Submitted:
16 November 2023
Posted:
17 November 2023
You are already at the latest version
Abstract
Keywords:
1. Introduction
2. Literature Review
2.1. Recycling in E-CLSC
2.2. LC-CLSC with Government Participation
3. Model Assumptions and Construction
3.1. Model Assumptions
| Symbol | Description |
|---|---|
| p | The selling price of the remanufactured product. |
| r | The marginal effect of emission reduction levels on remanufactured product prices. |
| e | Emission reduction levels of the remanufacturer. |
| m | Cost sensitivity of emission reduction levels. |
| h | Sensitivity of consumer recycling service levels. |
| s | The level of recycling service. |
| μ | The unit commission charged by platform to remanufacturer. |
| n | Cost sensitivity of service level. |
| Q | The additional recycling quantity attributed to government environmental promotion. |
| a | Government subsidy proportion for remanufacturer’ low-carbon investments. |
| b | Government subsidy proportion for platform service investments. |
| T | The unit carbon emission tax levied by the government on traditional products. |
| Cg | The investment required by the government for regulatory implementation. |
| Cw | Government investment in environmental awareness promotion. |
| πij | Profits of stakeholders under different strategy combinations. i={M, P, G}, j={1,2,…,8}. |
3.2. Model Construction
4. Model Analysis
4.1. Analysis of Remanufacturer’ Strategy Stability
4.2. Analysis of Platform’ Strategy Stability
4.3. Analysis of Government’ Strategy Stability
4.4. Stability Analysis of Equilibria in Three-Player Evolutionary Game Systems
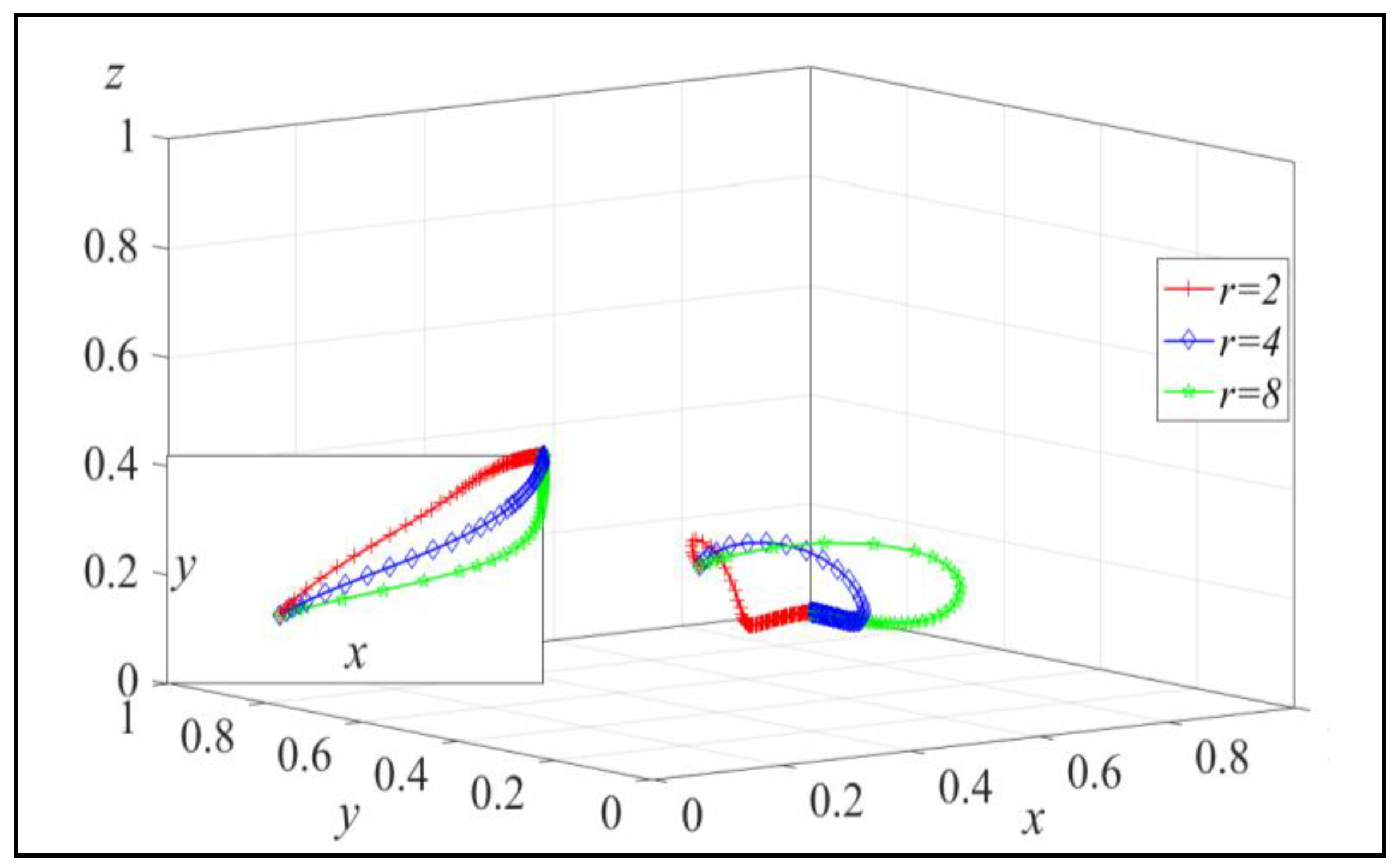
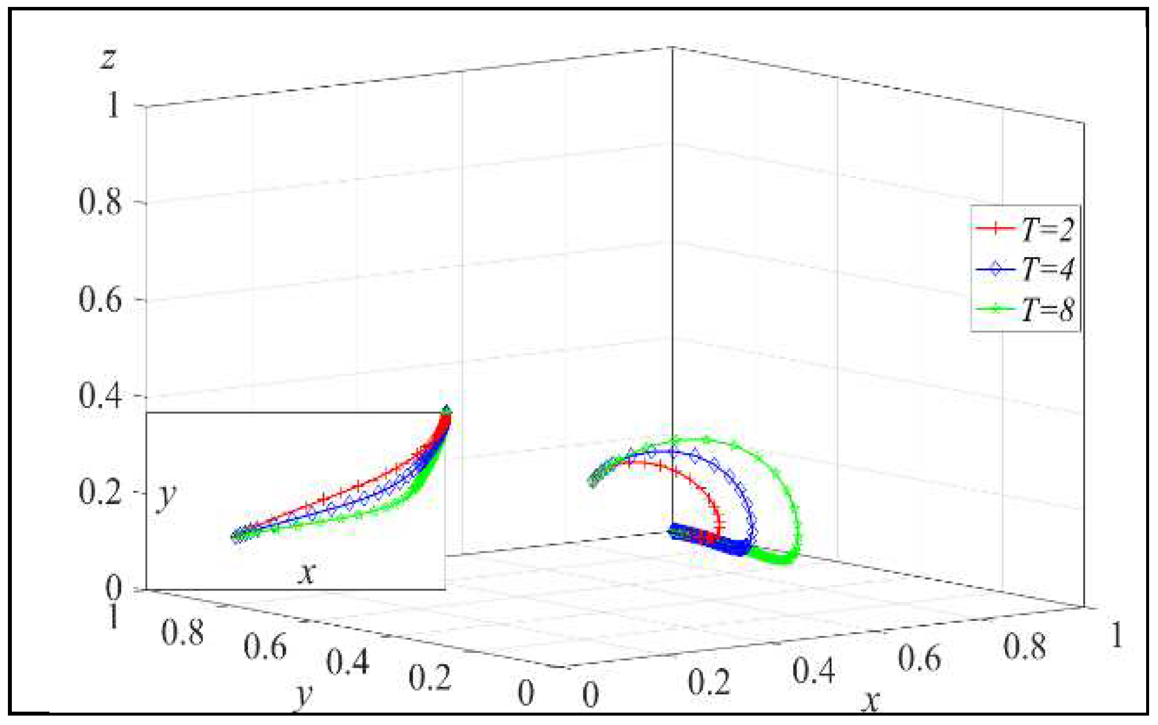
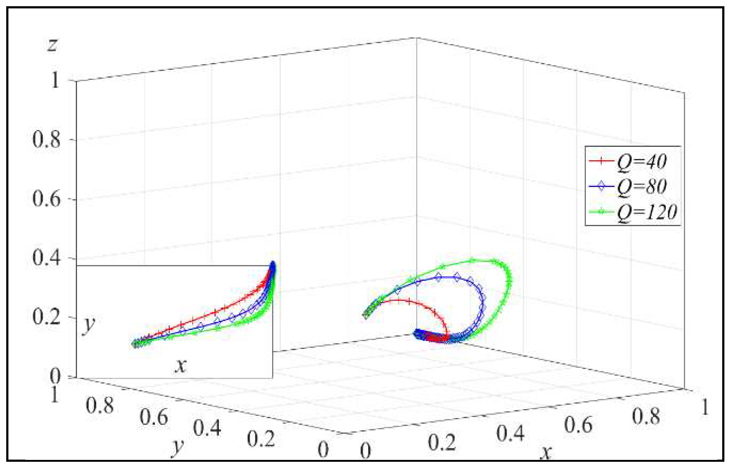
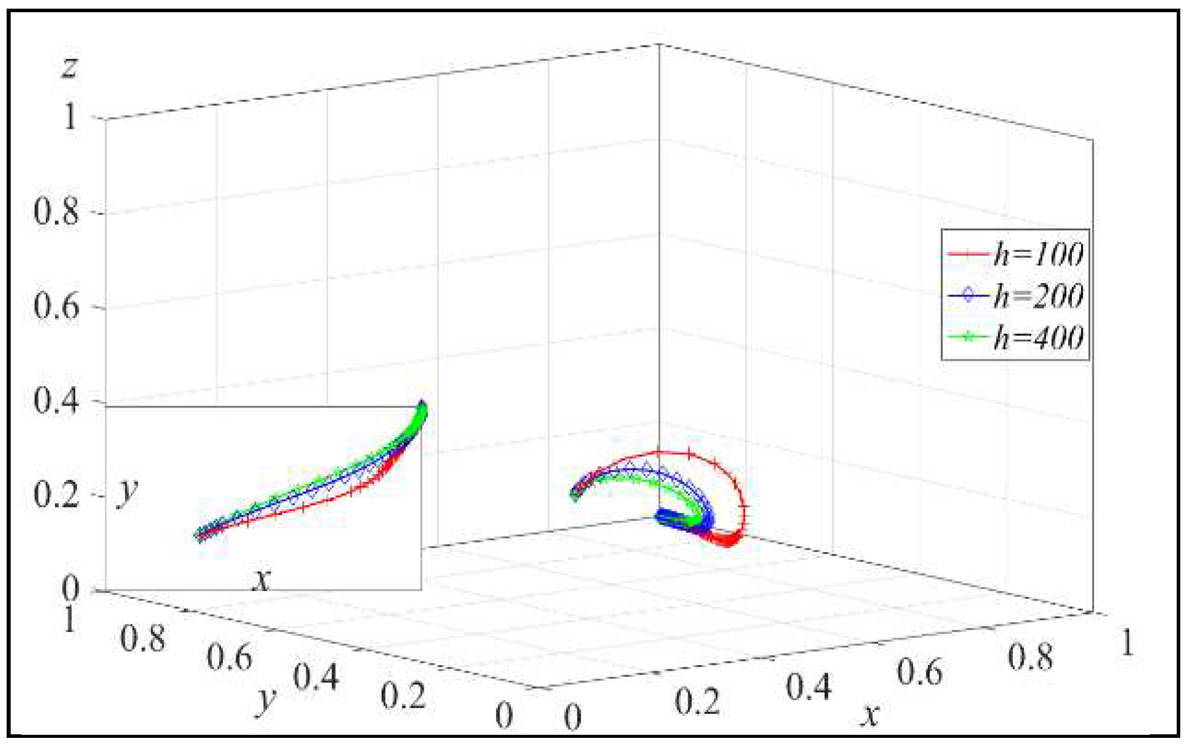
5. Result and Discussion
6. Conclusions
References
- Jian L, Zhen W, Bao J and Taebok K (2017) Coordination strategies in a three-echelon reverse supply chain for economic and social benefit. Applied Mathematical Modelling, 49: 599-611.
- Zhang XM, Li QW, Liu Z and Chang CT (2021) Optimal pricing and remanufacturing mode in a closed-loop supply chain of WEEE under government fund policy. Computers & Industrial Engineering, 151: 106951.
- Owusu-Sekyere K, Batteiger A, Afoblikame R, Hafner G and Kranert M (2022) Assessing data in the informal e-waste sector: The Agbogbloshie Scrapyard. Waste Management, 139: 158-167.
- Ling M, Xu L and Chu X (2023) Heterogeneous effects of other-regarding interventions on household recycling: A field experimental study. Journal of Environmental Management, 329: 117102.
- Tian L, Vakharia AJ, Tan Y and Xu Y (2018) Marketplace, Reseller, or Hybrid: Strategic Analysis of an Emerging E-Commerce Model. Production and Operations Management, 27(8): 1595-1610.
- Rao P, Balasubramanian S, Nitin Vihari SJ, Shukla V and Chanchaichujit J (2021) The e-commerce supply chain and environmental sustainability: An empirical investigation on the online retail sector. Cogent Business & Management, 8(1): 1938377.
- Guo X, Li X, Bian J and Yang C (2023) Deposit or reward: Express packaging recycling for online retailing platforms. Omega, 117: 102828.
- Li B, Wang Q, Chen B, Sun T, Wang Z and Cheng Y (2022) Tripartite evolutionary game analysis of governance mechanism in Chinese WEEE recycling industry. Computers & Industrial Engineering, 167:108045.
- Zlamparet GI, Tan Q, Stevels AB and Li J (2017) Resource conservation approached with an appropriate collection and upgrade-remanufacturing for used electronic products. Waste Management, 73: 78-86.
- Yang R, Tang W and Zhang J (2020) Technology improvement strategy for green products under competition: The role of government subsidy. European Journal of Operational Research, 289(2): 553-568.
- Sarkar B, Ullah M and Sarkar M (2022) Environmental and economic sustainability through innovative green products by remanufacturing. Journal of Cleaner Production, 332: 129813.
- Mejía-Moncayo C, Kenné JP and Hof LA (2023) On the development of a smart architecture for a sustainable manufacturing-remanufacturing system: A literature review approach. Computers & Industrial Engineering, 180: 109282.
- Wang Q, Li B, Chen B, Cheng Y and Wang Z (2021) Implication of take-back and carbon emission capacity regulations on remanufacturing in a competitive market. Journal of Cleaner Production, 325: 129231.
- Salhofer S, Steuer B, Ramusch R and Beigl P (2016) WEEE management in Europe and China - A comparison. Waste Management, 57: 27-35.
- Liu J, Zhai X and Chen L (2019) Optimal pricing strategy under trade-in program in the presence of strategic consumers. Omega, 84: 1-17.
- Jian H, Xu M and Zhou L (2019) Collaborative collection effort strategies based on the “Internet + recycling” business model. Journal of Cleaner Production, 241: 118120.
- Li J, Jia A, Hou X, Wang X, Mao Y and Wang W (2023) Thermal co-treatment of aluminum dross and municipal solid waste incineration fly ash: Mineral transformation, crusting prevention, detoxification, and low-carbon cementitious material preparation. Journal of Environmental Management, 329: 117090.
- Kurniawan TA, Dzarfan Othman MH, Hwang GH and Gikas P (2022) Unlocking digital technologies for waste recycling in Industry 4.0 era: A transformation towards a digitalization-based circular economy in Indonesia. Journal of Cleaner Production, 357: 131911.
- Jin L, Zheng B and Huang S (2021) Pricing and coordination in a reverse supply chain with online and offline recycling channels: A power perspective. Journal of Cleaner Production, 298: 126786.
- Bai S, Ge L and Zhang X (2022) Platform or direct channel: Government-subsidized recycling strategies for WEEE. Information Systems and e-Business Management, 20(2): 347-369.
- Wang J, Xu M and Zou L (2022) Pricing decisions of the “Internet +” recycling platform considering consumer behaviour. Computers & Industrial Engineering, 174: 108831.
- Matsui K (2023) Dual-recycling channel reverse supply chain design of recycling platforms under acquisition price competition. International Journal of Production Economics, 259: 108769.
- Feng L, Govindan K and Li C (2017) Strategic planning: Design and coordination for dual-recycling channel reverse supply chain considering consumer behavior. European Journal of Operational Research, 260(2): 601-612.
- Li C, Feng L and Luo S (2019) Strategic introduction of an online recycling channel in the reverse supply chain with a random demand. Journal of Cleaner Production, 236: 117683.
- Wang Y, Yu Z, Shen L and Jin M (2022) Operational modes of E-closed loop supply chain considering platforms’ services. International Journal of Production Economics, 251: 108551.
- Wang YY, Chen YL, Cheng W, Wang JC and Tao F (2023) Equilibrium analysis of transaction modes and recycling channels in a closed-loop supply chain with an online platform. Computers & Industrial Engineering, 177: 109090.
- Fukui H and Miyoshi C (2017) The impact of aviation fuel tax on fuel consumption and carbon emissions: The case of the US airline industry. Transportation Research Part D: Transport and Environment, 50: 234-253.
- Yuyin Y and Jinxi L (2018) The effect of governmental policies of carbon taxes and energy-saving subsidies on enterprise decisions in a two-echelon supply chain. Journal of Cleaner Production, 181: 675-691.
- Zhang Z and Yu L (2022) Altruistic mode selection and coordination in a low-carbon closed-loop supply chain under the government’s compound subsidy: A differential game analysis. Journal of Cleaner Production, 366: 132863.
- He X, Jiang J and Hu W (2023) Cross effects of government subsidies and corporate social responsibility on carbon emissions reductions in an omnichannel supply chain system. Computers & Industrial Engineering, 175: 108872.
- Zhang P, Jin L and Wang Y (2023) Optimizing mechanisms for promoting low-carbon manufacturing industries towards carbon neutrality. Renewable and Sustainable Energy Reviews, 183: 113516.
- Wang Y, Fan R, Shen L and Miller W.(2020) Recycling Decisions of Low-Carbon E-commerce Closed-Loop Supply Chain under Government Subsidy Mechanism and Altruistic Preference. Journal of Cleaner Production, 259: 120883.
- Xie J, Zhang W, Liang L, Xia Y, Yin J and Yang G (2018) The revenue and cost sharing contract of pricing and servicing policies in a dual-channel closed-loop supply chain. Journal of Cleaner Production, 191: 361-383.
- Nair A and Narasimhan R (2006) Dynamics of competing with quality- and advertising-based goodwill. European Journal of Operational Research, 175(1): 462-474.
- Giovanni PD and Zaccour G (2019) Optimal quality improvements and pricing strategies with active and passive product returns. Omega, 88: 248-262.
- Wang Y, Yu Z, Shen L and Dong W (2021) Impacts of altruistic preference and reward-penalty mechanism on decisions of E-commerce closed-loop supply chain. Journal of Cleaner Production, 315: 128132.
- Wu CH (2012) Price and service competition between new and remanufactured products in a two-echelon supply chain. International Journal of Production Economics, 140(1): 496-507.
- Wang Y, Yu Z and Shen L (2018) Study on the decision-making and coordination of an e-commerce supply chain with manufacturer fairness concerns. International Journal of Production Research, 57(9): 1-21.
- Li Q, Xiao T and Qiu Y (2018) Price and carbon emission reduction decisions and revenue-sharing contract considering fairness concerns. Journal of Cleaner Production, 190: 303-314.
- Wang M, Li Y, Cheng Z, Zhong C and Ma W (2021) Evolution and equilibrium of a green technological innovation system: Simulation of a tripartite game model. Journal of Cleaner Production, 278: 123944.











| Remanufacturer | Platform | |
|---|---|---|
| Service Investing (y) | Not Service Investing (1-y) | |
| Low-carbon products (x) |
|
|
| Traditional products (1-x) |
|
|
| Remanufacturer | Platform | |
|---|---|---|
| Investing (y) | Not Investing (1-y) | |
| Low-carbon products (x) |
|
|
| Traditional products (1-x) |
, |
|
| Points | The Eigenvalues of the Jacobian Matrix | Stability | Conditions | |
|---|---|---|---|---|
| Sign | ||||
| E1 (0,0,0) | ,, | +, -, - | Unstable | \ |
| E2 (1,0,0) | ,, | +,+, - | Unstable | \ |
| E3 (0,1,0) | ,, | -, -, - | ESS | ① |
| E4 (0,0,1) | ,, | +, -, - | Unstable | \ |
| E5 (1,1,0) | ,, | -, -, - | ESS | ② |
| E6 (1,0,1) | ,, | +, +, × | Unstable | \ |
| E7 (0,1,1) | ,, | -, -, - | ESS | ③ |
| E8 (1,1,1) | ,, | -, +, × | Unstable | \ |
| E9 (x1,1, z1) | , | ×, +, - | Unstable | ④ |
| E10 (x1,0, z1) | , | +, +, - | Unstable | ⑤ |
Disclaimer/Publisher’s Note: The statements, opinions and data contained in all publications are solely those of the individual author(s) and contributor(s) and not of MDPI and/or the editor(s). MDPI and/or the editor(s) disclaim responsibility for any injury to people or property resulting from any ideas, methods, instructions or products referred to in the content. |
© 2023 by the authors. Licensee MDPI, Basel, Switzerland. This article is an open access article distributed under the terms and conditions of the Creative Commons Attribution (CC BY) license (http://creativecommons.org/licenses/by/4.0/).