Submitted:
13 April 2023
Posted:
14 April 2023
You are already at the latest version
Abstract
Keywords:
1. Introduction
2. Results
2.1. Influence of Cl and S Rates on Biomass Accumulation, Nutrient Uptake, and NUE under Greenhouse Conditions
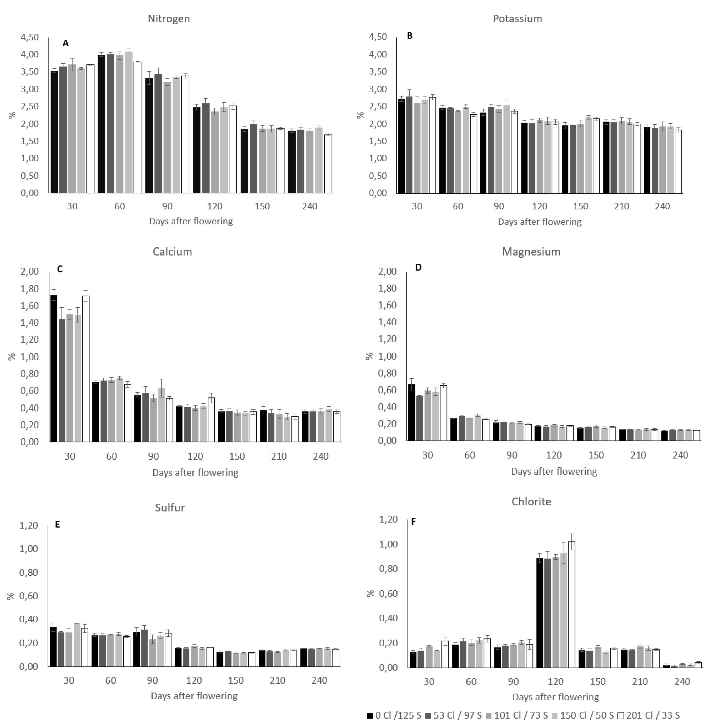
2.2. Cl/S Ratios Influence the Nutrient Concentration and Uptake by the Coffee Beans under Field Conditions

2.3. Cl/S Ratios Influence Nitrogen Uses Efficiency by the Coffee Beans at the Field Level
2.4. Cl/S Ratios Influence the Cl and S Distribution in the Soil Profile
3. Discussion
3.1. Cl- Concentration on Tissues and Influence on Growth and Productivity
3.2. Cl- Influence on Nutrients Uptake and NUE
3.3. Cl- on the Soil
4. Materials and Methods
4.1. Greenhouse Trial
4.2. Field Trial
5. Conclusions
Author Contributions
Funding
Data Availability Statement
Acknowledgments
Conflicts of Interest
References
- White, J.P.; Broadley, R.M. Chloride in Soils and its Uptake and Movement within the Plant. A Review. Annals of Botanic. 2001. 88:967-988. [CrossRef]
- Colmenero-Flores, J.M.; Franco-Navarro, J.D.; Cubero-Front, P.; Peinado-Torrubia, P.; Rosales, M.A. Chloride as a beneficial Macronutrient in Higher Plants: New Roles and Regulation. Int. J. Mol.Sci. 2019. 20. 4686. [CrossRef]
- Broyer, T.C.; Carlton, A.B.; Johnson, C.M.; Stout, P.R. Chlorine-A micronutrient element for higher plants. Plant Physiol. 1954.29:526-532.
- Chen, E.; He, L. Z.; Yang, E.X.; Mishra, S.; Stoffella, J.P. Chlorine nutrition of higher plants: progress and perspectives. Journal of Plant Nutr. 2010. 33:943-952. [CrossRef]
- Marschner, P. Marschner´s Mineral Nutrition of Higher Plants. Third Edition. 2012. Edited by Petra Marschner. Academic Press/Elsevier.668p.
- Franco-Navarro, J.D.; Brúmos, J.; Rosales, M.A.; Cubero-Font, P.; Talón, M.; Colmero-Flores. J.M. Chloride regulates leaf cell size and water relations in tobacco plants. J.Exp.Bot. 2015. 67: 873-891. [CrossRef]
- Terry, N. Photosynthesis, Growth, and the Role of Chloride. Plant Physiol. 1977.60:69-75.
- Rosales, M.A.; Franco-Navarro, J.D.; Peinado-Torrubia, P.; Diaz-Rueda, P.; Alvarez, R.; Colmero-Flores, J.M. Chloride Improves Nitrates Utilization and NUE in Plants. Front. Plant Sci. 2020.11.442. [CrossRef]
- Neto, A.P.; Favarin, J.L.; Munhoz de Almeida, R.E.; Dos santos-dias, C.T.; Tezotto, T, Ferreira, M.T. Changes of Nutritional Status during a Phenological Cycle of Coffee under High Nitrogen Supply by Fertigation. Communications in Soil Science and Plant Analysis. 2011. 42:2414-2425. [CrossRef]
- Neto, A.P.; Favarin, J.L; Rodrigues do Reis, A.; Tezotto, T.; Munhoz de Almeida, R.E.; Levres, J.; Gallo, L.A. Nitrogen metabolism in coffee plants in response to nitrogen supply by fertigation. Theor.Exp.Plant Physiol.2015.27:41-50. [CrossRef]
- Bruno, P.I.; Unkovich, J.M.; Bortolotto, P.R.; Bacchi, O.S.; Dourado, N.D., Reichardt, K. Fertilizer nitrogen in fertigated coffee crop: Absorption changes in plant compartments over time. Field Crops Research. 2011.124:369.377.
- Sadeghian, K. S.; Duque, O.H. Optimal doses of nutrients for coffee plantations in production: Economical considerations (in Spanish) Advances Técnicos Cenicafé, 2021.533, 1–8. [CrossRef]
- Favarin, J.L.; Teles de Souza, L.; Mazzafera, P.; Dimenstein, L. Soil correction and fertilization of irrigated coffee plants in production.(in Portuguese) In: Cafeicultura do Cerrado/editores técnicos Gladyston Rodrigues/Carvalho et al-Belo Horizonte:EPAMIG. 2021. 564p.
- Cannavo, P.; Harmand, J.M.; Zeller, B.; Vaast, F.; Ramirez, J.E.; Dambrine, E. Low nitrogen use efficiency and high nitrate leaching in a highly fertilized Coffea arabica -Inga densiflora agroforestry system: a 15N labeled fertilizer study. Nutr. Cycl. Agroecosyst. 2013.92(2). [CrossRef]
- Salamanca, J.A.; Doane, T.; Horwath, R.W. Nitrogen Use Efficiency of Coffee at the Vegetative Stage as Influenced by Fertilizer Application Method. Front.Plant Sci. 2017. 8:223. [CrossRef]
- Silva, E.B., Nogueira, F.D., Guimaräes, P.T.G.; Furtini Neto, A.E. Responds of the coffee to the potassium fertilization (in Portuguese). Pesq. Agropec. Bras. 2001. 36(11):133-1337.
- Sadeghian, K. S. Soil fertility and coffee nutrition in Colombia (in Spanish). Boletín Técnico No 32.-Cenicafé. 2008.43p.
- Cuzato-Mancuso, M.A.; Peres, S.R.; Costa, C.C.A.; Amaral, C.G.S. Effect of the potassium sources and rates on arabica coffee yield, nutrition, and macronutrient export.Rev..Bras.Cienc.Solo.2014.38(5):1448-1456. [CrossRef]
- Mengel, K.; Kirkby, E.A. Principles of Plant Nutrition. Edt. International Potash Institute, CH-3048 Worblaufen-Bern/Switzerland.1978.593p.
- Santos, C.; Malta, M.R.; Gonzalves, M.G.M.;Borém, F.M.; Pozza, A.A.A.; Martinez, H.E.P.; de Souza, T.I.; Chagas, W.F.T.; de Melo, M.E.A.; Oliveira, D.P. et al.. Chloride Applied via Fertilizer Affects Plant Nutrition and Coffee Quality.. Plants.2023.12, 885. [CrossRef]
- Xu, G.; Magen, H.; Tarchitzky, J.; Kafkafi, U. Advances in chloride nutrition of plants. In Advances in Agronomy; Sparks, D.L., Ed.; Academic Press: San Diego, ca, USA.2000.Vol 68: 97-150.
- Silva, E.B., Nogueira, F.D., Guimaräes, P.T.G.; Chagas, S.J.R.; Costa, L. Sources and rates of potassium influence on productivity and quality of the coffee (in Portuguese). Pesq. Agropec. Bras. 1999.34(3):133-1337.
- Diaz-Zorita, M.; Duarte, A.G.; Barraco, M. Effects of Chloride Fertilization on Wheat (Triticum aestivum L.) Productivity in the Sandy Pampas Region, Argentina. Agron. Journal. 2004.96(3): 839-844. [CrossRef]
- Randle, M.W. Chloride Requirements in Onion: Clarifying a Widespread Misunderstanding. Better Crops. 2004.88(4).
- De Wit, C.T.; Dijkshoorn, W.; Noggle, J.C. Ionic balance and growth of plants. Verlagen van landbouwkundige onderzoekingen, Wageningen, 1963.68p.
- Diatlofft, E.; Roberts, M.; Sanders, D.; Roberts, K.S. Characterization of Anion Channels in the Plasma Membrane of Arabidopsis Epidermal Roots Cells and the Identifications of a Citrate-Permeable Channel Induced by Phosphate Starvation. Plant. Physi.2004.136:4136-4149.
- Carillo, P and Rouphael, Y. Nitrate Uptake and Use Efficiency: Pros and Cons of Chloride interference in the Vegetable Crops. Front. Plant. Sci. 2022. 13:899552. [CrossRef]
- Kafkafi, U.; Valoras, N.; Letey, J. Chloride interaction with nitrate and phosphate nutrition in tomato (Lycopersicon esculentum L.). J. of Plant. Nutr.2008.5(12): 1369-1385. [CrossRef]
- Imas, P.; Bansal, S.K. Use of MOP as fertilizer- Some Myths and Reality. Fertilizer News. 2004.49(11):51-55.5p.
- Fixen, P.E.; Buchenau, W.G.; Gelderman, H.R.; Schumacher, E.T.; Gerwing, E.T.; Cholick.; A.F.; Farber, G.B. Influences of Soil and Applied Chloride on Several Wheat Parameters. Agron. J. 1989.78(4): 736-740.
- Arcila, P. J., Buhr, L., Bleiholder, H., Hack, H., Meier, U., and Wicke, H. Application of the extended BBCH scale for the description of the growing stages of coffee (Coffea spp.).Ann. Appl. Biol.2002.141, 19–27. [CrossRef]
- Alvarado, G.; Posada, H.E.; Cortina, H.A. CASTILLO a New Coffee Variety with Rust Resistance (in Spanish). Av. Tec. Cenicafe. 2005.337, 1–8.
- Riaño, H. N.M.; Arcila, P.J.; Jaramillo, R.A.; Chaves, C.B. Dry matter accumulation and nutrient extraction by Coffea arabica L cv. Colombia in three localities of the central coffee zone (in Spanish). Cenicafé.2004.55(4): 265-276.
- Sadeghian, K. S.; Mejia, M.B.; Arcila, P.J. Elemental composition of coffee fruits and extraction of nutrients by the harvest in the coffee zone of Colombia (in Spanish). Cenicafé. 2006.57(4): 251-261.
- Sadeghian, K.S.; Mejia, M.B.; González, O. H. Accumulation of nitrogen, phosphorus, and potassium in coffee fruits (in Spanish). Av. Tec. Cenicafe. 2013. 429, 1–8.
- Congreves, K.A.; Otchere, O.; Ferland, D.; Farzadfar, S.; Williams, S.; and Arcand, MM. Nitrogen Use Efficiency Definitions of Today and Tomorrow. Front. Plant Sci. 2021.12:637108. [CrossRef]
- Dobermann, A. Nutrient uses efficient measurement and management. Agronomy & Horticulture. University of Nebraska-Faculty Publications.2007.1442. https://digitalcommons.unl.edu/agronomyfacpub/1442.
- Rendón, S.J.R.; Giraldo, H. Distribution of roots in coffee variety Castillo® under two spatial arrangements (in Spanish). Cenicafé.2019.70(1):7-17. [CrossRef]
- Ramirez, B. V.H.; Jaramillo, R.A.; Arcila, P.J. Indices to evaluate water status in coffee plantations (in Spanish). Cenicafé. 2010.61(1):55-66.
- Ramirez, B. V.H.; Küsters, J. Calcium and Potassium nutrition increase the water use efficiency in coffee: A promising strategy to adapt to climate change. Hydrology.2021.8, 75. [CrossRef]




| Cl/S Rates | Total DW | Root DW |
N |
Cl |
N Uptake |
S Uptake |
Total Shoot Cl Uptake |
NUTE | NUE |
|---|---|---|---|---|---|---|---|---|---|
| mg.L-1 | g.plant-1 | Content in Leaves % |
mg.plant-1 | g2 DW. mg-1 N |
g Shoot DW. g-1 of N Applied | ||||
| 0/200 | 82,1d | 27,0c | 2,58a | 0,03a | 1.234,7b | 174,2c | 19,3a | 0,047c | 0,83c |
| 60/160 | 74,1bc | 20,3bc | 2,68a | 0,16b | 1.230,0b | 137,2c | 89,1b | 0,044c | 0,86cb |
| 120/120 | 79,4cd | 23,3bc | 2,59a | 0,33c | 1.236,5b | 106,0c | 173,4c | 0,046c | 0,86cb |
| 180/80 | 74,8bc | 18,5b | 2,69a | 0,55d | 1.281,1c | 90,4b | 276,3d | 0,038b | 0,89b |
| 240/40 | 72,1b | 16,2ab | 2,67a | 0,69e | 1.306,3c | 84,9b | 361,7e | 0,043c | 0,89b |
| 300/0 | 37,9a | 10,2a | 4,43b | 2,98f | 1.095,8a | 19,4a | 587,2f | 0,029a | 0,73a |
| p-value | *** | ** | *** | *** | *** | *** | *** | *** | *** |
| Nutrient Concentration (%) | Nutrient Uptake at Harvest Time (t.ha-1) | |||||||
|---|---|---|---|---|---|---|---|---|
| Nutrient | Days after Flowering | |||||||
| 30 | 60 | 90 | 120 | 150 | 210 | 240 | 240 | |
| p-Value | ||||||||
| N | 0,67 | 0,13 | 0,48 | 0,37 | 0,61 | -- | 0,099* | 0,028** |
| K | 0,90 | 0,02** | 0,64 | 0,93 | 0,03** | 0,94 | 0,83 | 0,239 |
| Ca | 0,13 | 0,50 | 0,46 | 0,25 | 0,91 | 0,42 | 0,82 | 0,220 |
| Mg | 0,38 | 0,04** | 0,52 | 0,85 | 0,49 | 0,83 | 0,19 | 0,398 |
| S | 0,38 | 0,68 | 0,18 | 0,36 | 0,60 | 0,081* | 0,54 | 0,459 |
| Cl | 0,14 | 0,69 | 0,78 | 0,53 | 0,11 | 0,21 | 0,27 | 0,006** |
| Cl/S Rate± kg.ha-1 |
Yield+ |
N-Uptake |
Mean N-Uptake |
Mean N. Applied+ |
NUE +++ |
|---|---|---|---|---|---|
| t.ha-1 | kg.t-1 | kg.ha-1 year-1 | kg. kg-1 | ||
| 0/125 | 4,02 (+/-2,05) |
36,7 (+/-2,04) |
147,4 (+/-74,5) |
308 (+/-20,75) |
0,48 (+/-0,23) |
| 53/97 | 4,01 (+/-1,85) |
39,1 (+/-2,43) |
157,3 (+/-75,3) |
308 (+/-20,75) |
0,51 (+/-0,24) |
| 101/73 | 4,03 (+/-1,96) |
37,5 (+/-2,32) |
151,4 (+/-75,9) |
308 (+/-20,75) |
0,49 (+/-0,23) |
| 150/50 | 4,03 (+/-2,11) |
37,9 (+/-2,08) |
152,8 (+/-78,5) |
308 (+/-20,75) |
0,50 (+/-0,24) |
| 201/33 | 3,92 (+/-1,87) |
34,3 (+/-1,31) |
134,3 (+/-64,21) |
308 (+/-20,75) |
0,44 (+/-0,20) |
| p-value | ns | * | * | ns | |
| Year |
T.min (°C) |
T.max (°C) | T. med (°C) | R.H (%) | Rainfall (mm) | Sunshine (Hours) | Rainfall in the Trial Area (mm) |
|
2017 2018 2019 2020 |
16,9 16,6± 16,1 -- |
24,6 25,1± 23,8 -- |
20,2 20,3± 19,4 -- |
77,1 72,6± -- -- |
1.575 1.234 1.426 1.206 |
1.146,7 -- 1.314,0 -- |
2.483 2.053 2.319 2.100 |
| Mean |
| Treatment | 2017 | 2018 | 2019 | 2020 | Average |
|---|---|---|---|---|---|
| Cl/S Rates (kg.ha-1) | |||||
| 1 | 0/41 | 0/96 | 0/174 | 0/188 | 0/125 |
| 2 | 21/30 | 43/62 | 74/140 | 74/156 | 53/97 |
| 3 | 40/20 | 86/41 | 138/109 | 138/123 | 101/73 |
| 4 | 61/10 | 129/22 | 205/78 | 202/91 | 150/50 |
| 5 | 80/0 | 175/30 | 276/44 | 276/59 | 201/33 |
| 1 to 5 | K2O rates (kg.ha-1) | ||||
| 110 | 230 | 360 | 360 | 265 | |
| N rates (kg.ha-1) | |||||
| 160 | 163 | 280 | 320 | 231 | |
| P2O5 rates (kg.ha-1) | |||||
| 90 | 46 | 92 | 92 | 80 | |
| CaO rates (kg.ha-1) | |||||
| 130 | 86 | 104 | 121 | 110 | |
| MgO rates (kg.ha-1) | |||||
| 29 | 50 | 54 | 72 | 51 | |
Disclaimer/Publisher’s Note: The statements, opinions and data contained in all publications are solely those of the individual author(s) and contributor(s) and not of MDPI and/or the editor(s). MDPI and/or the editor(s) disclaim responsibility for any injury to people or property resulting from any ideas, methods, instructions or products referred to in the content. |
© 2023 by the authors. Licensee MDPI, Basel, Switzerland. This article is an open access article distributed under the terms and conditions of the Creative Commons Attribution (CC BY) license (http://creativecommons.org/licenses/by/4.0/).
