system of BH, the saddle point is represented as β 0 = 1 T H by taking Hawking temperature T H instead of T. Following the method used in reference[34], the entropy can be rewritten by introducing a parameter γ to track the correction term
S = S 0 γ ( C T 2 ) .
For GBD modified gravity theory, S 0 can be derived as follows
S 0 = π r + 2 φ 0 1 r + α ( 1 2 β R n + 1 ) .
Comparing the spherically symmetric BH solution(5) under this theory with the Schwarzschild BH solution in the GR theory, the integration constant C 1 can be easily expressed as C 1 = 2 M , namely.
B ( r ) = 1 2 M r + C 2 r 2 .
Using equations(19) and (20), we can derive:
S 0 = π r + 2 α .
Let φ 0 = 1 , expression of the event horizon radius can be written as
r + = π 1 2 α S 0 1 2 α .
Obviously, the relationship between the BH mass and the event horizon radius in GBD theory meets
M = r + 2 + C 2 2 r +
Using expression (23), we draw the picture of the black hole mass relative to the event horizon radius for different parameter values C 2 , as shown in Figure 1. From Figure 1, we observe that for the case C 2 = 15 , the black hole mass reaches the minimum value M 3.87 when the event horizon radius is r + 3.87 .
Combining Eqs. (21) and(23), we obtain
M = 1 2 + π 1 2 α S 0 1 2 α ( π 1 2 α S 0 2 2 α + C 2 ) .
Then we can get the concrete expressions of temperature and heat capacity for the GBD black hole as follows:
T = M S 0 = π 1 2 α S 0 1 + α 2 α 2 α π 1 2 α S 0 α 3 2 α ( π 1 2 α S 0 2 2 α + C 2 ) 2 * ( 2 α )
C = M T = T S 0 T = S 0 * ( 2 + α ) ( π 2 2 + α ( 1 + α ) S 0 2 2 + α C 2 ) π 2 2 α ( 1 + α ) S 0 2 2 + α ( 3 + α ) C 2 .
According to these expressions, we plot the variation of BH temperature (upper graph) and heat capacity (lower graph) with respect to the event horizon radius in Figure 2. From Figure 2 (upper), we observe that the BH temperature is positive only within a specific range of the event horizon radius. For instance, for the parameter values α = 0.01 and C 2 = 15 , the BH temperature is positive when r + > 3.87 ; whereas for r + < 3.87 , it corresponds to a physically meaningless negative temperature region. Moreover, the black hole temperature reaches its maximum value when the event horizon radius is r + 6.73 . The lower graph of Figure 2 shows that the black hole undergoes a phase transition in the framework of GBD modified gravity theory, and the location of the phase transition depends on the model parameter values. For example, for α = 0.01 and C 2 = 15 , the black hole is in an unstable phase with negative heat capacity in the range 0 < r + < 3.87 , and the heat capacity of BH has its minimum value at the event horizon radius r + 2.87 ; On the other hand, for the range r > 3.87 , the black hole is in a stable phase with positive heat capacity. Clearly, the black hole undergoes a phase transition at r + 3.87 , where the BH heat capacity C = 0 .
By combining equations(18),(25) and (26), we can derive the corrected entropy expression for black holes under GBD theory, given by:
S = S 0 + ( r + 2 α ) α 2 α γ [ 1 + ( r + 2 α ) 2 2 + α C 2 ] 3 4 π ( 2 + α ) [ 1 α + ( r + 2 α ) 2 2 + α ( 3 + α ) C 2 ] .
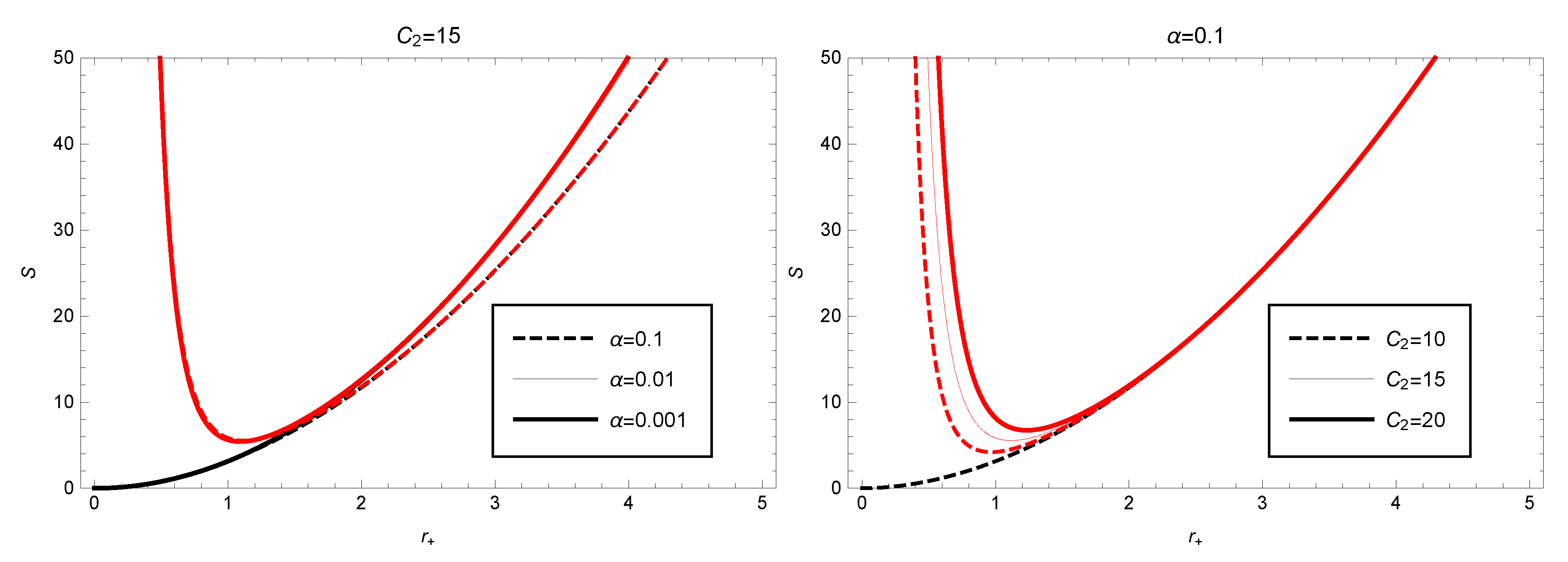
Taking the parameters γ = 1 , α = 0.01 and C 2 = 15 into account, we can use equation (27) to plot the corrected entropy as a function of the event horizon radius (as shown in Figure 3). From Figure 3, we observe that the entropy S with the correction term decreases rapidly with increasing event horizon radius and reaches its minimum value S 5.44 at r + 1.09 , then gradually increases. The plot of S 0 indicates that it increases monotonically with r + increasing. Comparing the two plots of S and S 0 , we find that the correction term has a significant effect mainly in the region of small values r + , and the entropy-increasing effect is very prominent. As for large values r + , the effect of the correction term can be almost ignored (the two curves almost overlap). In addition, we also calculate the influence of other model parameter values on the entropy. From Figure 3 (left), we can see that the variation of the model parameter C 2 has little effect on the corrected entropy when r + is large.

3. Analysis of geodesic motion stability of particles in black holes under GBD theory

In this section, we analyze the motion of particles and their properties around black holes in the GBD theoretical framework. The motion of a free particle in a gravitational field is described by the geodesic equation:
d 2 x μ d p 2 + Γ ν λ μ d x ν d p d x λ d p = 0 .
Here, p represents the orbital parameter. The component forms of geodesic equation can be written as
d 2 t d p 2 + B B d t d p d r d p = 0 .
d 2 r d p 2 + B B 2 ( d t d p ) 2 1 2 B ( d r d p ) 2 r B ( d θ d p ) 2 r B s i n 2 θ ( d φ d p ) 2 = 0 .
d 2 θ d p 2 + 2 r d θ d p d r d p s i n θ c o s θ ( d φ d p ) 2 = 0 .
d 2 φ d p 2 + 2 r d φ d p d r d p + 2 c o t θ d φ d p d θ d p = 0 .
Where the prime represents the derivative with respect to the radial coordinate r. For a gravitational field with spherical symmetry, without loss of generality, we select the initial position and velocity of the particle to be on the equatorial plane, i.e., θ = π 2 and d θ d p = 0 . Using equation (31), we obtain d 2 θ d p 2 = 0 , which indicates that the particle motion will always remain on the equatorial plane. For particles with non-zero rest mass, the orbital parameter is taken to be the proper time τ . Further derivation leads to two equations for the motion of particles in a gravitational field:
d t d τ = E B .
r 2 d φ d τ = J .
Here E and J are two constants of integration, representing the energy and angular momentum of a unit mass particle. Additionally, using the normalization condition of the four-velocity g μ ν U μ U ν = 1 and equations (33) and (34), we obtain:
( d r d τ ) 2 = E 2 B ( r ) ( 1 + J 2 r 2 ) .
We define the effective potential as:
V e f f ( r ) B ( r ) ( 1 + J 2 r 2 ) .
Then equation (35) becomes:
( d r d τ ) 2 = E 2 V e f f ( r ) .
Clearly, the properties of the gravitational potential in the GBD theory can be described by equation (36), which depends on the relative position and angular momentum of the particles. Combining equations (5) and (36), we see that when the radius is r , the effective potential is V e f f = 1 . Furthermore, equation (37) indicates that when E 2 = V e f f , i.e., d r d τ = 0 , the orbital radius r is constant, and the trajectory of particle is circular.
In black hole physics, it is meaningful to discuss the innermost stable circular orbit (ISCO). The ISCO is determined by the following expressions:
d V e f f d r | r = r I S C O = 0 .
d 2 V e f f d r 2 | r = r I S C O = 0 .
Therefore, for the GBD theory, we derive the relationship that the ISCO needs to satisfy:
3 r 2 C 1 2 + 8 C 2 2 + C 1 ( r 3 + 9 r C 2 ) r 2 ( r C 1 + 2 C 2 ) = 0
Solving the above equation numerically, we can plot the variation of the ISCO radius with respect to the parameters (as shown in Figure 4). Our calculations show that the radius of the ISCO in the GBD modified gravity theory framework will continuously increase with increasing values of the parameters C 1 and C 2 .
We also investigate the properties of angular momentum of particles in the GBD theory. Considering the condition of circular orbits in the equatorial plane:
θ = π 2 , d θ d τ = 0 , d r d τ = 0
we obtain the expressions for t and φ by calculating the components of the motion equation (28):
( d φ d τ ) 2 = B ( r ) r [ 2 B ( r ) r B ( r ) ]
( d t d τ ) 2 = 2 B ( r ) r B ( r )
From equations (42) and(43), we derive the expression for angular velocity as:
Ω = φ ˙ t ˙ = r B ( r ) 2 r
Furthermore, substituting equation (5) into equation (44) yields
Ω = r 3 C 1 r 2 C 2 2 r 4
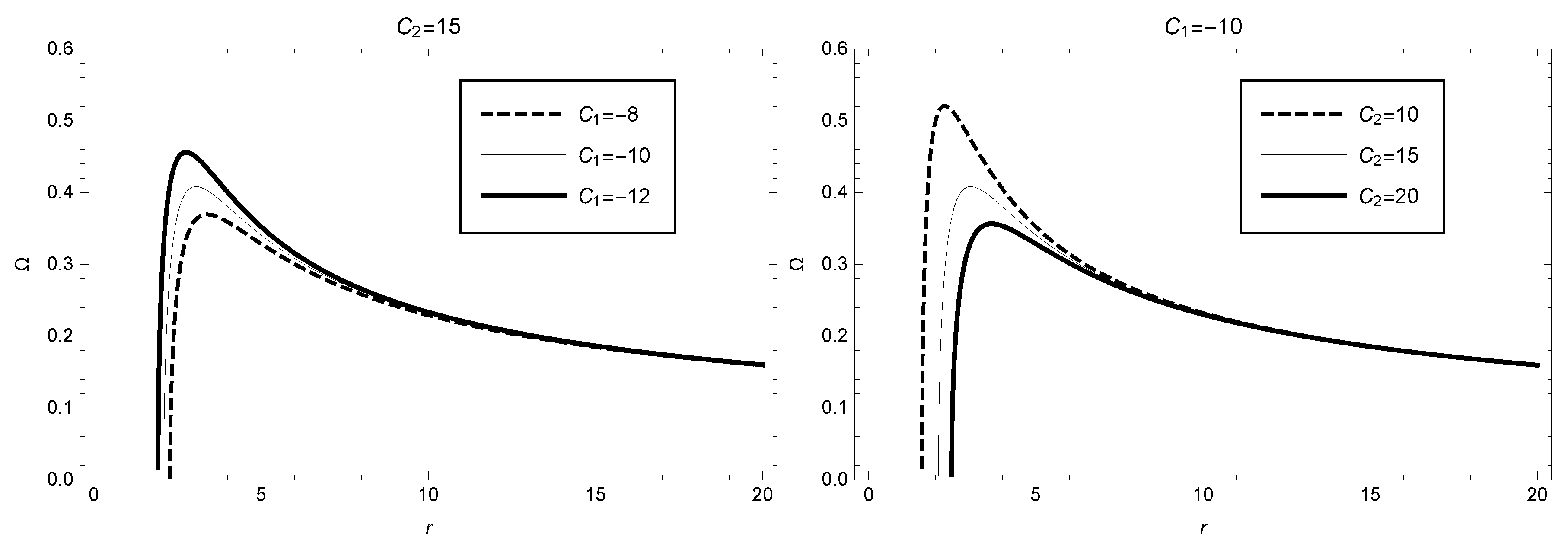
Using equation (45), we plot the picture of angular velocity as a function of the radius r in Figure 5, where parameter values C 1 = 10 and C 2 = 15 are selected (corresponding to the two thin-solid lines in Figure 5). For this case we can see that, for these parameter values, the angular velocity sharply increases in the range of radius r :2.09-3.05, reaches its maximum value Ω 0.41 at radius r 3.05 , and then Ω decreases to a steady state. In addition, to discuss the variation of angular velocity with respect to the parameters C 1 and C 2 , we also plot the curves for different values of these parameters in Figure 5. For example, in the left panel of Figure 5, we consider C 2 = 15 , C 1 with values of -8, -10, and -12, respectively. In the right panel of Figure 5, we consider C 1 = 10 , C 2 with values of 10, 15, and 20, respectively. From Figure 5, we observe that the values of angular velocity decrease with increasing values of C 1 or C 2 .
Also, we can derive to get the specific expressions of energy and angular momentum of unit mass particles in GBD modified theory as follows:
E = r 2 + C 1 r + C 2 r 2 2 r 2 2 r 2 + 3 C 1 r + 4 C 2
J = r 2 ( C 1 r + 2 C 2 ) 2 r 2 + 3 C 1 r + 4 C 2
Figure 6 shows the variation of energy and angular momentum of a unit mass particle with radius. From the figure, it can be seen that when the parameter values are taken as C 1 = 10 and C 2 = 15 , the energy sharply decreases in the radius interval 12.62-24.86, and reaches its minimum value E 0.93 at the radius r 24.86 . It then gradually increases. The variation trend of angular momentum is similar to that of energy, also reaching its minimum value J 15.67 at the radius r 24.86 . The variation of E and J for different parameter values C 1 and C 2 can be seen in detail in Figure 6. In the plots on the left, takes the value of C 2 = 15 , while in the plots on the right, takes the value of C 1 = 10 .
To study the issue of circular orbit stability of particles moving around a spherically symmetric black hole in GBD theory, we consider the application of the geodesic deviation equation. The geodesic deviation equation is given by:
d 2 ξ α d τ 2 + 2 Γ μ ν α d x μ d τ d ξ ν d τ + d x μ d τ d x ν d τ ξ β β Γ μ ν β = 0
where ξ α is the deviation four-vector. By substituting the spherically symmetric line element (4) and using equations (41)-(43), we can derive the expressions for the geodesic deviation equation components:
d 2 ξ 0 d φ 2 + B B d t d φ d ξ 1 d φ = 0
d 2 ξ 1 d φ 2 + B B d t d φ d ξ 0 d φ 2 r B d ξ 3 d φ + [ 1 2 ( d t d φ ) 2 ( B 2 + B B ) ( B + r B ) ] ξ 1 = 0
d 2 ξ 2 d φ 2 + ξ 2 = 0
d 2 ξ 3 d φ 2 + 2 r d ξ 1 d φ = 0
Obviously, the solution to equation(51) can be expressed as ξ 2 = ζ 2 e i φ . This indicates that the circular orbits of test particles initially in the equatorial plane will undergo harmonic vibration under perturbations. Therefore, the circular orbit of particle motion is stable. For other equations, assuming the solution takes the form:
ξ 0 = ζ 0 e i ω φ
ξ 1 = ζ 1 e i ω φ
ξ 3 = ζ 3 e i ω φ
then substituting equations(53)-(55) into equations (49), (50), and(52), and considering the stability requirement for circular orbit motion, we derive the following constraints:
ω 2 = 3 B 2 r B + r B B B > 0
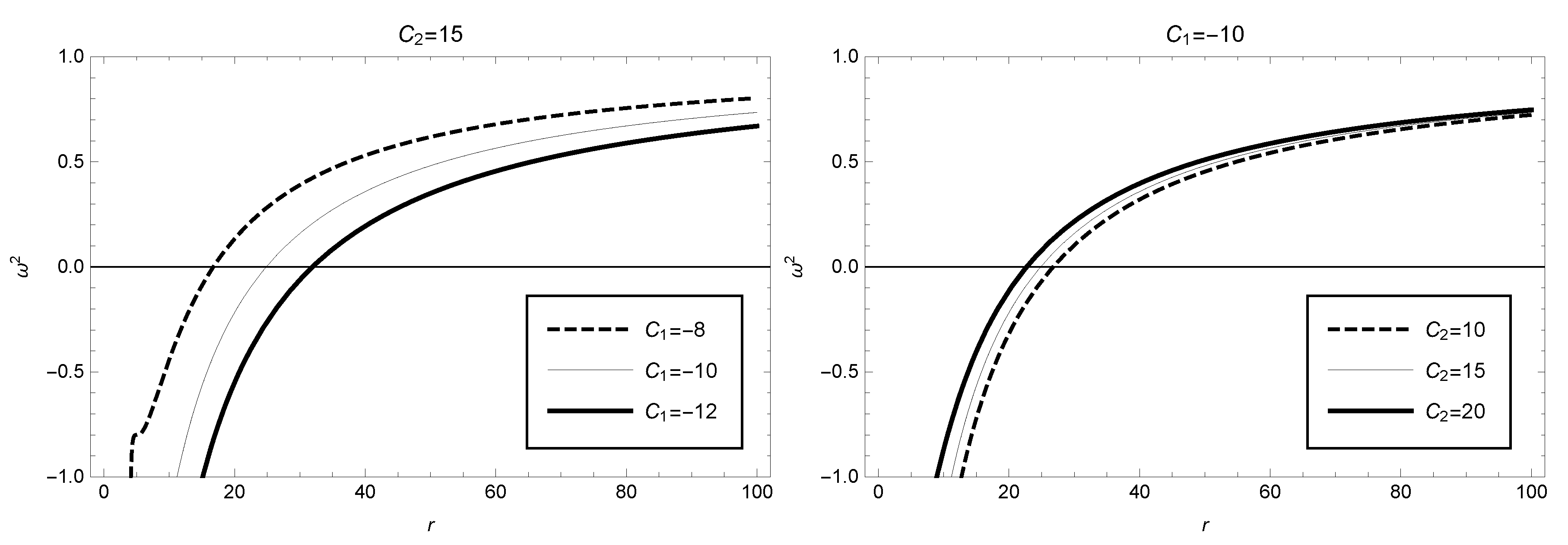
By substituting expression (5) into the above equation(56), we show in Figure 7 the dependence of the parameter ω 2 on the circular orbit radius r. When the integral constants are taken as C 1 = 10 and C 2 = 15 , we find that the stable region of circular orbits ω 2 > 0 is : r > 24.86 . The effects of other model parameter values on the parameter ω 2 and the corresponding stable circular orbit regions are shown in Figure 6 (the left figure with C 2 taken as 15 and the right figure with C 1 taken as -10).

4. Conclusion

The emergence of challenging problems such as gravity quantization and the origin of dark matter and dark energy has provided motivation for finding gravity theories beyond Einstein’s general relativity. Researchers in the field of gravity have made many efforts and practices in exploring modified or extended theories of general relativity, and the study of applying modified gravity theories to astrophysics and cosmology has increasingly received people’s attention. This article focuses on the properties of a BH solution from the so-called GBD theory. We investigates the thermodynamic corrected entropy problem of static spherically symmetric BHs and the stability of particle geodesics in BHs under the framework of the GBD modified gravity theory. Since studying the structure of geodesics in strong gravitational fields plays an important role in exploring the physical characteristics of compact objects, we firstly quantitatively analyze the contribution of the corrected term to the entropy in the GBD gravity. It is found that the effect of the correction term on entropy is significant when the value of the event horizon radius r + is small, while its effect can be negligible when r + is large. Secondly, the article also analyzes and shows the dependence relationship of black hole mass, temperature, heat capacity, etc. on the event horizon radius. Based on the motion equations, we investigate the relevant properties of physical quantities such as energy, gravitational potential energy, angular velocity, and angular momentum of test particles under the GBD theory. Finally, the article applies the geodesic deviation equation to analyze the stable circular orbit of test particles in the GBD theory and finds that the particle undergoes harmonic motion in the equatorial plane, and the range of the restricted area that the radial coordinate needs to satisfy to achieve stable circular orbit motion is given.

Acknowledgments

The research work is supported by the National Natural Science Foundation of China (12175095,12075109 and 11865012), and supported by LiaoNing Revitalization Talents Program (XLYC2007047).

References

  1. Abbott BP, et al. Observation of Gravitational Waves from a Binary Black Hole Merger. Physical Review Letters 2016, 116, 061102.
  2. Kazunori A, Antxon A, Walter A, et al. First M87 Event Horizon Telescope Results. I. The Shadow of the Supermassive Black Hole. The Astrophysical Journal Letters 2019, 875, 1. [CrossRef]
  3. A. De Felice and S. Tsujikawa, Living Rev. Rel. 2010; 13, arXiv:1002.4928.
  4. S. Capozziello and M. De Laurentis, Phys. Rept. 2011; arXiv:1108.6266.
  5. S. Nojiri and S. D. Odintsov, Phys. Rept. 2011; arXiv:1011.0544.
  6. G. G. L. Nashed and E. N. Saridakis, Class. Quant. Grav. 1350; 36, arXiv:1811.03658.
  7. T. Harko, F. S. N. T. Harko, F. S. N. Lobo, S. Nojiri, and S. D. Odintsov, Phys. Rev. 2011; 84, 024020arXiv:1104.2669. [Google Scholar]
  8. G. Cognola, E. G. Cognola, E. Elizalde, S. Nojiri, S. D. Odintsov, and S. Zerbini, Phys. Rev. D73, 084007 (2006),arXiv:hep-th/0601008.
  9. Lu J B, Wang Y, Zhao X. Linearized Modified Gravity Theories and Gravitational Waves Physics in the GBD Theory. Physics Letter B 2019, 795, 129–134. [CrossRef]
  10. Lu J B, Wu Y B,Yang W Q, et al. The Generalized Brans-Dicke Theory and its Cosmology. The European Physical Journal Plus 2019, 134, 138.
  11. Lu J B, Li J C, Guo H, et al. Linearized Physics and Gravitational-waves Polarizations in the Palatini Formalism of GBD Theory. Physics Letters B 2020, 811, 135985.
  12. Spherically symmetric, static black holes with scalar hair, and naked singularities in nonminimally coupled k-essence. Ceclia Nagy, Zoltn Keresztes, Lszl. Gergely. Phys. Rev. D 103, 124056 (2021).
  13. Regularized Stable Kerr Black Hole: Cosmic Censorships, Shadow and Quasi-Normal Modes. Rajes Ghosh, Mostafizur Rahman, Akash K Mishra. Eur. Phys. J. 2023; 83, 91.
  14. Greybody Factor for a Static Spherically Symmetric Black Hole With Non-Linear Electrodynamics. M. Sharif, A. Greybody Factor for a Static Spherically Symmetric Black Hole With Non-Linear Electrodynamics. M. Sharif, A. Raza. Annals Phys. 2022. [Google Scholar]
  15. Two-dimensional Particle-in-Cell simulations of axisymmetric black hole magnetospheres: angular dependence of the Blandford-Znajek flux. Kouichi Hirotani, Hsien Shang, Ruben Krasnopolsky, Ken-ichi Nishikawa. The Astrophysical Journal, 943:164 (19pp), 2023 February 1.
  16. A regular black hole as the final state of evolution of a singular black hole. Han-Wen Hu, Chen Lan, Yan-Gang Miao. arXiv:2303. 0393.
  17. D. V. Fursaev and S. N. Solodukhin, On one loop renormalization of black hole entropy. Phys. Lett. B 1996, 365, 51–55. [CrossRef]
  18. Kumar, S. Gupta and Siddhartha Sen, Further evidence for the conformal structure of a Schwarzschild black hole in an algebraic approach, Phys. Lett. B 526, 121 (2002).
  19. Ashoke Sen, Logarithmic Corrections to N=2 Black Hole Entropy: An Infrared Window into the Microstates, Gen. Rel. and Grav. 44, 1207 (2012).
  20. Ashoke Sen, Logarithmic Corrections to Schwarzschild and Other Non-extremal Black Hole Entropy in Different Dimensions, JHEP 04, 156 (2013).
  21. G.G.L. Nashed, Emmanuel N. Saridakis, JCAP 05 (2022) 017, arXiv:2111.06359.
  22. G.G.L.Nashed, Physics Letters B Volume 815, 2021, 136133. arXiv:2102.11722.
  23. G.G.L. Nashed, S. Nojiri, Physical Review D 102, 124022 (2020). arXiv:2012.05711.
  24. Spherically symmetric black holes with electric and magnetic charge in extended gravity:Physical properties, causal structure, and stability analysis in Einsteins and Jordans frames. E. Elizalde, G.G.L Nashed, S. Nojiri,and S.D. Odintsov. Eur. Phys. J. C (2020) 80:109.
  25. Mimetic Euler-Heisenberg theory, charged solutions and multi-horizon black holes. G. G. L. Nashed, Shinichi Nojiri. Phys. Rev. 0440; 43.
  26. S. Ghosh, S. S. Ghosh, S. Kar and H. Nandan, Phys. Rev. D 82, 024040 (2010).
  27. R. Uniyal, H. R. Uniyal, H. Nandan and K. D. Purohit,Mod.Phys.Lett. A29, 1450157 (2014).
  28. David Wenjie Tian. Supporting Wormholes by Spacetime Parity and Topology in the Lovelock-Brans-Dicke Gravity. arXiv:1508.02291.
  29. Salvatore Capozziello. Curvature Quintessence. International Journal of Theoretical Physics, 2002, 11:483-492.
  30. B.Pourhassan, S. B.Pourhassan, S.Upadhyay, H.Saadat and H.Farahani, Quantum gravity effects on HoravaLifshitz black hole, Nuclear Physics B 928, 415. 2018; arXiv:1705.03005. [Google Scholar]
  31. B: A and Mottelson B R 1969 Nuclear Structure vol 1 (New York: Benjamin) pp 281C3.
  32. A: R K 1988 Models of the Nucleon (Reading, MA: Addison-Wesley) p 116, 1988.
  33. General logarithmic corrections to black-hole entropy. Saurya Das, Parthasarathi Majumdar and Rajat K Bhaduri. Class. Quantum Grav. 19 (2002) 2355C2367. 2002.
  34. Wen-Xiang Chen, Yao-Guang Zheng, Jing-Yi Zhang. Thermodynamic Geometric Analysis of Schwarzschild and RN Black Hole Under f(R) Gravity. arXiv:2112.06718.
Figure 1. With taking the different values of C 2 , mass for spherically symmetric black hole as function of the event horizon radius in the framework of GBD modified theory.
Figure 1. With taking the different values of C 2 , mass for spherically symmetric black hole as function of the event horizon radius in the framework of GBD modified theory.
Preprints 71437 g001
Figure 2. Black hole temperature (upper) and heat capacity (lower) as function of the event horizon radius in GBD theory, where α = 0.01 (or C 2 = 15 ) has been taken in the left (or right) figure.
Figure 2. Black hole temperature (upper) and heat capacity (lower) as function of the event horizon radius in GBD theory, where α = 0.01 (or C 2 = 15 ) has been taken in the left (or right) figure.
Preprints 71437 g002
Figure 3. Black hole thermodynamic correction entropy as function of the event horizon radius in GBD theory (red curve denotes the variation of S, and black curve denotes the variation of S 0 ), where C 2 = 15 (or α = 0.01 ) has been taken in the left (or right) figure.
Figure 3. Black hole thermodynamic correction entropy as function of the event horizon radius in GBD theory (red curve denotes the variation of S, and black curve denotes the variation of S 0 ), where C 2 = 15 (or α = 0.01 ) has been taken in the left (or right) figure.
Preprints 71437 g003
Figure 4. Radius of the ISCO as function of the parameter C 1 in GBD theory, where the different values of C 2 have been taken.
Figure 4. Radius of the ISCO as function of the parameter C 1 in GBD theory, where the different values of C 2 have been taken.
Preprints 71437 g004
Figure 5. Angular velocity as function of the radius r in the framework of GBD modified theory, where C 2 = 15 (or C 1 = 10 ) has been taken in the left (or right) figure.
Figure 5. Angular velocity as function of the radius r in the framework of GBD modified theory, where C 2 = 15 (or C 1 = 10 ) has been taken in the left (or right) figure.
Preprints 71437 g005
Figure 6. Specific energy (upper) and angular momentum (lower) as function of the radius in GBD theory, where C 2 = 15 (or C 1 = 10 ) has been taken in the left (or right) figure.
Figure 6. Specific energy (upper) and angular momentum (lower) as function of the radius in GBD theory, where C 2 = 15 (or C 1 = 10 ) has been taken in the left (or right) figure.
Preprints 71437 g006
Figure 7. ω 2 as function of the radius in the framework of GBD modified theory, where C 2 = 15 (or C 1 = 10 ) has been taken in the left (or right) figure.
Figure 7. ω 2 as function of the radius in the framework of GBD modified theory, where C 2 = 15 (or C 1 = 10 ) has been taken in the left (or right) figure.
Preprints 71437 g007
Disclaimer/Publisher’s Note: The statements, opinions and data contained in all publications are solely those of the individual author(s) and contributor(s) and not of MDPI and/or the editor(s). MDPI and/or the editor(s) disclaim responsibility for any injury to people or property resulting from any ideas, methods, instructions or products referred to in the content.
Copyright: This open access article is published under a Creative Commons CC BY 4.0 license, which permit the free download, distribution, and reuse, provided that the author and preprint are cited in any reuse.
Prerpints.org logo

Preprints.org is a free preprint server supported by MDPI in Basel, Switzerland.

Subscribe

Disclaimer

Terms of Use

Privacy Policy

Privacy Settings

© 2026 MDPI (Basel, Switzerland) unless otherwise stated