Preprint
Article

This version is not peer-reviewed.

Exploring the Interplay of New Energy Vehicle Enterprises, Consumers, and Government in the Context of the 'Dual Carbon' Target: An Evolutionary Game and Simulation Analysis

A peer-reviewed article of this preprint also exists.

Submitted:

04 April 2023

Posted:

05 April 2023

You are already at the latest version

Abstract
To promote low-carbon and green travel, this study proposes a tripartite evolutionary game model among new energy vehicle manufacturers, consumers, and government agencies. The game strategy combinations of each party and the stability conditions of the equilibrium point in the evolutionary game system are analyzed, and the validity of the conclusions is verified through simulation results. The study shows a strong correlation between the three parties in the evolutionary game system. From the perspective of car manufacturers, the probability of producing new energy vehicles is positively proportional to the subsidy received from new energy policy, the additional revenue gained from the management of the carbon trading scheme, and the fine received for producing conventional fuel vehicles. However, from the consumer perspective, the likelihood that consumers purchase new energy vehicles is positively related to the utility value to consumers and the coverage of public charging points in the city, and inversely related to the sales price of new energy vehicles. From the government perspective, a combination of direct subsidy policies and indirect support strategies should be considered to stimulate the rapid development of the new energy vehicle industry.
Keywords: 
;  ;  ;  

1. Introduction

Achieving the “Carbon Peak” and “Carbon Neutral” targets is a significant strategic decision made by the Chinese government after careful consideration. Green and low-carbon mobility has become a consensus among the whole society. In the government report of the National People’s Congress in 2021, China clearly proposed to achieve “Peak Carbon” by 2030 and “Carbon Neutral” by 2060 [1]. However, being a developing country, China’s energy consumption is dominated by traditional coal and oil. Although the growth rate of greenhouse gas emissions has slowed down in recent years, emissions from vehicles in the transport field are still on the rise. While people enjoy the fast, convenient, and comfortable travel that transport brings, carbon emissions from transport are also increasing year by year. Statistics show that China is currently one of the largest carbon-emitting countries in the world, and the transport sector ranks third in terms of carbon emissions, accounting for approximately 10% of all industries [2]. This indicates that China has a colossal task and challenge to successfully achieve the “dual carbon” target. To meet this goal, China needs to actively promote energy-efficient and low-carbon transport and encourage urban residents to switch to low-carbon and green travel as soon as possible.
New energy vehicles are powered by green and environmentally friendly electricity, in contrast to traditional fuel vehicles that rely on non-renewable oil resources. However, the adoption of new energy vehicles in China remains low. As of June 2021, the Ministry of Public Security reported that out of the 384 million vehicles in the country, only 6.03 million were new energy vehicles, accounting for just 2.06% of the total [2]. To promote the healthy growth of the new energy vehicle industry, China has long supported its development. In 2021, the State Council released the “Action Plan to Reach the Carbon Peak by 2030,” which set a target for new energy and clean energy-powered vehicles to reach approximately 40% of all vehicles on the road by 2030, with an estimated 10 million new energy vehicles purchased that year [3]. In order to compete with conventional fuel vehicles and meet these ambitious goals, both government support and consumer demand are necessary. The governments can encourage car manufacturers to accelerate production of new energy vehicles, while also incentivizing consumers to increase their purchase and use of such vehicles for transportation. As part of the national strategy to promote low-carbon mobility, exploring the evolutionary game among new energy vehicle manufacturers, consumers, and the governments is crucial to achieving the goals of “Carbon Peak” and “Carbon Neutral” in the transport sector as quickly as possible.
In the past decade, China has witnessed rapid growth in the new energy vehicle market, becoming the largest in the world. However, practical issues remain to be solved. For instance, while local governments offer subsidies or incentives to manufacturers and consumers of new energy vehicles, deficiencies in such policies exist. Some manufacturers and consumers find ways to cheat the government subsidies by setting up intermediary leasing companies and selling vehicles directly to each other [4], causing irreversible losses to the subsidy system, offering no real policy protection to consumers, and placing a significant burden on government finances in the long run. If subsidies for the production and consumption of new energy vehicles are gradually reduced or removed in the future, this may affect car manufacturers’ strategies in producing new energy vehicles or discourage users from buying them. Therefore, it is necessary to examine whether subsidies can be combined with other indirect incentives to promote the growth of the new energy vehicle market. Despite the government’s support in increasing the production of new energy vehicles, many consumers remain skeptical about purchasing them due to concerns about the stability of the development process and the lack of complete charging infrastructure. Consumers’ willingness to buy and use new energy vehicles as their primary mode of transportation depends largely on their evolutionary game strategy.
The existing literature mainly focuses on discussing the effectiveness of government policies on new energy vehicles. It also analyzes the strategic combination choice from the vehicle manufacturers’ perspective in the dynamic game relationship between two or three parties. Moreover, the literature explores the consumers’ willingness to purchase new energy vehicles. However, there is a need for further research in this field to gain a more comprehensive understanding of the topic.
Specifically, scholars have made a detailed analysis of various new energy vehicle policies adopted by the government, which are embodied in quota subsidies for the production of new energy vehicles by manufacturers [5,6,7], direct subsidies for technological research and development of new energy vehicle manufacturers [8,9,10], and exemption or reduction of vehicle tax for new energy vehicles, etc.[11,12,13]. Gong H, et al. [14], by analyzing the changing pattern of new energy vehicle policies in China over the past decade, concluded that direct government subsidies for the new energy vehicle production were a direct and effective policy, but dynamic and flexible subsidies should be adopted according to the development level of new energy vehicles. Zhong T Y, et al.[15] argued that subsidies and incentives should be increased at the early stage of the development of new energy vehicles in order to achieve the purpose of increasing the market share. Gao Q, et al.[16] found that when government support for the new energy vehicle industry was increased, it was not necessarily to achieve good results, especially when the new energy vehicle market reached saturation, and the governments should maintain the subsidies within a reasonable range. In addition, some scholars believed that in addition to direct subsidies to new energy vehicle manufacturers, other indirect policies also affected the development of new energy vehicles. For example, Zhou Y, et al.[17] conducted a comparative analysis of the marginal utility of fiscal subsidies and tax rebates, and found that there were fundamental differences between the two policies. Compared to fiscal subsidies, tax breaks were more market-oriented. Zhang X L, et al.[18] argued that the governments did not need to choose a reasonable subsidy policy but can also adopted a regulatory penalty mechanism for conventional fuel vehicles to coordinate the game among government departments, vehicle manufacturers and consumers.
Many scholars have also explored the strategic choices in the dynamic game relationship between two or three parties from the perspective of automobile manufacturers. Yang J W, et al.[19] analyzed the evolutionary game among the governments, car manufacturers and consumers in the context of a low-carbon economy, and suggested that if the production demand of new energy vehicle enterprises did not match with the government’s subsidy policy, the whole evolutionary process would develop in an unfavorable direction. Wang Q M, et al.[20] constructed a dynamic game model between the behavior of automotive enterprises and government subsidies, and conducted an econometric analysis of various influencing factors using panel data of listed automotive enterprises. The results of this study showed that there was a significant positive relationship between the R&D investment behavior of new energy vehicle enterprises and government subsidy policies. Sun H X, et al.[21] also developed an evolutionary game model between enterprises and the government to analyze the evolutionary stabilization strategies of producers and to simulate changes in the behaviors of automobile producers when the subsidy declined. Hawkins T R, et al.[22] made a comparative analysis of the production strategies of new energy vehicles and traditional fuel vehicles.
It is also of great practical significance to study the purchase intention and influencing factors of new energy vehicles from the perspective of consumers, and it is also one of the important criteria to judge whether the government’s new energy vehicle policy can achieve the expected effect by analyzing the purchase quantity of new energy vehicles. Ma S H, et al.[23] adopted a preference choice experiment to examine the individual characteristics of consumers, vehicle attributes and other variables to model the purchase intentions of various classes of Chinese consumers, and their findings showed that the middle class had a higher willingness to accept new energy vehicles. Xu G H, et al.[24] used questionnaires and principal component analysis to conduct factor analysis, and the results showed that urban residents had a relatively high level of awareness of new energy vehicles and also had a certain willingness to purchase them. Chen K, et al.[25] investigated consumers’ willingness to purchase new energy vehicles based on a perceived benefit and perceived risk framework and showed that environmental awareness had a significant positive effect on the willingness to purchase new energy vehicles. Helveston J P, et al.[26] analyzed the differences in consumer acceptance of new energy vehicles and traditional vehicles between China and the US based on consumer survey data from the two countries. The study also found that the maturity of the supporting infrastructure such as charging stations could directly affect consumer willingness to purchase [27].
Our paper makes a number of contributions to the literature.
  • The conventional studies do not clarify the primary factors that affect the rise or fall of government subsidies for new energy vehicles within the evolutionary game system [13,15,30]. Furthermore, they do not establish the optimal production strategy that automakers should adopt when deciding between new energy vehicles and traditional vehicles. Finally, it is unclear whether the consumer’s preference for new energy vehicles is directly correlated with the number of vehicles produced. To address these gaps, this paper builds a three-party evolutionary game model that involves vehicle manufacturers, consumers, and governments. The study then carries out a comprehensive analysis of the game’s combination strategies and system stability of each party.
  • According to the literature cited in this paper [25,32], manufacturers must lower the price of new energy vehicles in order to encourage consumers to purchase them. The findings of this paper suggest that, in a three-way evolutionary game system, it is equally important for car manufacturers to have differentiated core technology to increase the appeal of their brand, enhance the perceived utility of their products among consumers, and for government departments to increase charging infrastructure coverage in their cities to boost consumer interest in new energy vehicles.
  • Our research suggests that as new energy vehicles reach their later stages of development, and the government faces increased financial pressure, it becomes necessary to promote the healthy growth of the new energy vehicle market, despite a continuous reduction in new energy subsidies. To achieve this, government departments should implement effective indirect measures, such as controlling human resource costs associated with adopting subsidy policies, reducing the time it takes society to transition from high-carbon to low-carbon green travel, and increasing additional revenue gained by vehicle enterprises through carbon trading management. Additionally, it’s important to appropriately increase penalties for vehicle enterprises that continue to produce fuel vehicles while also increasing revenue gained by vehicle enterprises through carbon trading management. Combining direct and indirect policies is crucial for guiding the development of new energy vehicles.
In the remainder of this paper, we first explain the model assumptions and framework in Section 2, and then delve into an analysis of the game strategies employed by car manufacturers, consumers and governments in Section 3. In Section 4, we provide simulation analysis and subsequent discussion. Finally, we summarize our findings and provide recommendations for future research.

2. Model Assumptions and Framework Construction

In order to study the game relationship among car manufacturers, consumers and the governments, the framework of the tripartite evolutionary game model is shown in Figure 1, and several assumptions need to be made as follows:
Hypothesis 1: The players in the three-party evolutionary game model include car manufacturers, consumers and government departments. It is assumed that all three participants are finite rational agents and the game strategy of each party will evolve over time and eventually stabilize at the optimal strategy.
Hypothesis 2: The strategy space for car producers is to produce new energy cars or traditional fuel ones. The probability of car producers choosing to produce new energy cars is x , and the probability of choosing to produce fuel cars is 1 x , where x [ 0 , 1 ] ; the strategy space for consumers is to buy cars or not. The probability of consumers to buy cars is y , the probability of not to buy cars is 1 y , where y [ 0 , 1 ] ; the strategy space for government departments is to make subsidies or not. The probability of government departments to make subsidies for the production or consumption of new energy cars is z , the probability of not making subsidies is 1 z , where z [ 0 , 1 ] .
Hypothesis 3: For car manufacturers, they can choose to produce either new energy vehicles or conventional fuel ones, and the sales revenue of the two types of vehicles are π 1 and π 2 respectively. If the car manufacturers choose to produce new energy vehicles, the government subsidies received are R 2 , and the additional earnings received through carbon trading management are R 3 . If the car manufacturers choose to produce conventional fuel vehicles, the fines of governments are F .
Hypothesis 4: Consumers can choose to buy cars, not to buy and choose other public transport. Assume that the utility values of new energy vehicles and fuel vehicles for consumers are V 1 and V 2 respectively, where V 1 > V 2 . The difference between the two values includes the additional government subsidy for purchasing new energy vehicles and the importance of green living for consumers; the prices of new energy vehicles and fuel vehicles are P 1 and P 2 respectively; n 1 is the coverage of public charging posts in consumers’ cities, η 1 is the sensitivity of consumers to the coverage of charging posts; Λ is the vehicle purchase tax; in addition, C 1 and C 2 denote the cost per unit distance travelled for new energy vehicles and fuel vehicles respectively, and L is the vehicle mileage travelled. If consumers do not purchase a car and chose public transport, the total travel cost spent is C 6 , and the benefit of the government subsidy for low-carbon travel is R 4 .
Hypothesis 5: If the governments adopt subsidy policies, the human resource cost to be spent is C 3 , and the environmental benefits that the governments can obtain are R 1 . If the governments do not adopt subsidy policies for new energy vehicles, the time cost of society’s gradual shifting from high-carbon and high-pollution travels to low-carbon and green travels is C 5 , and the environmental governance cost to the governments is C 4 .
Based on the above assumptions, the three-way evolutionary game matrix between car manufacturers, consumers and governments are shown in Table 1.

3. Model Analysis

3.1. Analysis of the Game Strategies of Car Manufacturers

Let E 11 be the expected return to the car manufacturer from producing new energy vehicles, E 12 be the return from producing fuel vehicles and E 1 ¯ be the average expected return, then the following relationship exists:
{ E 11 = y z [ π 1 + R 2 + R 3 ] + y ( 1 z ) [ π 1 + R 3 ] + ( 1 y ) z [ R 2 + R 3 ] + ( 1 y ) ( 1 z ) R 3 E 12 = y z [ π 2 F ] + y ( 1 z ) [ π 2 F ] + ( 1 y ) z [ F ] + ( 1 y ) ( 1 z ) [ F ] E 1 ¯ = x E 11 + ( 1 x ) E 12
Further simplification of equation (1) yields:
{ E 11 = y z π 1 + z R 2 + R 3 E 12 = y π 2 F E 1 ¯ = x E 11 + ( 1 x ) E 12 = x y z π 1 + x z R 2 + x R 3 + y π 2 F x y π 2 + x F
Using equation (2), the replication dynamic equation for the car manufacturers’ choice of strategy is:
F ( x ) = d x d t = x ( E 11 E 1 ¯ ) = x ( 1 x ) [ y z π 1 + z R 2 + R 3 y π 2 + F ]
Through equation (3), the first derivative of F ( x ) with respect to x can be calculated as:
d ( F ( x ) ) d x = ( 1 2 x ) [ y z π 1 + z R 2 + R 3 y π 2 + F ]
According to the stability condition theorem for differential equations, the following conditions must be satisfied for the probability of car manufacturers producing new energy vehicles to reach a steady state: F ( x ) = 0 and d ( F ( x ) ) / d x < 0 . If G ( y ) = y z π 1 + z R 2 + R 3 y π 2 + F and z > π 2 / π 1 , then d G ( y ) / d y > 0 ,and G ( y ) is increasing functions with respect to y ; if z < π 2 / π 1 , then d G ( y ) / d y < 0 , and G ( y ) is decreasing functions with respect to y . Therefore, the following conclusions can be drawn: when y = y * = ( 2 R 2 + R 3 + F ) / ( π 2 z π 1 ) , d ( F ( x ) ) / d x = 0 and F ( x ) = 0 , x is in an evolutionary stable state. When z > π 2 / π 1 and y > y * , G ( y ) > 0 , it can be concluded that d ( F ( x ) ) / d x | x = 1 < 0 and F ( x ) | x = 1 = 0 , then x = 1 is an evolutionary stable point for the car producer; conversely, when y < y * , then x = 0 is an evolutionary stable point. Similarly, if z < π 2 / π 1 , when y > y * , x = 0 is an evolutionary stable point; conversely, x = 1 is an evolutionary stable point. The evolutionary phase diagram of the auto producer’s policy is shown in Figure 2.
From Figure 2, it can be concluded that when z > π 2 / π 1 , the probability of the car producer maintaining stable production of fuel cars is the volume V A 1 , and the probability of stable production of new energy cars is the volume V A 2 . When z < π 2 / π 1 , the probability of the car producer maintaining stable production of new energy cars is the volume V A 1 , and the probability of stable production of fuel cars is the volume V A 2 . The calculations of V A 1 and V A 2 are shown below:
V A 1 = 0 1 0 1 2 R 2 + R 3 + F π 2 z π 1 d x d z = 2 R 2 + R 3 + F π 1 ln π 2 π 2 π 1 V A 2 = 1 V A 1
Corollary 1: In the early stages of new energy vehicle development, there is an evolutionary process whereby the probability of a car manufacturer producing a new energy vehicle increases with the probability of government new energy subsidies and the probability of consumers purchasing a vehicle.
Proof: According to the game strategy analysis of auto producers, when z > π 2 / π 1 and y > y * , x = 1 is the evolutionary stabilization point of auto producers, therefore, with the gradual increase of y and z , the stabilization strategy of auto producers gradually tends to x = 1 (i.e., producing new energy vehicles).
Corollary 2: If the difference in sales revenue between the production of new energy vehicles and conventional fuel vehicles is not significant, the probability of a car manufacturer producing new energy vehicles will be proportional to the government subsidies received, the additional revenue received through carbon trading management, and the government fines imposed on the car manufacturer for producing conventional fuel vehicles.
Proof: When π 1 = π 2 and z < 1 , the first-order partial derivatives of R 2 , R 3 and F on the V A 1 is V A 1 / R 2 > 0 , V A 1 / R 3 > 0 , V A 1 / F > 0 . Thus, increases in the values of
, R 3 and F all lead to an increase in the probability of an automobile manufacturer producing new energy vehicles.
Corollary 1 suggests that there is a strong correlation between government subsidies, production and sales of new energy vehicles. In the early stages of the development of new energy vehicles, government subsidies as an evolutionary stabilization strategy are still important for the rapid growth of production and sales of new energy vehicles, as they are not yet fully competitive with fuel vehicles. If the governments reduce subsidies or removes subsidies, the price of new energy vehicles will increase significantly. Considering that many buyers of new energy vehicles are from the middle working class, they are very sensitive to price changes, so a significant price increase will inevitably affect their motivation to buy new energy vehicles, leading to a decline in sales and even a reduction in the production of new energy vehicles. On the other hand, if the sales of new energy vehicles continue to grow, it will directly stimulate the production of new energy vehicles and promote the development of the entire new energy vehicle industry.
Corollary 2 suggests that when the sales revenue of new energy vehicles and fuel vehicles are comparable, government departments can adopt direct policies such as increasing subsidies for new energy vehicles, as well as other indirect policies, such as increasing the additional revenues gained by new energy vehicle enterprises through carbon trading management and imposing penalties and restrictions on the production of fuel vehicles, all of which can serve the purpose of indirectly stimulating the growth of new energy vehicle production.

3.2. Analysis of the Gaming Strategies of Car Consumers

Let E 21 be the expected return of car consumers purchasing cars, E 22 be the expected return of not purchasing cars, and E 2 ¯ be the average expected return, then the following relationship exists:
{ E 21 = x z [ V 1 P 1 + n 1 η 1 C 1 L ] + x ( 1 z ) [ V 1 P 1 + n 1 η 1 C 1 L ] + ( 1 x ) z [ V 2 P 2 Λ C 2 L ] + ( 1 x ) ( 1 z ) [ V 2 P 2 Λ C 2 L ] E 22 = x z [ R 4 C 6 ] + x ( 1 z ) [ C 6 ] + ( 1 x ) z [ R 4 C 6 ] + ( 1 x ) ( 1 z ) [ C 6 ] E 2 ¯ = y E 21 + ( 1 y ) E 22
A further simplification of equation (6) can be:
{ E 21 = x [ V 1 P 1 + θ e 1 + n 1 η 1 C 1 L ] + ( 1 x ) [ V 2 P 2 Λ C 2 L ] E 22 = z R 4 C 6 E 2 ¯ = y E 21 + ( 1 y ) E 22 = x y [ V 1 P 1 ] + ( 1 x ) y [ V 2 P 2 ] + ( 1 y ) [ z R 4 - C 6 ]
Combining equation (7), the replication dynamics equation for car consumers is:
F ( y ) = d y d t = y ( E 21 E 2 ¯ ) = y ( 1 y ) [ x ( V 1 P 1 + n 1 η 1 C 1 L ) + ( 1 x ) ( V 2 P 2 Λ C 2 L ) z R 4 + C 6 ]
The first order derivative of F ( y ) with respect to y is:
d ( F ( y ) ) d y = ( 1 2 y ) [ x ( V 1 V 2 P 1 + P 2 + n 1 η 1 Λ C 1 L + C 2 L ) + ( V 2 P 2 Λ C 2 L ) z R 4 + C 6 ]
According to the stability condition theorem of the differential equation, the probability of car consumers to buy new energy vehicles to reach a stable state must satisfy the following conditions: F ( y ) = 0 and d ( F ( y ) ) / d y < 0 . If we get J ( z ) = x ( V 1 V 2 P 1 + P 2 + n 1 η 1 Λ C 1 L + C 2 L ) + ( V 2 P 2 Λ C 2 L ) z R 4 + C 6 , and J ( z ) is a decreasing function with z , we can get the following conclusions: when z = z * = ( x ( V 1 V 2 P 1 + P 2 + n 1 η 1 Λ c 1 L + c 2 L ) + ( V 2 P 2 Λ c 2 L ) + c 3 L ) / R 4 , d ( F ( y ) ) / d y = 0 , and F ( y ) = 0 , then y is in the evolutionary game stable state. When z > z * , J ( z ) < 0 , it can be concluded that d ( F ( y ) ) / d y | y = 0 < 0 and F ( y ) | y = 0 = 0 , then y = 0 is the consumers’ evolutionary stable point; similarly, when z < z * , y = 1 is the evolutionary stable point. The evolutionary phase diagram of the consumers’ strategy is shown in Figure 3.
From Figure 3, the probability of car consumers maintaining a steady purchase of cars is the volume V B 1 and the probability of not purchasing cars is the volume V B 2 . The calculations of V B 1 and V B 2 are shown below.
V B 1 = 0 1 0 1 x ( V 1 V 2 P 1 + P 2 + n 1 η 1 Λ C 1 L + C 2 L ) + V 2 P 2 Λ C 2 L + C 6 R 4 d x d y = V 1 + V 2 P 1 P 2 + n 1 η 1 3 Λ C 1 L C 2 L + 2 C 6 2 R 4 V B 2 = 1 V B 1
Corollary 3: The probability of purchasing new energy vehicles is positively related to the utility value of the new energy vehicle to the consumer and the coverage of public charging posts in the consumer’s city, and inversely related to the sales price of the new energy vehicle.
Proof: Given the first order partial derivatives of the probability V B 1 with respect to V 1 , n 1 and P 1 , we can derive V B 1 / V 1 > 0 , V B 1 / n 1 > 0 , and V B 1 / P 1 < 0 . Therefore, an increase in the values of V 1 and n 1 will lead to an increase in the probability of consumers buying new energy vehicles, and an increase in the value of P 1 will lead to a decrease in the probability of consumers buying ones.
Corollary 3 suggests that consumers are sensitive to the price of new energy vehicles, and government departments and manufacturers should reduce the price of new energy vehicles if they want to increase the sales of new energy vehicles. In addition, government departments and manufacturers can take some other measures to increase the utility value of new energy vehicles to consumers, such as government efforts to promote low-carbon green mobility and manufacturers’ efforts to raise awareness of their products. In addition, by expanding the coverage of existing public charging piles in cities, the governments will also increase the consumption of new energy vehicles to a certain extent.

3.3. Analysis of the Gaming Strategy of Governments

Let E 31 be the expected benefit of government departments subsidizing new energy vehicles, E 32 be the expected benefit of no subsidy and E 3 ¯ be the average expected benefit, then the following relationship exists:
{ E 31 = x y [ R 1 C 3 R 2 ] + x ( 1 y ) [ R 1 C 3 R 2 ] + ( 1 x ) y [ F C 3 C 4 ] + ( 1 x ) ( 1 y ) [ F C 3 ] E 32 = x y [ R 1 C 5 ] + x ( 1 y ) [ R 1 C 5 ] + ( 1 x ) y [ F C 5 C 4 ] + ( 1 x ) ( 1 y ) [ F C 5 ] E 3 ¯ = z E 31 + ( 1 z ) E 32
Further simplification yields:
{ E 31 = x ( R 1 C 3 R 2 ) + ( 1 x ) ( F C 3 ) + ( 1 x ) y ( C 4 ) E 32 = x ( R 1 C 5 ) + ( 1 x ) ( F C 5 ) + ( 1 x ) y ( C 4 ) E 3 ¯ = z E 31 + ( 1 z ) E 32 = x R 1 z C 3 x z R 2 + ( 1 x ) F ( 1 x ) y C 4 ( 1 z ) C 5
The replication dynamics equation for the governments is:
F ( z ) = d z d t = z ( E 31 E 3 ¯ ) = z ( z 1 ) ( x R 2 + C 3 C 5 )
The first order derivative of F ( z ) with respect to z is:
d ( F ( z ) ) d z = ( 2 z 1 ) ( x R 2 + C 3 C 5 )
According to the stability condition theorem of the differential equation, the probability of the government department to subsidize new energy vehicles to reach a stable state must satisfy the following conditions: F ( z ) = 0 and d ( F ( z ) ) / d z < 0 . When x = x * = ( C 5 C 3 ) / R 2 , d ( F ( z ) ) / d z = 0 , and F ( z ) = 0 , all z are in the stable state of the evolutionary game. When x > x * , it follows that d ( F ( z ) ) / d z | z = 0 < 0 and F ( z ) | z = 0 = 0 , z = 0 is the evolutionary stable point for the government sectors; conversely, when x < x * , z = 1 is the evolutionary stable point. The evolutionary phase diagram of the government departments’ strategy is shown in Figure 4.
From Figure 4, the probability of government subsidizing a new energy vehicle is the volume V C 1 , and the probability of no subsidy is the volume V C 2 . The calculations of V C 1 and V C 2 are shown below.
V C 1 = 1 * 1 * C 5 C 3 R 2 = C 5 C 3 R 2 V C 2 = 1 V C 1
Corollary 4: The probability of government subsidies for new energy policies is positively proportional to the time cost of changing society from high-carbon and high-pollution travel to low-carbon and green travel, and inversely proportional to the human resource cost of adopting government subsidies and the subsidy expenditure received for the production of new energy vehicles.
Proof: Given the first-order partial derivative of the probability V C 1 with respect to C 5 , C 3 and R 2 , we can derive V C 1 / C 5 > 0 , V C 1 / C 3 < 0 , V C 1 / R 2 < 0 . Thus, an increase in the value of C 5 increases the probability of government subsidies for new energy vehicles, conversely, an increase in the values of C 3 and R 2 decreases the probability of subsidies.
Corollary 4 suggests that the probability of government subsidies for new energy policies is influenced by a number of factors. On the one hand, government subsidies are influenced by the time cost of changing from high-carbon, high-pollution travel to low-carbon, green travel. If the time cost is so high that the governments fail to meet the ‘Double Carbon’ target, then government departments are likely to increase the probability of subsidizing new energy vehicles in order to avoid the penalties of public scrutiny and criticism. On the other hand, if the human cost of the government’s subsidy policy is too high or if the amount of subsidies for new energy vehicles continues to grow exponentially, this will have a further negative impact on the government’s finances.

3.4. Stability Analysis of Equilibrium Points in Evolving Systems

To simplify the calculation process, let U 1 = V 1 P 1 + n 1 η 1 C 1 L , U 2 = V 2 P 2 Λ C 2 L . Since F ( x ) = 0 , F ( y ) = 0 , F ( z ) = 0 , and considering x , y , z [ 0 , 1 ] , the stability points of the three-way evolutionary game system can be found as follows: E 1 ( 0 , 0 , 0 ) , E 2 ( 1 , 0 , 0 ) , E 3 ( 0 , 1 , 0 ) , E 4 ( 0 , 0 , 1 ) , E 5 ( 1 , 1 , 0 ) , E 6 ( 1 , 0 , 1 ) , E 7 ( 0 , 1 , 1 ) , E 8 ( 1 , 1 , 1 ) ,   E 9 ( ( C 5 C 3 ) / R 2 , 1 , ( π 2 2 R 2 R 3 F ) / π 1 ) , E 10 ( U 2 C 6 / U 1 U 2 , 2 R 2 + R 3 + F / π 2 , 0 ) , E 11 ( R 4 U 2 C 6 / U 1 U 2 , 2 R 2 + R 3 + F / π 2 π 1 , 1 ) .
The Jacobi matrix of the three-party evolutionary game system can be computed as follows [28,29]:
J = ( J 1 J 2 J 3 J 4 J 5 J 6 J 7 J 8 J 9 ) = ( F ( x ) / x F ( x ) / y F ( x ) / z F ( y ) / x F ( y ) / y F ( y ) / z F ( z ) / x F ( z ) / y F ( z ) / z ) =
( ( 1 2 x ) ( y z π 1 + z R 2 + R 3 y π 2 + F ) x ( 1 x ) ( z π 1 π 2 ) x ( 1 x ) ( y π 1 + R 2 ) y ( 1 y ) ( U 1 U 2 ) ( 1 2 y ) [ x ( U 1 U 2 ) + U 2 z R 4 + c 3 L ] y ( 1 y ) R 4 z ( z 1 ) R 2 0 ( 2 z 1 ) ( x R 2 + C 3 C 5 ) )
Based on Lyapunov’s theorem, the asymptotic stability of a system at each stability point can be determined by analyzing the eigenvalues of the Jacobi matrix [30]. Specifically, if all the eigenvalues of the Jacobi matrix have negative real parts, the equilibrium points are asymptotically stable; if the eigenvalues of the Jacobi matrix have one or more positive real parts, the points are unbalanced; if some of the eigenvalues of the Jacobi matrix are zero and others have negative real parts, the points are in a critical state and the stability needs to be further evaluated. The results of the stability analysis of each equilibrium point of the evolutionary game system are shown in Table 2.
Corollary 5: When C 5 > R 2 + C 3 and R 4 < U 1 + C 6 , the replicated dynamical system has one and only one stable point E 8 ( 1 , 1 , 1 ) . When C 5 < C 3 , if R 3 + F > π 2 is satisfied, the replicated dynamical system has one and only one stable point E 5 ( 1 , 1 , 0 ) ; if R 4 > U 1 + C 6 is satisfied, the replicated dynamical system has one and only one stable point E 6 ( 1 , 0 , 1 ) .
Proof: When C 5 > R 2 + C 3 , i.e., condition 9 is satisfied, E 3 ( 0 , 1 , 0 ) , E 5 ( 1 , 1 , 0 ) and E 6 ( 1 , 0 , 1 ) do not satisfy the stability condition, and if R 4 < U 1 + C 6 , i.e., condition 7 is satisfied, E 4 ( 0 , 0 , 1 ) is an unstable point, so the system has only one stable point E 8 ( 1 , 1 , 1 ) . When C 5 < C 3 , R 3 + F > π 2 , namely conditions 2 and 3 are satisfied at the same time, E 5 ( 1 , 1 , 0 ) can be similarly obtained as the only stable point of the system. When C 5 < C 3 and R 4 > U 1 + C 6 , E 6 ( 1 , 0 , 1 ) is the only stable point in the system.
Corollary 5 shows differences in the choice of initial values(e.g., C 3 , C 5 , R 3 , F , etc.) can affect the strategy combination evolution of the parties in the three-party game system to stabilize at different stability points. For example, if the governments want to promote the healthy development of the new energy vehicle market by continuously reducing new energy subsidies, the three-party game system will tend to move from stable state E 8 ( 1 , 1 , 1 ) (i.e., car manufacturers produce new energy vehicles, consumers buy cars, and government departments increase subsidies) to state E 5 ( 1 , 1 , 0 ) (i.e., car manufacturers produce new energy vehicles, consumers buy cars, and government departments reduce or do not subsidize), The governments need to rationalize the cost of human resources spent on subsidy policy, control the time cost for society to shift from high-carbon to low-carbon green travel, increase the revenue earned by car companies through carbon trading management and appropriately increase the penalties for car companies that produce fuel cars.

4. Simulation Analysis and Discussion

To further verify the stability of the three-way evolutionary game model, the parameters of the model were assigned specific different values in numerical simulations using MATLAB 2021a software. The initial values of the parameters in scenario 1 are set as follows [31,32,33]: x = 0.27 , y = 0.4 , z = 0.64 , P 1 = 210000 , P 2 = 150000 , V 1 = 300000 , V 2 = 250000 , π 1 = 18000 , π 2 = 18000 , C 1 = 0.17 , C 2 = 0.66 , L = 630 , C 3 = 500 , C 4 = 700 , C 5 = 60000 , C 6 = 240 , R 1 = 50000 , R 2 = 35000 , R 3 = 40000 , R 4 = 500 , Λ = 15000 , n 1 = 0.3 , F = 2000 . According to Corollary 5, when C 5 > R 2 + C 3 and R 4 < U 1 + C 6 , the replicated dynamic system has one and only one stability point E 8 ( 1 , 1 , 1 ) . This means in the early stages of the development of new energy vehicles, the probability of car producers producing new energy vehicles inceases with the increase in the probability of government subsidies for new energy vehicles and the probability of consumers purchasing cars, eventually reaching a combination of evolutionary stability strategies. On this basis, the impacts of R 2 , R 3 , F , P 1 , V 1 , n 1 , C 5 , C 3 and R 4 on the process of the evolutionary game are analyzed respectively.
First, to analyze the effect of changing the value of R 2 on the evolutionary game system process, the values of R 2 are set to 20,000 (low value), 35,000 (medium value) and 50,000 (high value), and the average simulation results obtained by simulating the model 50 times are shown in Figure 5. The graph shows that the probability of the automobile manufacturer producing new energy vehicles increases with the probability of government subsidies for new energy as the system gradually converges to a stable point. In addition, the probability of the auto manufacturer producing new energy vehicles increases as the value of R 2 continues to increase. Therefore, the increase in government subsidies received by car manufacturers for new energy vehicles will provide a significant incentive for car manufacturers to produce more new energy vehicles. Similarly, values of R 3 are set to 20,000 (low value), 40,000 (medium value) and 60,000 (high value) and the model is simulated 50 times as shown in Figure 6. The graph shows that an increase in the value of R 3 will also make car manufacturers inclined to produce more new energy vehicles, so the governments should improve the local carbon emissions trading market, so that more vehicle manufacturers can gain more revenue through carbon trading. Then, F are assigned to 500 (low value), 2000 (medium value) and 10000 (high value) respectively, and the simulation results are shown in Figure 7. It can be seen that an increase in the value of F will increase the cost of car manufacturers, reduce the production of traditional fuel cars and produce more new energy cars. Therefore, in order to increase the production of new energy vehicles, the governments can also take some other indirect measures, such as appropriately increasing the penalties for traditional fuel vehicles. The above analyses also confirm the results of Corollary 2, i.e., increasing the government subsidies received by car companies, the additional benefits gained by car companies from the management of the carbon trading scheme and the fines imposed on car companies producing conventional fuel vehicles will encourage car companies to produce more new energy vehicles.
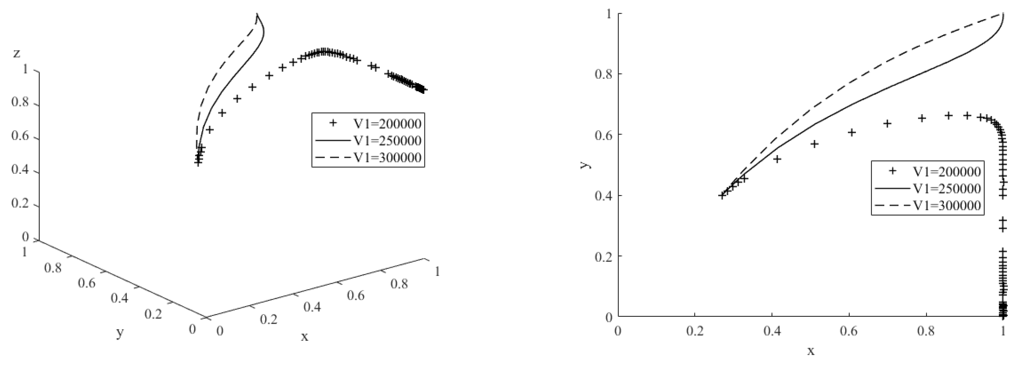
The values of P 1 are assigned to 100,000 (low value), 1500,000 (medium value) and 210,000 (high value) and the average simulation results obtained by evolving the replication dynamic equation 50 times are shown in Figure 8. From the graph, the probability of consumers purchasing new energy vehicles decreases significantly as the value of P 1 continues to increase. Therefore, the governments needs to focus on the sales price of new energy vehicles when promoting the new energy market. New energy vehicles are more competitive with a lower price. Then, V 1 is assigned to 200,000 (low value), 250,000 (medium value) and 300,000 (high value) respectively, and the simulation results are shown in Figure 9. The probability of purchasing new energy vehicles increases as the value of V 1 increases. It is worth noting that if the value of V 1 is too low, it may shift the evolutionary game system to another stable point E 6 ( 1 , 0 , 1 ) , where the probability of consumers purchasing cars decreases and eventually reaches zero, demonstrating that a change in the value of V 1 can have an important impact on the game system. Let n 1 be values of 0.3 (low), 0.5 (medium) and 0.8 (high) respectively, and the simulation results are shown in Figure 10. As the value of n 1 increases, the probability of consumer purchasing new energy vehicles increases.
Therefore, in order for consumers to increase their purchases of new energy vehicles, manufacturers need to lower the price of new energy vehicles, have differentiated core technologies, improve the brand appeal of their products and increase the utility value of their products in the minds of consumers. Governments also need to increase the coverage of charging piles in their cities. The above analyses verify the conclusion of Corollary 3, that the probability of car consumers purchasing new energy vehicles is inversely proportional to the sales price of new energy vehicles and positively proportional to the utility value of new energy vehicles to consumers and the coverage of charging piles in the city where they are located.
Next, let C 5 be values of 300 (low), 5,000 (medium) and 10,000 (high), and the simulation results are shown in Figure 11. As the value of C 5 increases, the probability of government subsidies for new energy policies rises. It is also worth noting that if the value of C 5 is too low, it can shift the evolutionary game system to another stable point E 5 ( 1 , 1 , 0 ) where the probability of government subsidies for new energy vehicles decreases and tends to zero, demonstrating that a change in the value of C 5 can have an important impact on the game system. Let C 5 be 500 (low), 5,000 (medium) and 10,000 (high) respectively, and the simulation results are shown in Figure 12. As the value of C 5 continues to increase, the probability of government subsidies for new energy policies decreases significantly. Combined with the results in Figure 5, it is clear that the probability of government subsidies for new energy policies decreases as the value of R 2 increases. The above simulation results verify Corollary 4, which states that the probability of government subsidies for new energy policies is positively proportional to the time cost for society to switch from high-carbon and high-pollution travel to low-carbon and green travel, and inversely proportional to the human resource costs of the governments with subsidized policies and the subsidy expenditure received by the production of new energy vehicles.
The initial values of the parameters in scenario 2 are basically the same as those in scenario 1, except for C 3 = 5000 , C 5 = 300 , R 3 = 60000 and F = 10000 . According to the conclusions of Corollary 5, scenario 2 satisfies the following conditions, namely C 5 < C 3 , R 3 + F > π 2 . It means there should be only one stable point E 5 ( 1 , 1 , 0 ) in the evolutionary system, i.e., in the late stage of the development of new energy vehicles, car manufacturers produce new energy vehicles, consumers buy them and the governments don’t take subsidies. The two scenarios were evolved 50 times from different initial strategy combinations. The initial strategy combinations are shown in Table 3, the simulation results obtained are shown in Figure 13, and the results in the figure are consistent with the conclusions of Corollary 5.
As can be seen from Figure 13, in the later stages of the development of new energy vehicles, when the time cost ( C 5 ) for society to gradually shift from high-carbon to low-carbon travel is low, or even lower than the human cost ( C 3 ), the governments tend to reduce subsidies. On the other hand, the governments also tend to reduce direct subsidies if a set of indirect policies, such as additional benefits for car companies through carbon trading management ( R 3 ) and government penalties for conventional car production ( F ), can achieve better results. This suggests that the governments should consider a combination of direct and indirect policies in order to promote the rapid development of the new energy vehicle industry and to achieve the “double carbon” target as soon as possible. If the governments intend to gradually reduce or even eliminate direct policy subsidies in the future due to financial pressures, it is crucial that indirect policies should play a critical role.

5. Conclusions and Recommendations

In order to meet the “Double Carbon” development objectives of achieving “Carbon Peak” by 2030 and “Carbon Neutrality” by 2060, the governments must proactively promote low-carbon and green modes of transportation. Such initiatives have become an integral component of China’s sustainable economic and social development in the contemporary era, with new energy vehicles serving as the most significant means of reducing carbon emissions for residents. This study focuses on new energy vehicles in the context of “double carbon” and examines the game strategies employed by various stakeholders, including vehicle manufacturers, consumers, and government agencies, as well as the equilibrium conditions of the evolutionary game system. By constructing a three-party evolutionary game model, the paper presents relevant measures and suggestions based on the results of the simulations to support the validity of the findings.
The study draws several critical conclusions and recommendations. Firstly, it establishes a strong correlation between the three parties involved in the evolutionary game system. Automakers’ likelihood of manufacturing new energy vehicles is shown to be directly proportional to their receipt of subsidies from the new energy policy, the additional revenue they gain from administering the carbon trading scheme, and the fines levied on producing conventional fuel vehicles. Therefore, to promote the production of new energy vehicles, governmental departments should augment incentives and subsidies while simultaneously regulating or limiting the growth of conventional fuel vehicles.
From a consumer perspective, a surfeit of new energy vehicles being produced does not necessarily translate into heightened consumer demand for these vehicles. Consumer willingness to purchase new energy vehicles is contingent on the utility value these vehicles offer and the availability of public charging stations in urban areas, and is inversely proportional to the sales price of such vehicles. Therefore, for manufacturers to increase consumer uptake of new energy vehicles, they must prioritize reducing the price point of these vehicles and enhancing their utility and brand appeal. Meanwhile, government agencies should focus on expanding infrastructure, such as charging stations and grid facilities, to ensure that consumers have an improved travel experience when utilizing new energy vehicles.
From a governmental perspective, promoting the rapid development of the new energy vehicle industry requires a multifaceted approach that combines direct subsidies with indirect support strategies. As the industry matures, it may become necessary for governmental entities to reduce or eliminate subsidies due to financial constraints. In such a scenario, indirect policies will play a pivotal role in regulating the new energy vehicle market. To achieve the “Double Carbon” target, governments must analyze the interplay between various policies and identify the most effective policy mix.
There are still some shortcomings in this paper that need to be addressed. Specifically, the paper only examines the evolutionary game dynamics between vehicle manufacturers, users, and governments, disregarding the influence of media reports, whether positive or negative, on the sales and production of new energy vehicles. Moreover, data access restrictions impede the verification of parameter values in the simulation analysis. Thus, incorporating additional variables such as news media and enhancing the precision and accuracy of simulation outcomes are crucial research directions for future studies.

Author Contributions

Conceptualization, R.S.; methodology, R.S.; software, R.S.; validation, W.S., W.Q. and X.X.; formal analysis, R.S.; investigation, W.S.; resources, W.Q.; data curation, R.S.; writing—original draft preparation, R.S.; writing—review and editing, R.S.; visualization, W.S.; supervision, X.X.; project administration, R.S.; funding acquisition, R.S. and X.X. All authors have read and agreed to the published version of the manuscript.

Funding

This work was supported by the ministry of education of humanities and social science project “ Research on parking demand forecast and parking space optimization allocation in urban residential areas” (20YJCZH133); the social sciences funding project of Hunan province” Research on parking demand prediction and parking space optimization allocation in urban residential areas based on sharing concept” (20YBQ113); the natural sciences funding project of Hunan province “Research on shared parking management in urban central area based on data sharing mode” (2022JJ40881); excellent youth project of Hunan provincial department of education “ Research on urban freight demand forecast based on spatiotemporal big data” (21B0257) and the science and technology project of Changsha city “Solution and technical implementation of shared parking timeout parking conflict” (kq2004092).

Institutional Review Board Statement

Not applicable.

Informed Consent Statement

Not applicable.

Data Availability Statement

The original datasets used in the study are included in the article. Further inquiries can be directed to the corresponding author.

Acknowledgements

This work was supported by the ministry of education of humanities and social science project “ Research on parking demand forecast and parking space optimization allocation in urban residential areas” (20YJCZH133); the social sciences funding project of Hunan province” Research on parking demand prediction and parking space optimization allocation in urban residential areas based on sharing concept” (20YBQ113); the natural sciences funding project of Hunan province “Research on shared parking management in urban central area based on data sharing mode” (2022JJ40881); excellent youth project of Hunan provincial department of education “ Research on urban freight demand forecast based on spatiotemporal big data” (21B0257) and the science and technology project of Changsha city “Solution and technical implementation of shared parking timeout parking conflict” (kq2004092).

Conflicts of Interest

The authors declare no conflict of interest.

References

  1. China Government.com. Notice of the State Council on Printing and Distributing: The Action Plan for Carbon Peaking by 2030. Available online: http://gxt.hebei.gov.cn/hbgyhxxht/xwzx32/snxw40/889348/index.html (accessed on 1 June 2022).
  2. Phoenix.com. Under the “3060 Double Carbon” Goal, the Challenges and Opportunities Faced by Carbon Reduction in the Automobile Industry. Available online: https://auto.ifeng.com/quanmeiti/20211101/1658971.shtml (accessed on 1 November 2021).
  3. Xinhua News Agency. Opinions of the Central Committee of the Communist Party of China and the State Council on Completely, Accurately and Comprehensively Implementing the New Development Concept and Doing a Good Job in Carbon Neutrality. Available online: http://www.gov.cn/zhengce/2021-10/24/content_5644613.htm (accessed on 24 October 2021).
  4. China Economic Times. The Demand for New Energy Vehicles Will Be Released under The “Dual Carbon” Goal. Available online: https://xw.qq.com/cmsid/20210830A047T200?pgv_ref=baidutw (accessed on 30 August 2021).
  5. Huck, S.; Oechssler, J. The indirect evolutionary approach to explaining fair allocations. Game Econ Behav. 1999, 28, 13–24. [Google Scholar] [CrossRef]
  6. Qin, S.; Xiong, Y. Innovation strategies of Chinese new energy vehicle enterprises under the influence of non-financial policies: Effects, mechanisms and implications. Energy Policy. 2022, 164, 112946. [Google Scholar] [CrossRef]
  7. Liao, H.; Peng, S.; Li, L.; et al. The role of governmental policy in game between traditional fuel and new energy vehicles. Comput Ind Eng. 2022, 108292. [Google Scholar] [CrossRef]
  8. Li, W.; Long, R.; Chen, H. Consumers’ evaluation of national new energy vehicle policy in China: An analysis based on a four-paradigm model. Energy Policy. 2016, 99, 33–41. [Google Scholar] [CrossRef]
  9. Han, J.; Guo, J.E.; Cai, X.; et al. An analysis on strategy evolution of research & development in cooperative innovation network of new energy vehicle within policy transition period. Omega 2022, 102686. [Google Scholar]
  10. Pan, Y.; Dong, F. Dynamic evolution and driving factors of new energy development: fresh evidence from China. Technol Forecast Soc. 2022, 176, 121475. [Google Scholar] [CrossRef]
  11. Trosta, T.; Sterner, M.; Bruckner, T. Impact of electric vehicles and synthetic gaseous fuels on final energy consumption and carbon dioxide emissions in Germany based on long-term vehicle fleet modelling. Energy. 2017, 141, 5–25. [Google Scholar] [CrossRef]
  12. Ma, J.; Zhao, J. An evolutionary game analysis of the impact of government stimulus policies on the development of new energy vehicles. Journal of Business Management and Economics. 2022, 10, 1–9. [Google Scholar]
  13. Lin, B.; Shi, L. Do environmental quality and policy changes affect the evolution of consumers’ intentions to buy new energy vehicles. Applied Energy. 2022, 310, 118582. [Google Scholar] [CrossRef]
  14. Gong, H.; Wang, M.Q.; Wang, H. New energy vehicles in China: policies, demonstration, and progress. Mitig Adapt Strat Gl. 2013, 18, 207–228. [Google Scholar] [CrossRef]
  15. Zhong, T.Y.; Du, R. Research on new energy vehicle subsidy strategy based on game theory. China Management Science. 2015, 23, 817–822. [Google Scholar]
  16. Gao, Q.; Fan, M.; Du J, G. Evolutionary study of the impact of government subsidies on new energy vehicle enterprises. Science and Technology Management Research. 2014, 34, 5–79. [Google Scholar]
  17. Zhou, Y.; Pan, Y. Financial subsidies and tax breaks-An analysis of new energy vehicle industrial policy from the perspective of transaction costs. Management World. 2019, 35, 133–149. [Google Scholar]
  18. Zhang, X.L.; Wang, J.J. Analysis of government subsidies in the supply chain of new energy vehicles based on Shapley’s value method. Soft Science. 2015, 29, 54–58. [Google Scholar]
  19. Yang, J.W. Game analysis of government subsidies in low carbon economy. Business Research. 2010, 8, 109–112. [Google Scholar]
  20. Wang, Q.M.; Liu, H.B. Government subsidies and firm behavior in the new energy automobile industry—based on a dynamic game perspective. Business Studies. 2019, 26, 99–107. [Google Scholar]
  21. Sun, H.X.; Lv, H.R. Analysis of the evolutionary game between government and enterprises in the post-subsidy era of new energy vehicles. Soft Science. 2018, 32, 24–29. [Google Scholar]
  22. Hawkins, T.R.; Singh, B.; Majeau, B.G.; et al. Comparative environmental life cycle assessment of conventional and electric vehicles. J Ind Ecol. 2012, 17, 53–64. [Google Scholar] [CrossRef]
  23. Ma, S.H.; Tan, H.; Dai, Y.S. Analysis of consumer characteristics and preferences in the new energy vehicle market. Industrial Technology and Economics. 2013, 32, 13–121. [Google Scholar]
  24. Xu, G.H.; Xu, F. Study on the factors influencing the purchase decision of new energy vehicles. China Population, Resources and Environment. 2010, 20, 91–95. [Google Scholar]
  25. Chen, K.; Gu, R.; Hu, J. A study on perceived benefit-perceived risk framework: A study on the purchase intention of new energy vehicles based on the perceived benefit-perceived risk framework. Journal of Nanjing University of Technology 2019, 18, 61–70. [Google Scholar]
  26. Helveston, J.P.; Liu, Y.; Feit, E.M.; et al. Will subsidies drive electric vehicle adoption? Measuring consumer preferences in the U.S. and China. Transport Res A-Pol. 2015, 73, 96–112. [Google Scholar] [CrossRef]
  27. Zhao, J.; Rao, Z.; Huo, Y.; et al. Thermal management of cylindrical power battery module for extending the life of new energy electric vehicles. Appl Therm Eng. 2015, 85, 33–43. [Google Scholar] [CrossRef]
  28. Liu, C.; Huang, W.; Yang, C. The evolutionary dynamics of China’s electric vehicle industry- taxes vs. Subsidies. Computers & Industrial Engineering. 2017, 113, 103–122. [Google Scholar]
  29. Helveston, J.P.; Liu, Y.; Feit, M.D.; Fuchs, E.; Klampfl, E.; Michalek, J.J. Will subsidies drive electric vehicle adoption? Measuring consumer preferences in the U.S. and China. Transport Res A-Pol. 2015, 73, 96–112. [Google Scholar] [CrossRef]
  30. Ji, S.F.; Zhao, D.; Luo, R.J. Evolutionary game analysis on local governments and manufacturers’ behavioral strategies: Impact of phasing out subsidies for new energy vehicles. Energy. 2019, 189, 1–16. [Google Scholar] [CrossRef]
  31. Zhang, X.; Bai, X. Incentive policies from 2006 to 2016 and new energy vehicle adoption in 2010-2020 in China. Renew Sustain Energy Rev. 2017, 70, 24–43. [Google Scholar] [CrossRef]
  32. Li, W.; Long, R.; Chen, H. Consumers’ evaluation of national new energy vehicle policy in China: an analysis based on a four-paradigm model. Energy Policy. 2016, 99, 3–41. [Google Scholar] [CrossRef]
  33. Yuan, X.; Liu, X.; Zuo, J. The development of new energy vehicles for a sustainable future: a review. Renew Sustain Energy Rev. 2015, 42, 298–305. [Google Scholar] [CrossRef]
Figure 1. Framework of the relationship between the parties in the three-party evolutionary game system.
Figure 1. Framework of the relationship between the parties in the three-party evolutionary game system.
Preprints 70531 g001
Figure 2. The evolution phase diagram of car manufacturers.
Figure 2. The evolution phase diagram of car manufacturers.
Preprints 70531 g002
Figure 3. The evolution phase diagram of consumers.
Figure 3. The evolution phase diagram of consumers.
Preprints 70531 g003
Figure 4. The evolution phase diagram of governments.
Figure 4. The evolution phase diagram of governments.
Preprints 70531 g004
Figure 5. Impacts of different government subsidies ( R 2 ) on evolutionary game system.
Figure 5. Impacts of different government subsidies ( R 2 ) on evolutionary game system.
Preprints 70531 g005
Figure 6. Impacts of different additional benefits ( R 3 ) through carbon trading on evolutionary game system.
Figure 6. Impacts of different additional benefits ( R 3 ) through carbon trading on evolutionary game system.
Preprints 70531 g006
Figure 7. Impacts of different government fines ( F ) on evolutionary game system.
Figure 7. Impacts of different government fines ( F ) on evolutionary game system.
Preprints 70531 g007
Figure 8. Impacts of various price ( P 1 ) of new energy vehicles on evolutionary game system.
Figure 8. Impacts of various price ( P 1 ) of new energy vehicles on evolutionary game system.
Preprints 70531 g008
Figure 9. Impacts of various consumer utility value ( V 1 ) of new energy vehicles on evolutionary game system.
Figure 9. Impacts of various consumer utility value ( V 1 ) of new energy vehicles on evolutionary game system.
Preprints 70531 g009
Figure 10. Impacts of various coverage of public charging posts ( n 1 ) on evolutionary game system.
Figure 10. Impacts of various coverage of public charging posts ( n 1 ) on evolutionary game system.
Preprints 70531 g010
Figure 11. Impacts of various time cost ( C 5 ) of society’s shifting from high-carbon to low-carbon travels on evolutionary game system.
Figure 11. Impacts of various time cost ( C 5 ) of society’s shifting from high-carbon to low-carbon travels on evolutionary game system.
Preprints 70531 g011
Figure 12. Impacts of various human resource costs ( C 3 ) of governments with subsidy policy on evolutionary game system.
Figure 12. Impacts of various human resource costs ( C 3 ) of governments with subsidy policy on evolutionary game system.
Preprints 70531 g012
Figure 13. Simulation results of the evolution system in scenario 1 and 2 with different initial combination strategies.
Figure 13. Simulation results of the evolution system in scenario 1 and 2 with different initial combination strategies.
Preprints 70531 g013
Table 1. Game matrix for the evolutionary combination strategy of car manufacturers, consumers and governments.
Table 1. Game matrix for the evolutionary combination strategy of car manufacturers, consumers and governments.
Consumers Governments
subsidies z no subsidies 1-z
Vehicle Manufacturers produce new energy vehicles x purchase y π 1 + R 2 + R 3 ; V 1 P 1 + n 1 η 1 C 1 L ; R 1 C 3 R 2 π 1 + R 3 ; V 1 P 1 + n 1 η 1 C 1 L ; R 1 C 5
not purchase
1-y
R 2 + R 3 ; R 6 C 6 ; R 1 C 3 R 2 R 3 ; C 6 ; R 1 C 5
produce fuel cars 1-x purchase
y
π 2 F ; V 2 P 2 Λ C 2 L ; F C 3 C 4 π 2 F ; V 2 P 2 Λ C 2 L ; F C 5 C 4
not purchase 1-y F ; R 6 C 6 ; F C 3 F ; C 6 ; F C 5
Table 2. Analysis of system equilibrium points and their stability.
Table 2. Analysis of system equilibrium points and their stability.
Equilibrium Points Eigenvalue Condition Real Part Symbol Stability
E 1 ( 0 , 0 , 0 ) R 3 + F , U 2 + C 6 , C 5 C 3 \ +,+, × unstable point
E 2 ( 1 , 0 , 0 ) R 3 F , U 1 + C 6 , C 5 R 2 C 3 \ -,+, × unstable point
E 3 ( 0 , 1 , 0 ) R 3 π 2 + F , U 2 C 6 , C 5 C 3 1,3 -,-,- ESS
E 4 ( 0 , 0 , 1 ) R 3 π 2 + F , U 2 R 4 + C 6 , C 3 C 5 1,5,4 -,-,- ESS
E 5 ( 1 , 1 , 0 ) R 3 + π 2 F , U 1 C 6 , R 2 C 3 + C 5 2,3 -,-,- ESS
E 6 ( 1 , 0 , 1 ) R 2 R 3 F , U 1 R 4 + C 6 , R 2 C 3 + C 5 6,3 -,-,- ESS
E 7 ( 0 , 1 , 1 ) π 1 + R 2 + R 3 π 2 + F , U 2 + R 4 C 6 , C 3 C 5 8 +, × , × unstable point
E 8 ( 1 , 1 , 1 ) π 1 R 2 R 3 + π 2 F , U 1 + R 4 C 6 , R 2 + C 3 C 5 8, 7, 9 -,-,- ESS
E 9 ( x 1 , 1 , z 1 ) R 4 z L c 3 U 2 U 1 x + U 2 x , λ 2 , λ 3 \ × , × , × uncertain
E 10 ( x 2 , y 2 , 0 ) C 5 C 3 R 2 x , λ 4 , λ 5 \ × , × , × uncertain
E 11 ( x 3 , y 3 , 1 ) C 5 C 3 + 2 ( C 3 C 5 ) z R 2 x + 2 R 2 x z , λ 6 , λ 7 \ × , × × , × uncertain
Note: × indicates uncertain symbols; x 1 , x 2 , x 3 , y 2 , y 3 , z 1 are all equilibrium point coordinates; λ 2 λ 7 are the eigenvalue corresponding to the equilibrium point. Condition 1: R 3 + F < π 2 ; condition 2: R 3 + F > π 2 ; condition 3: C 5 < C 3 ; condition 4: C 5 > C 3 ; condition 5: U 2 + C 6 < R 4 ; condition 6: U 1 + C 6 < R 4 ; condition 7: U 1 + C 6 > R 4 ; Condition 8: π 1 > π 2 ; condition 9: C 5 > R 2 + C 3 .
Table 3. Initial strategy combinations for scenario 1 and scenario 2.
Table 3. Initial strategy combinations for scenario 1 and scenario 2.
Initial Strategy Combination Car Manufacturers x Consumers y Governments z
1 0.27 0.4 0.64
2 0.27 0.8 0.64
3 0.27 0.8 0.84
4 0.57 0.4 0.64
5 0.57 0.8 0.84
Disclaimer/Publisher’s Note: The statements, opinions and data contained in all publications are solely those of the individual author(s) and contributor(s) and not of MDPI and/or the editor(s). MDPI and/or the editor(s) disclaim responsibility for any injury to people or property resulting from any ideas, methods, instructions or products referred to in the content.
Copyright: This open access article is published under a Creative Commons CC BY 4.0 license, which permit the free download, distribution, and reuse, provided that the author and preprint are cited in any reuse.
Prerpints.org logo

Preprints.org is a free preprint server supported by MDPI in Basel, Switzerland.

Subscribe

Disclaimer

Terms of Use

Privacy Policy

Privacy Settings

© 2026 MDPI (Basel, Switzerland) unless otherwise stated