Submitted:
11 June 2025
Posted:
12 June 2025
You are already at the latest version
Abstract

Keywords:
1. Introduction
2. Methods
2.1. Overview
2.2. System Definition
2.3. Properties of Agents
- Smartphones are represented as resource agents that undergo performance degradation and repairs over time, simulating the physical decline and maintenance typical of real-world devices.
- Consumers act as decision-makers whose purchasing and end-of-life (EoL) behaviors are influenced by income, product attributes, and social norms. Their choices are modeled using utility-based frameworks and the Theory of Planned Behavior to reflect both economic and psychological drivers.
- Second-hand stores function as intermediaries that acquire, refurbish, and resell used smartphones. Their decisions are shaped by repair costs, inventory levels, and prevailing market conditions.
- Recyclers handle smartphones from consumers and second-hand stores, with operations guided by pricing strategies and government incentives aimed at optimizing material recovery.
- Manufacturers are responsible for producing new smartphones and facilitating trade-in or take-back programs, thereby influencing product demand and the flow of devices into recycling channels.
2.3.1. Smartphone Agent
2.3.2. Consumer Agent
2.3.3. Second-hand Store Agent
2.3.4. Manufacturer Agent
2.3.5. Recycler Agent
2.3.6. Government Incentive Model
2.4. Experimental Settings
3. Results
3.1. Analysis of Consumer Behavior
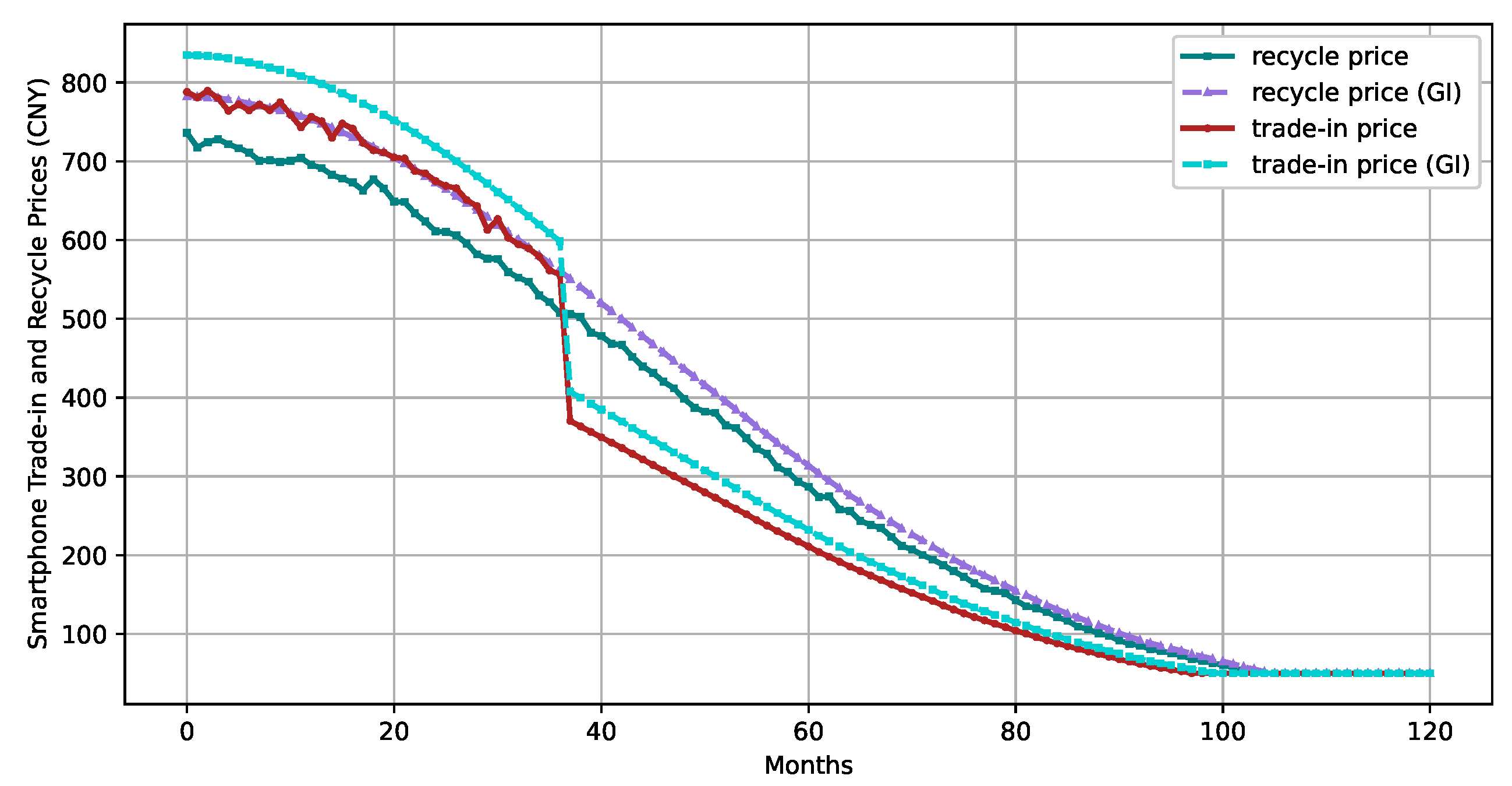
3.2. Impact of Government Incentives
3.3. Validation
4. Conclusions
References
- Macal, C. M.; North, M. J. Tutorial on agent-based modeling and simulation. Proceedings of the Winter Simulation Conference 2005, 14–pp.
- Bonabeau, E. Agent-based modeling: Methods and techniques for simulating human systems. Proceedings of the National Academy of Sciences 2002, 99, 7280–7287. [Google Scholar] [CrossRef] [PubMed]
- Rahmandad, H.; Sterman, J. Heterogeneity and network structure in the dynamics of diffusion: Comparing agent-based and differential equation models. Management Science 2008, 54, 998–1014. [Google Scholar] [CrossRef]
- Hansen, P.; Liu, X.; Morrison, G. M. Agent-based modelling and socio-technical energy transitions: A systematic literature review. Energy Research & Social Science 2019, 49, 41–52. [Google Scholar]
- Meng, C.; Gustafsson, B.; Knight, J. Economic Transformation and Income Distribution in China Over Three Decades; Cambridge University Press, 2023. [Google Scholar]
- Skare, M.; Gil-Alana, L. A.; Claudio-Quiroga, G.; Pržiklas Družeta, R. Income inequality in China 1952-2017: persistence and main determinants. Oeconomia Copernicana 2021, 12, 863–888. [Google Scholar] [CrossRef]
- Charpentier, A.; Flachaire, E. Pareto models for top incomes and wealth. The Journal of Economic Inequality 2022, 20, 1–25. [Google Scholar] [CrossRef]
- Yi, X.; Jue, W.; Huan, H. Does economic development bring more livability? Evidence from Jiangsu Province, China. Journal of Cleaner Production 2021, 293, 126187. [Google Scholar] [CrossRef]
- Wang, N.; Chen, Z.; Li, T.; Zhen, M. Spatiotemporal pattern evolution and influence mechanism of urban vertical expansion: a case study of Jiangsu Province, China. Land 2022, 11, 433. [Google Scholar] [CrossRef]
- Ferreira, L. N.; Hong, I.; Rutherford, A.; Cebrian, M. The small-world network of global protests. Scientific Reports 2021, 11, 19215. [Google Scholar] [CrossRef]
- Cubillos-Cornejo, J.; Mendoza, M. E.; Bordeu, I. Extreme events at the onset of epileptic-like intermittent activity of FitzHugh–Nagumo oscillators on small-world networks. Chaos, Solitons & Fractals 2025, 192, 116000. [Google Scholar]
- Axtell, R. L.; Farmer, J. D. Agent-based modeling in economics and finance: Past, present, and future. Journal of Economic Literature 2025, 63, 197–287. [Google Scholar] [CrossRef]
- Kerr, C. C.; Stuart, R. M.; Mistry, D.; Abeysuriya, R. G.; Rosenfeld, K.; Hart, G. R.; Núñez, R. C.; Cohen, J. A.; Selvaraj, P.; Hagedorn, B.; et al. Covasim: an agent-based model of COVID-19 dynamics and interventions. PLOS Computational Biology 2021, 17, e1009149. [Google Scholar] [CrossRef] [PubMed]
- Song, Y.; Li, G.; Li, T.; Li, Y. A purchase decision support model considering consumer personalization about aspirations and risk attitudes. Journal of Retailing and Consumer Services 2021, 63, 102728. [Google Scholar] [CrossRef]
- Esmeli, R.; Bader-El-Den, M.; Abdullahi, H. Towards early purchase intention prediction in online session based retailing systems. Electronic Markets 2021, 31, 697–715. [Google Scholar] [CrossRef]
- Zhang, L.; Ran, W.; Jiang, S.; Wu, H.; Yuan, Z. Understanding consumers’ behavior intention of recycling mobile phone through formal channels in China: The effect of privacy concern. Resources, Environment and Sustainability 2021, 5, 100027. [Google Scholar] [CrossRef]
- Jiang, S.; Zhang, L.; Hua, H.; Liu, X.; Wu, H.; Yuan, Z. Assessment of end-of-life electric vehicle batteries in China: Future scenarios and economic benefits. Waste Management 2021, 135, 70–78. [Google Scholar] [CrossRef]
- Lyu, T.; Chen, H.; Guo, Y. Investigating innovation diffusion, social influence, and personal inner forces to understand people’s participation in online e-waste recycling. Journal of Retailing and Consumer Services 2023, 73, 103366. [Google Scholar] [CrossRef]
- Bocken, N. M. P.; De Pauw, I.; Bakker, C.; Van Der Grinten, B. Product design and business model strategies for a circular economy. Journal of Industrial and Production Engineering 2016, 33, 308–320. [Google Scholar] [CrossRef]
- Steffen, A. Second-hand consumption as a lifestyle choice. International Conference on Consumer Research 2017, 189–207. [Google Scholar]
- Gobbi, C. Designing the reverse supply chain: the impact of the product residual value. International Journal of Physical Distribution & Logistics Management 2011, 41, 768–796. [Google Scholar]
- Shu, T.; Liao, H.; Chen, S.; Wang, S.; Lai, K. K.; Gan, L. Analysing remanufacturing decisions of supply chain members in uncertainty of consumer preferences. Applied Economics 2016, 48, 3208–3227. [Google Scholar] [CrossRef]
- Wangsa, I. D.; Yang, T. M.; Wee, H. M. The effect of price-dependent demand on the sustainable electrical energy supply chain. Energies 2018, 11, 1645. [Google Scholar] [CrossRef]
- Zink, T.; Maker, F.; Geyer, R.; Amirtharajah, R.; Akella, V. Comparative life cycle assessment of smartphone reuse: repurposing vs. refurbishment. The International Journal of Life Cycle Assessment 2014, 19, 1099–1109. [Google Scholar] [CrossRef]
- Wang, H.; Gu, Y.; Li, L.; Liu, T.; Wu, Y.; Zuo, T. Operating models and development trends in the extended producer responsibility system for waste electrical and electronic equipment. Resources, Conservation and Recycling 2017, 127, 159–167. [Google Scholar] [CrossRef]
- Hartley, K.; van Santen, R.; Kirchherr, J. Policies for transitioning towards a circular economy: Expectations from the European Union (EU). Resources, Conservation and Recycling 2020, 155, 104634. [Google Scholar] [CrossRef]
- Hazelwood, D. A.; Pecht, M. G. Life extension of electronic products: a case study of smartphones. IEEE Access 2021, 9, 144726–144739. [Google Scholar] [CrossRef]
- Prabhu N, S.; Majhi, R. Disposal of obsolete mobile phones: A review on replacement, disposal methods, in-use lifespan, reuse and recycling. Waste Management & Research 2023, 41, 18–36. [Google Scholar]
- Sari, D. P.; Masruroh, N. A.; Asih, A. M. S. Eco-Efficiency Comparative Analysis of Informal and Formal Smartphone Recycling Practices Using Life Cycle Assessment. International Journal on Advanced Science, Engineering & Information Technology 2023, 13, 3. [Google Scholar]
- Khan, F.; Ahmed, W.; Najmi, A. Understanding consumers’ behavior intentions towards dealing with the plastic waste: Perspective of a developing country. Resources, Conservation and Recycling 2019, 142, 49–58. [Google Scholar] [CrossRef]
- Klymenko, O.; Meisenbacher, S.; Matthes, F. Identifying practical challenges in the implementation of technical measures for data privacy compliance. arXiv 2023, arXiv:2306.15497. [Google Scholar]
- Souza Piao, R.; Vincenzi, T. B.; Vazquez-Brust, D. A.; Yakovleva, N.; Bonsu, S.; Carvalho, M. M. Barriers toward circular economy transition: Exploring different stakeholders’ perspectives. Corporate Social Responsibility and Environmental Management 2024, 31, 153–168. [Google Scholar] [CrossRef]
- Terano, T. Why agent-based modeling in social system analysis. J. Stage Oukan 2010, 2, 56–62. [Google Scholar]
- Sarath, P.; Bonda, S.; Mohanty, S.; Nayak, S. K. Mobile phone waste management and recycling: Views and trends. Waste Management 2015, 46, 536–545. [Google Scholar] [CrossRef] [PubMed]
- Liu, J.; Bai, H.; Zhang, Q.; Jing, Q.; Xu, H. Why are obsolete mobile phones difficult to recycle in China? Resources, Conservation and Recycling 2019, 141, 200–210. [Google Scholar] [CrossRef]
- Li, B.; Yang, J.; Song, X.; Lu, B. Survey on disposal behaviour and awareness of mobile phones in Chinese university students. Procedia Environmental Sciences 2012, 16, 469–476. [Google Scholar] [CrossRef]
- Arain, A. L.; Pummill, R.; Adu-Brimpong, J.; Becker, S.; Green, M.; Ilardi, M.; Van Dam, E.; Neitzel, R. L. Analysis of e-waste recycling behavior based on survey at a Midwestern US University. Waste Management 2020, 105, 119–127. [Google Scholar] [CrossRef]
- Ylä-Mella, J.; Keiski, R. L.; Pongrácz, E. Electronic waste recovery in Finland: Consumers’ perceptions towards recycling and re-use of mobile phones. Waste Management 2015, 45, 374–384. [Google Scholar] [CrossRef]
- Wieser, H.; Tröger, N. Exploring the inner loops of the circular economy: Replacement, repair, and reuse of mobile phones in Austria. Journal of Cleaner Production 2018, 172, 3042–3055. [Google Scholar] [CrossRef]
- Yin, J.; Gao, Y.; Xu, H. Survey and analysis of consumers’ behaviour of waste mobile phone recycling in China. Journal of Cleaner Production 2014, 65, 517–525. [Google Scholar] [CrossRef]
- Wilson, G. T.; Smalley, G.; Suckling, J. R.; Lilley, D.; Lee, J.; Mawle, R. The hibernating mobile phone: Dead storage as a barrier to efficient electronic waste recovery. Waste Management 2017, 60, 521–533. [Google Scholar] [CrossRef]
- Ongondo, F. O.; Williams, I. D. Greening academia: Use and disposal of mobile phones among university students. Waste Management 2011, 31, 1617–1634. [Google Scholar] [CrossRef]
- Bai, H.; Wang, J.; Zeng, A. Z. Exploring Chinese consumers’ attitude and behavior toward smartphone recycling. Journal of Cleaner Production 2018, 188, 227–236. [Google Scholar] [CrossRef]
- Tan, Q.; Duan, H.; Liu, L.; Yang, J.; Li, J. Rethinking residential consumers’ behavior in discarding obsolete mobile phones in China. Journal of Cleaner Production 2018, 195, 1228–1236. [Google Scholar] [CrossRef]
- Pramanik, P. K. D.; Sinhababu, N.; Mukherjee, B.; Padmanaban, S.; Maity, A.; Upadhyaya, B. K.; Holm-Nielsen, J. B.; Choudhury, P. Power consumption analysis, measurement, management, and issues: A state-of-the-art review of smartphone battery and energy usage. IEEE Access 2019, 7, 182113–182172. [Google Scholar] [CrossRef]
- Xu, B.; Oudalov, A.; Ulbig, A.; Andersson, G.; Kirschen, D. S. Modeling of lithium-ion battery degradation for cell life assessment. IEEE Transactions on Smart Grid 2016, 9, 1131–1140. [Google Scholar] [CrossRef]
- Rahmati, A.; Qian, A.; Zhong, L. Understanding human-battery interaction on mobile phones. Proceedings of the 9th International Conference on Human Computer Interaction with Mobile Devices and Services 2007, 265–272. [Google Scholar]











| Notation | Agent | Description |
| Consumer | Active agent | |
| Second-hand Store | Active agent | |
| Recycler | Active agent | |
| Manufacturer | Active agent | |
| Smartphone | Resource agent |
| Study | Location | Proffer | Landfill | Store | Resell | Manufacturer Recycle |
Third-party Recycle |
| [35] | China | 25.0 | 6.0 | 54.0 | - | - | 15.0 |
| [38] | Finland | 16.0 | 8.5 | 55.0 | 2.4 | - | 18.0 |
| [39] | Austria | 12.2 | 1.4 | 51.4 | 6.7 | - | 19.1 |
| [40] | China | 24.8 | 6.9 | 47.1 | - | - | - |
| [36] | China | 20.0 | 3.0 | 64.0 | 7.0 | 1.0 | 5.0 |
| [37] | USA | 41.0 | 3.0 | 43.0 | 3.0 | 9.0 | 1.0 |
| [42] | UK | 18.7 | 1.6 | 55.7 | 3.1 | 5.2 | 9.4 |
| [43] | China | 35.7 | - | 79.3 | 6.0 | - | - |
| [44] | China | 12.7 | 8.9 | 62.1 | - | 1.4 | 0.8 |
| [16] | China | 19.0 | 1.0 | 49.0 | 4.0 | 11.0 | 14.0 |
| Ours | - | 15.5 | 1.6 | 54.4 | 4.0 | 8.1 | 16.4 |
| Ours+GI | - | 13.6 | 1.5 | 40.3 | 8.9 | 13.9 | 21.8 |
Disclaimer/Publisher’s Note: The statements, opinions and data contained in all publications are solely those of the individual author(s) and contributor(s) and not of MDPI and/or the editor(s). MDPI and/or the editor(s) disclaim responsibility for any injury to people or property resulting from any ideas, methods, instructions or products referred to in the content. |
© 2025 by the authors. Licensee MDPI, Basel, Switzerland. This article is an open access article distributed under the terms and conditions of the Creative Commons Attribution (CC BY) license (http://creativecommons.org/licenses/by/4.0/).
