Preprint
Article

This version is not peer-reviewed.

Effect of Transplanting Date on Agronomic and Grain Quality Traits Using Early Maturing Rice Varieties

A peer-reviewed article of this preprint also exists.

Submitted:

01 March 2023

Posted:

02 March 2023

You are already at the latest version

Abstract
This study aimed to investigate how transplanting date affects the agronomic and grain quality traits of two early maturing rice varieties. The experiment was conducted in the rice research field of Chungnam Agricultural Research and Extension Services, South Korea and rice materials were transplanted at intervals of approximately 15 days from April 16 to July 16 in 2019 and 2020. Results showed that agronomic and grain quality traits varied according to the transplanting date, and earlier transplanting resulted in the longer period of days from transplanting to heading (DTH). The spikelet number m-2 was highly correlated with the milled rice yield (r = 0.963** for Jinbuol, r = 0.909** for Yeoreumi) and it significantly decreased as the transplanting date was delayed, which was leading to lower yield. Environmental factors, the mean temperature during the grain filling stage, had a negative correlation with head rice rate (r2 = 0.825** for Jinbuol, r2 = 0.803** for Yeoreumi), and the number of days from transplanting to heading showed negative correlation with protein content (r2 = 0.777** for Jinbuol, r2 = 0.833** for Yeoreumi). Therefore, increasing the number of days from transplanting to heading date can lead to higher milled rice yield and lower protein content, and avoiding heading dates on July 17 can improve the appearance traits. As a results, it is suggested that early transplanting is advantageous to increase the milled rice yield and grain quality of early maturing rice.
Keywords: 
;  ;  ;  ;  

1. Introduction

Rice is one of the most important staple foods in the world, feeding more than half of the global population, and approximately 90% of the world's rice is produced and consumed in Asia. Rice has been a staple food in Korea for thousands of years and has had a significant impact on the country's economy and culture [1,2]. However, the cultivation area of rice continuously decreased from 1,306,789 hectares (1980) to 780,440 hectares (2021) because of the industrialization [3]. As the standard of living has improved, rice consumption per person has decreased from 132.4 kg (1980) to 56.5 kg (2022) due to the increased availability and consumption of western-style convenience foods and demand for rice with high quality has been increasing [4-6].
Rice grain quality is a complex characteristic that depends on multiple factors, including appearance, cooking qualities, and eating qualities. Among these traits, consumers tend to pay more attention to appearance including head rice, chalky rice and cracked rice [7]. Chalky rice is generally regarded as undesirable characteristic because it is less stickiness than head rice when cooked and has poor palatability. The reason for the increase in chalky rice is that high temperatures during grain filling stage interferes with grain development and reduces carbohydrates [8-11]. In addition, high temperature influences the physicochemical property such as protein and amylose content [12,13]. In an effort to improve the quality of rice, many researchers have identified the relationship between physicochemical properties and eating quality. And currently, it is used as an indirect method for estimating the eating quality texture by using physicochemical characteristics such as protein content, amylose content, glossiness of cooked rice, alkali digestion, and viscosity characteristics of starch [10,14,15].
Rice cultivation is a significant contributor to global methane emissions, Methane is produced by the anaerobic (oxygen-free) decomposition of organic matter in the soil during rice cultivation. Therefore, reducing methane emissions from rice cultivation is an important goal in the context of climate change, and researchers are actively working to find innovative solutions to this problem [16-20] and one strategy for reducing methane emissions from rice cultivation is to use early maturing rice varieties with a short growing period [21]. By using early maturing rice varieties, farmers can also potentially harvest their crops earlier in the season, which can give them more flexibility in terms of double cropping and may also help to reduce the overall greenhouse gas emissions associated.
Early maturing rice varieties in Korea have been bred to grow in mid-mountain and mountainous regions due to their adaptability to cooler temperatures and shorter growing seasons in these regions. When these varieties are grown in plains areas, they tend to have decreased grain quality with the increase of chalkiness and cracking due to high temperature during grain filling stage, which can negatively affect the appearance, cooking, and eating qualities of the rice [22-24]. Grain filling stage in rice is largely dependent on the heading date, which can be influenced by various factors, including the rice variety, temperature, day length, and transplanting date. Previous studies have shown that the growth and development of rice can be influenced by transplanting date [25-27].
This study was conducted to investigate the variations of growth and grain quality according to the transplanting date using early maturing rice varieties in plain area and to use it as data for producing rice with a higher milled rice yield and better quality.

2. Materials and Methods

2.1. Experimental Site and Rice Varieties

This study was conducted in 2019 and 2020 at the rice research field of the Chungcheongnamdo Agricultural Research and Extension Services (CNARES) located in Yesan, Chungcheongnamdo, South Korea (36°44´N, 126°49´E). The organic matter content of soil was 20.3 g kg-1, alkaline dissolved nitrogen was 147.2 mg kg-1, available phosphorus was 43.6 mg kg-1, available potassium was 0.31 cmol+ kg-1, and pH was 6.2. For this study, Jinbuol and Yeoreumi, which are early maturing rice varieties with different agronomic and grain quality traits, were used.

2.2. Meteorological Data

To investigate the meteorological conditions during the rice cultivation period in Yesan, South Korea, weather data spanning from 2011 to 2020 sourced from the official website of the Korea Meteorological Administration (https://www.weather.go.kr) were utilized. Meteorological data from 2009 and 2020, corresponding to the rice growing season, were used to analyze the relationship between temperature and rice growth and grain quality.

2.3. Cultivation Methods

In order to prevent diseases transmitted by seeds such as Bakanae disease, seeds were soaked in cold water at 15 ℃ for 2 days and then treated with a seed disinfectant consisting of Tebuconazole (12.5 %) + Prochloraz copper chloride (12.5 %) [28]. Disinfected seeds were sown in a nursery box, grown in a greenhouse for 3 weeks after sowing and then transplanted manually seven times at 15-day intervals from April 16 to July 16. A total of 4-5 seedlings were planted per hill, with the spacing of 12 cm between plants and 30 cm between rows. A split plot design with three replications was employed with the transplanting date as the main plot, and cultivars as the subplots. The size of each plot was 13.5 m2 (5 m long, 2.7 m wide, and 9 rows with a 30 cm row spacing). After transplanting, the field was flooded immediately and maintained at a depth of 3–5 cm until 30 days after heading, and then dried for harvest. Harvest was conducted when an accumulated temperature reach to 1,000℃ after heading. Chemical pesticides to control pests and diseases were applied only once immediately after transplanting, and fertilizer (N-P2O5-K2O) was used as a base fertilizer at the level of 90-45-57 kg/ha.

2.4. Traits Evaluation

2.4.1. Agronomic Traits

Days to heading (DTH) were evaluated as the number of days from transplanting to 50% of the panicle were heading. For panicle length (PL) and panicle number per hill (PNH), 10 randomly selected plants from each plot were investigated at maturity stage; Panicle length was measured in centimeters from panicle neck to the panicle tip and panicle number was calculated as the panicle number hill-1 (PNM) and panicle number m-2 (PNM). For spikelet number panicle-1 (SNP) and ripened grain rate (RGR), 3 randomly selected plants from each plot were harvest at maturity and plants were manually threshed to separate the grains from straws. Spikelet (filled and unfilled grains) number panicle-1 were manually counted as the spikelet number panicle-1. The threshed grain samples were air-dried and then submerged in water to distinguish the filled and unfilled spikelets, and then the ripened grain rate was estimated; the number of filled grains panicle-1 divided by the total number of spikelet (filled and unfilled grains) panicle-1. For milled rice yield (MRY), 50 plants from each plot were harvested when the accumulated mean temperature reached 1,100℃ after heading. After harvesting, rice grains were threshed, air-dried, and weighed. Additionally, 500 g of rough rice was de-hulled and then each brown rice sample was milled to 92% milling yield by a milling machine (MC-90A, Toyo), and then the milled samples were stored in a refrigerator (15℃) to prevent change of quality. One thousand grain weight (TGW) was evaluated by measuring the weight of 1,000 randomly-selected brown rice grains; it was performed in triplicate and the values were averaged. Milled rice yield and 1000-grain weight were corrected for the 15 % grain moisture contents. Head rice yield (HRY) was estimated using the following equation: HRY = [(MRY × HR) / 100

2.4.2. Grain Quality Traits

Head rice rate (HR; unbroken and broken translucent grains with at least 3/4 of a whole grain), chalky rice rate (CR; grains with an opaque and chalky appearance covering at least half of the body of the grain), and the broken rice (BR) and defected rice (DR) were calculated with a grain inspector (Cervitec, Foss) using a sample of approximately 1,000 grains. Protein content (PC) of milled rice was measured with a grain analyzer (Infratec 1241, Foss) using 100g milled rice samples.

2.5. Statistical Analysis

Statistical analyses, including t-test, analysis of variance (ANOVA), correlation analysis, and regression analysis were performed using SPSS software (Ver. 20.0.0). Phenotypic means of each trait were compared using Duncan’s multiple range test. Microsoft Excel 2019 was used to organize the data and to generate tables and figures.

3. Results

3.1. Meteorological Conditions during Rice Cultivation Period.

Meteorological date during the rice cultivation period was collected, and the minimum, maximum, and average temperature data for the recent 10 years (2011-2020) are shown in Figure 1. The diurnal temperature range (maximum temperature - minimum temperature) showed a similar level from early April to mid-June, decreased slightly until early August, and then gradually increased. The mean temperature maintained above 15℃ from early May, and then dropped below 15℃ after mid-October. Additionally, the minimum temperature reached 15℃ or higher in mid-June.
Characteristics related to heading date according to the transplanting date was investigated and then summarized in Table 1. Two varieties showed a significant difference in heading date, and compared to Yeoreumi, heading date of Jinbuol was 11 days earlier and harvesting date was 14 days faster. As the transplanting date was delayed, heading date tended to be continuously delayed in both varieties. The accumulated temperature from transplanting to heading date showed a tendency to continuously decrease in both varieties as the transplanting date was delayed. The highest accumulated temperatures of Jinbuol and Yeorumi were observed at 1,358℃ and 1,588℃ when transplanted on April 16, respectively, and the lowest were 851℃ and 1,110℃ on July 16, respectively. The heading date of Jinbuol transplanted on June 1st and Yeoreumi on May 16th was the same as July 17th, and the mean temperature during grain filling stage was the highest at 25.4℃.

3.2. Growing Period According to the Transplanting Date

As the transplanting date was delayed, the number of days from transplanting to harvesting continued to decrease (Figure 2). On July 16, DTH of Jinbuol and Yeoreumi showed the shortest period of 34 days and 44 days, respectively. DHH tended to increase as the transplanting date was delayed, and DTG was 84-121 days for Jinbuol, and 102-130 days for Yeoreumi. DTG of two varieties showed the similar trend according to the transplanting date showing continuouse decrease from April 16 to July 1, and then increase on July 16.
Correlation analysis was conducted to find out the relationship between the number of days from transplantation to heading and the mean temperature from transplanting to heading, and it showed a highly significant correlation in both varieties. In addition, a linear regression analysis was conducted to predict the number of days from transplanting to heading using the mean temperature from transplanting to heading as an explanatory variable, and it is summarized in Figure 3. The results of the regression showed that the number of days from transplanting to heading can be estimated efficiently using the mean temperature from transplanting to heading. In addition, the regression equation showed that a 1℃ increase in mean temperature would result in a reduction of 5.3 days for Jinbuol and 5.5 days for Yeoreumi in the number of days from transplanting to heading.

3.3. Agronomic Traits According to the Transplanting Date

Culm and panicle-related traits according to the transplanting date were investigated and then summarized in Table 2. Two varieties showed significant differences in culm and panicle-related traits, and compared to Jinbuolbyeo, culm length of Yeoreumi was 14.3 cm longer, panicle length was 1.8 cm longer, and panicle number hill-1 was 3.2 lower. According to the transplanting date, there were statistical differences in culm and panicle-related traits for both varieties. As the transplanting date was delayed, culm length increased until June 16 and then decreased, and Jinbuol and Yeorumi showed the highest values ​​of 63.4 cm and 81.5cm on June 15th, respectively. Panicle length hill-1 of Jinbuol increased until June 1st, and then decreased continuously. However, panicle length of Yeoreumi tended to increase continuously as the transplanting date was delayed and the longest panicle length was observed at 19cm on July 16. On May 1, panicle number m-2 of ​​Jinbuol and Yeoreumi were the highest at 517 m-2 and 431 m-2, respectively, but on July 16, they were the lowest at 470 and 384, respectively.
Data on grain-related traits according to the transplanting date are summarized in Table 3. Compared to Jinbuol, Yeoreumi showed higher spikelet number panicle–1 and spikelet number m–2 by 32.9 and 10,732, respectively, and ripened grain was 1.9% higher, while 1,000 grain weight was 4.3 lighter. Grain-related traits showed a statistical difference according to the transplanting date. As the transplanting date was delayed, spikelet number panicle–1 and spikelet number m–2 decreased in both varieties. The highest spikelet number m–2 was 24,069 on April 16 for Jinbuol and 32,738 on May 1 for Yeoreumi. There was no difference in ripened grain rate according to the transplanting date.
The milled and head rice yields of two rice varieties, according to the transplanting date, are presented in Figure 3. Both varieties exhibited a tendency for milled rice yield to continuously decrease as the transplanting date was delayed, with significant reductions observed from July 1. The highest milled rice yields were obtained on May 1, with 491 kg/10a for Jinbuol and 534 kg/10a for Yeoreumi. The lowest yields were 352 kg/10a and 426 kg/10a for Jinbuol and Yeoreumi, respectively, on July 16. Furthermore, head rice yield exhibited a similar trend to milled rice yield, with continuous decreases as the transplanting date was delayed. The highest head rice yields for both varieties were observed on April 16 and May 1, and no significant differences in yield were observed between May 16 and July 1. The lowest head rice yields were observed on July 16 in both varieties. Although Yeoreumi's milled rice yield was lower when transplanted on June 16 than on June 1, its head rice yield remained similar.
Figure 3. Milled and head rice yield according to the transplanting date for (a) Jinbuol and (b) Yeoreumi. Numbers followed by the same letter are not significantly different based on Duncan’s multiple range at P < 0.05.
Figure 3. Milled and head rice yield according to the transplanting date for (a) Jinbuol and (b) Yeoreumi. Numbers followed by the same letter are not significantly different based on Duncan’s multiple range at P < 0.05.
Preprints 69310 g004aPreprints 69310 g004b
Correlation analysis was conducted to investigate the relationship between agronomic traits, and the results showed that most of the traits were significantly correlated with each other, as shown in Table 5. DTH was found to be positively correlated with CL, PL, PN, SNP, SNM, and MRY, but negatively correlated with PRG in both varieties. Moreover, MRY was found to be positively correlated with all traits except PRG, and significantly correlated with SNM (r = 0.963** for Jinbuol and 0.909** for Yeoreumi). In Yeoreumi, the highest positive correlation was observed between CL and SNM (r = 0.950**), while the highest negative correlation was observed between SNP and PRG (r = -0.663**). On the other hand, in Jinbuol, the highest positive correlation was observed between SNP and SNM (r = 0.972**), while the highest negative correlation was observed between TGW and PRG (r = -0.802**).

3.4. Grain Quality Traits and Mean Temperature

Grain quality traits of the two rice varieties according to the transplanting date were summarized in Table 6. There were significant differences between Jinbuol and Yeoreumi in appearance traits and protein content. Compared to Jinbuol, Yeoreumi showed 8.5% more in head rice rate and 0.7% lower in protein content. The head rice rate for Jinbuol was the highest at 90.3% on July 16 and the lowest at 74.6% on June 16. Those of Yeoreumi had the highest head rice ratio of 95.3% on July 16th and the lowest of 84.9% on May 16th. The protein content of the two varieties showed a tendency to continuously increase as the transplanting date was delayed, and on July 16, Jinbuol and Yeoreumi showed the highest values at 8.7% and 8.0%, respectively.
Correlation analysis was conducted to find out the relationship between the mean temperature during ripening stage and the head rice rate (Figure 5). As a results, a highly significant correlation was shown in both varieties. In addtion, a linear regression analysis was conducted to predict the head rice rate using the mean temperature during ripening stage as an explanatory variable. Regression equation in this study show that the head rice rate can be estimated efficiently using the mean temperature during ripening stage. If the mean temperature rises by 1℃, the head rice rate droped to 4.10% for Jinbuol and 1.68 % for Yeoreumi suggesting that head rice rate for Jinbuol was more sensitive to mean temperature.

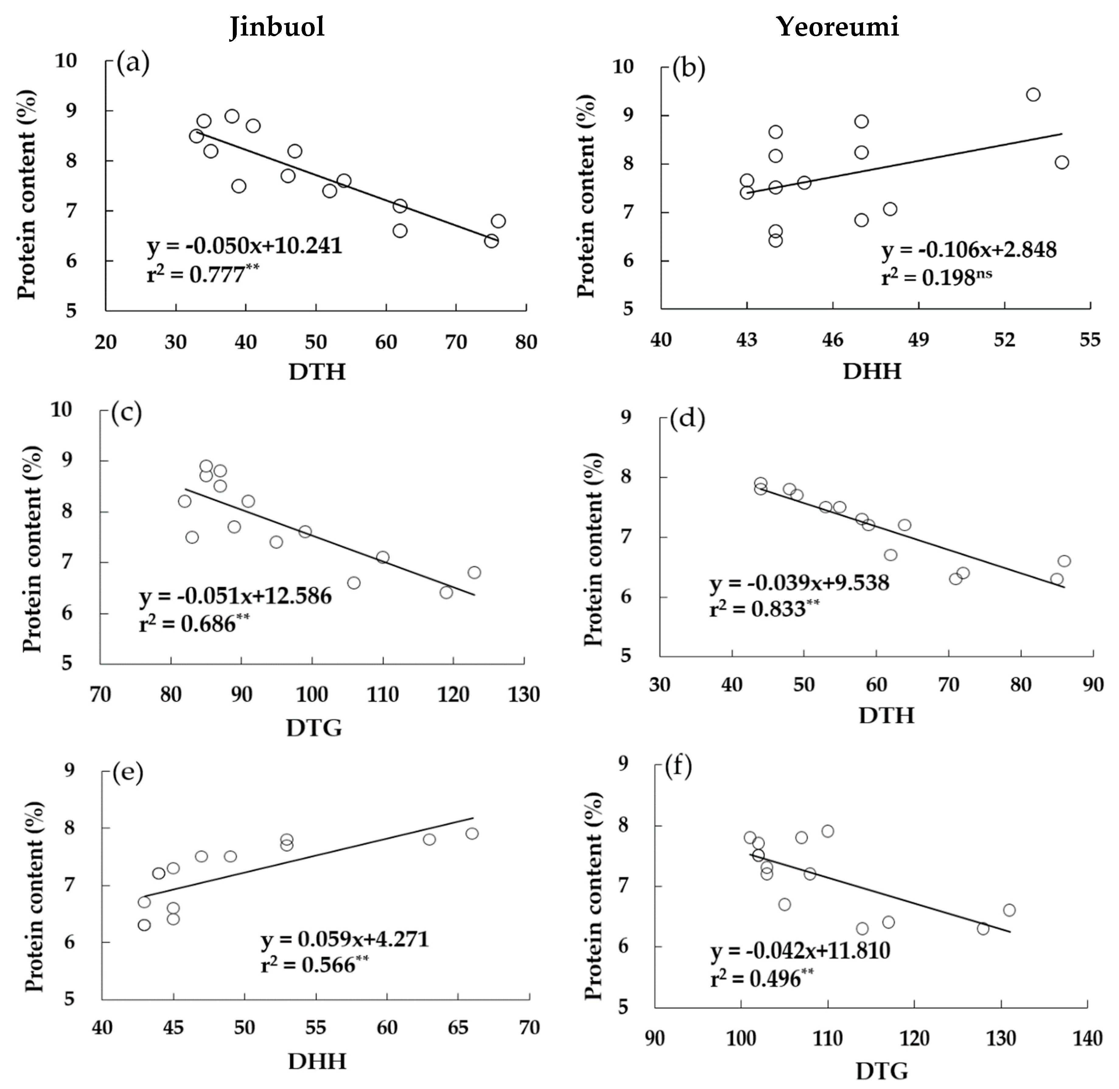
3.5. Relationship between Protein Content and Growing Period

In order to identify the cause of the continuous increase in protein content of milled rice grains as the transplanting date was delayed, rice growth period was divided into three periods (DTH: days from transplanting to heading, DHH: days from heading to harvest, and DTG: days of total growth period). Then, correlation analysis between three periods and protein content was performed, respectively and shown in Figure 6. It appears that there is a negative correlation between DTH and the protein content of the milled rice grains for both varieties. The correlation between protein and DTH is higher than DHH or DTG, and indicates that as the DTH period becomes longer, the protein content decreases.

4. Discussion

Agronomic and grain quality traits of rice are generally influenced by environmental conditions [12, 13, 22-24]. Therefore, it is important to identify the variation of those traits according to the transplanting date and to develop cultivation methods that can improve yield and quality in response to climate change. This study aimed to investigate the influence of the transplanting date on the agronomic and grain quality traits of two commercial early maturing rice varieties with different characteristics, to understand the effects of environmental conditions, and to provide insights into the best cultivation practices to achieve optimal results

4.1. Agronomic Traits and Productivity

As the transplanting date was delayed, the heading and harvesting dates were continuously delayed. Additionally, as the mean temperature from transplanting to heading increased by 1℃, the number of days from transplanting to heading decreased by approximately 3.5 days in both rice varieties. This phenomenon can be attributed to the meteorological environment in Korea, where the average temperature continuously rises from April and gradually decreases from early August. Temperature is a critical factor in rice growth and development, as high temperatures can accelerate growth and maturation, while low temperatures can delay growth [29-31]. Therefore, early transplanting in this study showed a longer growth period due to the low temperature compared to late transplanting.
The productivity of rice is determined by yield components such as panicle number, spikelet number, ripened grain rate, and 1000-grain weight [32]. In this study, significant differences were observed in agricultural traits, including yield components, according to the transplanting date, and almost all traits showed significant correlations, indicating that they were interdependent and affected by environmental factors (Figure 5). In particular, the milled rice yield was highly correlated with the spikelet number m-2 (r = 0.963** for Jinbuol and r = 0.909** for Yeoreumi), which is the representative trait of sink size. Previous studies showed that the number of spikelets per unit area was the primary factor that determines productivity and can explain about 80% or more of the variation [33-36]. However, the spikelet number has a certain critical point representing the maximum yield, and beyond that, the yield does not result in further increase (Son et al. 1989) because the spikelet number per unit area and the ripened grain rate are complementary to each other [37]. These previous results support that the ripened grain rate was negatively correlated with milled rice yield and spikelet number in this study. Additionally, the spikelet number m-2 significantly decreased as the transplanting date was delayed, and the panicle number m-2 also decreased as well since the number of days from transplanting to heading is shorter. This means that the decreased panicle number m-2 affected the spikelet number m-2 and could result in lower yield. These findings suggest that early transplanting is advantageous to increase the yield of early maturing rice.

4.2. Rice Appearance Traits

Environmental factors, particularly mean temperature during the grain filling stage, can have a significant impact on the grain quality of rice. The grain filling stage is the period during which the rice grain is developing and filling with starch, and the mean temperature during this stage can affect physicochemical property, starch structure, and appearance traits of rice grain [12,13]. In this study, there were significant differences in the head and chalky rice rates between the two rice varieties, and these rates varied depending on the transplanting date since differences in the transplanting date can result in differences in temperature and sunlight exposure, which can affect the growth and development of rice plants.
The head rice rate was different depending on the transplanting date, as environmental conditions such as temperature and sunlight exposure can vary depending on when the rice is transplanted. Additionally, genetic differences between rice varieties can also play a role in determining head rice rate [38-42], so two rice varieties showed different head rice rates even though they had the same heading date of July 17 showing the 74.6% for Jinbuol transplanted on July 1 and 84.9% for Yeoreumi transplanted on May 16. In order to identify the variation, correlation analysis was performed between mean temperature during grain filling stage and the appearance traits. There was a significant correlation between head rice rate and mean temperature during the grain filling stage suggesting that temperature during this stage may have a significant impact on the final appearance and quality of the rice grains, including head rice rate. Higher temperatures during the grain filling stage may have a negative impact on head rice rate by increasing the likelihood of chalky areas developing in the rice grains. Conversely, lower temperatures may be more favorable for the development of intact, whole rice grains with high head rice rates [8-10].
In addition, the study found that it is possible to estimate the head rice rate based on mean temperature during the grain filling stage and showed that temperature is a key factor influencing head rice rate [8-13]. Therefore, it may be possible to increase head rice rate by controlling temperature during the grain filling stage. If the mean temperature rises by 1℃, the head rice rate dropped to 4.10% for Jinbuol and 1.68 % for Yeoreumi suggesting that Jinbuol is more sensitive to mean temperature.
According to Table 1, mean temperature during grain filling stage was the highest on July 17, and mean temperature during grain filling stage and the head rice rate are significantly correlated in this study. This means that if rice is headed on July 17, the head rice rate might be lower compared to other dates, so changing the transplanting date to avoid high temperatures during the grain filling stage may be a potential strategy to improve rice appearance traits, including head rice rate.

4.3. Rice Protein Content

In general, protein content was negatively correlated with eating quality [9,15,43] because rice with higher protein content had lower adhesiveness, glossiness, taste, and stickiness of cooked rice than rice with lower protein content [14,44,]. The results of the study indicate that the protein content of rice can be significantly influenced by the transplanting date, even when the same level of fertilizer is applied. Specifically, the study found that as the transplanting date was delayed, the protein content of both Jinbuol and Yeoreumi varieties continued to increase. In particular, the highest protein content values were observed when the two varieties were transplanted on July 16, with Jinbuol having a protein content of 8.7% and Yeoreumi having a protein content of 7.9%. This suggests that delaying the transplanting date may lead to higher protein content in rice, at least for these two varieties.
In order to understand the relationship between the protein content and the three kinds of periods (DTH, DHH, and DTG), correlation analyse was performed and suggested that DTH has a stronger correlation with protein content than DHH and DTG. Specifically, the analysis showed that DTH had a higher correlation coefficient (r2 = 0.802**) with protein content, indicating that as DTH increased, protein content tended to decrease.
Previous studies showed the same trends indicating that protein content increased as the transplanting date was delayed [27,45,46], and early maturing rice varieties showed higher protein content than mid-late maturing rice varieties even when transplanted on the same date and with the same level of fertilizer applied [47], suggesting that rice with higher protein content has a shorter vegetative period.
Nitrogen is a crucial nutrient for plant growth and development as it is a key component of many important biomolecules such as amino acids, nucleic acids, chlorophyll, enzymes, and hormones. Nitrogen is required for various plant processes including tillering and leaf area development, grain formation, grain filling, and protein synthesis, and is essential for protein synthesis in rice plants, and applying nitrogen fertilizers can increase the protein content of rice grains. In order to identify the relationship between protein content and DTH, the EBV (estimated biomass value) was calculated by multiplying the panicle number and plant height (culm length + panicle length) since these two traits are determined before heading date. Therefore, the EBV increases as the plant height and the panicle number increase, and it can be expected that the higher the biomass value, the higher the EBV.
[Estimated biomass value (EBV) = Plant height × Pancle number]
There was a negative correlation between the estimated biomass value (EBV) and protein content (Figure 7). This suggests that when the days to heading (DTH) are shortened, the vegetative period is also reduced, resulting in less plant growth. When there is less growth due to shorten DTH, the amount of nitrogen remaining in the soil may be transferred to the rice grains, which can lead to higher protein content.
Previous studies have shown that the total amount of nitrogen absorbed throughout the rice growing period is a major factor influencing yield, and that most nitrogen absorption is completed at heading date [48-50]. There is a significant correlation between the amount of nitrogen uptake until heading date and the spikelet number [51-52]. Additionally, there is a significant correlation between the amount of nitrogen uptake until heading date and the number of spikelets, which can influence biomass and milled rice yield [53-55]. Thus, if the vegetative growth period is longer and the EBV is higher under the same nitrogen fertilizer conditions, the amount of nitrogen transferred to rice grains may be reduced, potentially leading to lower protein content and better quality rice.

4.4. Transplanting Date Suitable for Early Maturing Rice Variety

As a result of this study, it is recommended to avoid heading dates of early maturing rice varieties on July 17, which is the period with the highest mean temperature during the grain filling stage in Chungnam Province, South Korea. This can help to improve the appearance traits of the rice. Furthermore, early transplanting is beneficial for increasing milled rice yield and improving taste, and can increase the DTH (days from transplanting to heading) which is positively correlated with these traits. Therefore, it is recommended to transplant early maturing rice varieties in early May, as this can result in heading before July 17 and lead to higher yield and better grain quality.

5. Conclusions

In this study, the number of days from transplanting to heading has an impact on the protein content and milled rice yield. Longer growth periods were found to result in lower protein content and increased yield. In addition, the mean temperature during the grain filling stage affects the appearance traits of rice including head rice and chalky rice because grain filling is the stage of rice development that determines the final yield and quality. Therefore, early maturing rice varieties should be transplanted in Chungnam province in early May to improve the yield and grain quality, as the number of DTH was increased and the temperature during the grain filling stage was lowered in early transplanting date. This information will be useful for farmers and rice breeders who seek to improve the yields and the quality of rice using early maturing rice varieties in response to climate change.

Author Contributions

Y. Yun designed the experiments and wrote the manuscript. G. Kim performed grain quality analysis, G. Cho and T. Yun investigated agronomic traits. All authors contributed to the article and approved the submitted version. All authors have read and agreed to the published version of the manuscript.

Funding

This study was carried out with the support of the Chungcheongnamdo Agricultural Research and Extension Services, South Korea (Projuct No. LP0042352020) and Rural deveopment Administrion, South Korea (Projuct No. PJ0158202022)

Data Availability Statement

The data presented in this study is available on request from the corresponding author.

Acknowledgments

The author is thankful to Kiwoo Han, Kun Kim, Hyekyun Kim, Jongmi Park, Misook Lee, Eunmi Lee, Jeongsook Jeon, and Heesook Lim for technical support with field transplanting, maintenance, and harvest.

Conflicts of Interest

The authors declare no conflict of interest.

References

  1. Cha, H.M.; Han, G.S.; Chung, H.J. A study on the trend analysis regarding the rice consumption of Korean adults using Korean National Health and Nutrition Examination Survey data from 1998, 2001 and 2005. Nutrition Research and Practice 2012, 6, 254–262. [Google Scholar] [CrossRef] [PubMed]
  2. Jung, J.M.; Kim, E.C.; Venkatanagappa, S.; Lee, J.S. Review of Rice: Production, Trade, Consumption, and Future Demand in Korea and Worldwide. Korean J. Crop Sci. 2017, 62, 157–165. [Google Scholar] [CrossRef]
  3. Ministry of Agriculture, Food and Rural Affairs (MAFRA). Available online: https://www.mafra.go.kr (accessed on 27 February 2023).
  4. Hao, W.; Zhu, M.Z.; Gao, J.P.; Sun, S.Y.; Lin, H.X. Identification of quantitative trait loci for rice quality in a population of chromosome segment substitution lines. J. Integr. Plant Biol. 2009, 51, 500–512. [Google Scholar] [CrossRef] [PubMed]
  5. Lee, J.H.; Cho, J.H.; Kim, S.Y.; Lee, J.Y.; Kim, C.S.; Yeo, U.S.; Song, Y.C.; Shon, Y.B.; Oh, M.K.; Kang, H.W.; et al. Correlation analysis between head rice ratio and agronomic traits in RILs for developing a promising rice cultivar adaptable to the early-transplanting cultivation. Korean J. Crop Sci. 2012, 57, 1–6. [Google Scholar] [CrossRef]
  6. Oh, S.K. Development of rice varieties for processing and trend of food industry. Food industry and nutrition 2016, 21, 8–14. [Google Scholar]
  7. Guo, T.; Liu, X.L.; Wan, X.; Weng, J.; Liu, S.; Liu, X.; Chen, M.; Li, J.; Su, N.; Wu, F.; et al. Identification of a stable quantitative trait locus for percentage grains with white chalkiness in rice (Oryza sativa L.). J. Intergr. Plant Biol. 2011, 53, 598–607. [Google Scholar] [CrossRef] [PubMed]
  8. Kobayashi, A.; Tomita, K.; Yu, F.; Takeuchi, Y.; Yano, M. Verification of quantitative trait locus for stickiness of cooked rice and amylose content by developing near-isogenic lines. Breeding Sci. 2008, 58, 25–242. [Google Scholar] [CrossRef]
  9. Kwon, S.W.; Cho, Y.C.; Lee, J.H.; Kim, J.J.; Kim, M.K.; Choi, I.S.; Hwang, H.G.; Koh, H.J.; Kim, Y.G. Identification of quantitative trait loci associated with rice eating quality traits using a population of recombinant inbred lines derived from a cross between two temperate japonica cultivars. Mol cells 2011, 31, 437–445. [Google Scholar] [CrossRef] [PubMed]
  10. Nagata, K.; Takita, T.; Yoshinaga, S.; Terashima, K.; Fukuda., A. Effect of air temperature during the early grain-filling stage on grain fissuring in rice. Japan J Crop Sci 2004, 73, 336–342. [Google Scholar] [CrossRef]
  11. Nishimura, M.; Yamauchi, F.; Ohuchi, K.; Hamamura, K. Evaluation of the eating quality of recent rice varieties and lines in Hokkaido- The relation between organoleptic and physicochemical qualities of milled rice harvested in an extremely col year and a very hot year during the summer. Res. Bull. Hokkaido Natl. Agric. Exp. Stn. 1985, 144, 77–89. [Google Scholar]
  12. Jin, Z.X.; Qian, C.R.; Yang, J.; Liu, H.Y.; Jin, X.Y. Effect of temperature at grain filling stage on activities of key enzymes related to starch synthesis and grain quality of rice. Rice Sci. 2005, 12, 261–266. [Google Scholar]
  13. Aboubacar, A.; Moldenhauer., K.; McClung, A.M.; Beighley, D.H.; Hamaker, B.R. Effect of growth location in the United States on amylose content, amylopectin fine structure, and thermal properties of starches of long grain rice cultivars. Cereal Chem 2006, 83, 93–98. [Google Scholar] [CrossRef]
  14. Takeuchi, Y.; Nonoue, Y.; Ebitani, T.; Suzuki, K.; Aoki, N.; Sato, H.; Ideta, O.; Hirabayashi, H.; Hirayama, M.; Ohta, H. QTL detection for eating quality including glossiness, stickiness, taste and hardness of cooked rice. Breeding Sci. 2007, 57, 231–242. [Google Scholar] [CrossRef]
  15. Wada, T.; Ogata, T.; Tsubone, M.; Uchimura, Y.; Matsue, Y. Mapping of QTLs for eating quality and physicochemical properties of the japonica rice ‘Koshihikari’. Breeding Sci. 2008, 58, 427–435. [Google Scholar] [CrossRef]
  16. Chanton, J.P.; Whiting, G.J.; Blair, N.E.; Lindau, C.W.; Bollich, P.K. Methane emission from rice: Stable isotopes, diurnal variations, and CO2 exchange. Global Biogeochemical Cycles. 1997, 11, 15–27. [Google Scholar] [CrossRef]
  17. Cho, H.S.; Seo, M.C.; Kim, J.H.; Sang, W.G.; Shin, P.; Lee, G.H. Effect of Soil Texture and Tillage Method on Rice Yield and Methane Emission during Rice Cultivation in Paddy Soil. Korean J. Soil. Sci. Fert. 2016, 49, 564–571. [Google Scholar] [CrossRef]
  18. Cho, S.R.; Verma, P.P.; Das, S.; Kim, G.W.; Lim, J.Y.; Kim, P.J. A new approach to suppress methane emissions from rice cropping systems using ethephon. Sci. total Environment 2022, 804, 150–159. [Google Scholar] [CrossRef] [PubMed]
  19. Datta, A.; Santra, S.C.; Adhya, T.K. Effect of inorganic fertilizers (N, P, K) on methane emission from tropical rice field of India. Atmospheric Environment 2013, 66, 123–130. [Google Scholar] [CrossRef]
  20. Gutierrez, J.; Kim, S.Y.; Kim, P.J. Effect of rice cultivar on CH4 emissions and productivity in Korean paddy soil. Field Crops Research 2013, 146, 16–24. [Google Scholar] [CrossRef]
  21. Yun, Y.T.; Chung, C.T.; Kim, G.C.; Yun, T.S. ‘Bbareumi,’ An Extremely Early-Maturing Rice Cultivar Adaptable for Early Transplanting in the Chungnam Plain Area. Korean J Breed Sci. 2022, 54, 238–243. [Google Scholar] [CrossRef]
  22. Cho, S.W.; Jeong, J.U.; Kang, K.H.; Kim, H.S.; Kim, B.K. Evaluation on Early-maturing Korean Japonica Cultivars for High-temperature Tolerance during Grain Filling Stage. Korean J Crop Sci. 2015, 60, 146–152. [Google Scholar] [CrossRef]
  23. Choung, J.I.; Kim, K.Y.; Choi, Y.H.; Ko, J.C.; Oh, M.K.; Hong, H.C.; Lee, S.Y.; Lee, M.C. Analysis of chemical and eating quality character of the early rice variety at cultured in the southern plain area. Korean J. Intl. Agri. 2004, 16, 345–349. [Google Scholar]
  24. Yang, W.H.; Choi, K.J.; Shon, J.Y.; Kang, S.G.; Shin, S.H.; Shim, K.B.; Kim, J.H.; Jung, H.Y.; Jang, J.H.; Jung, J.S.; et al. Effects of temperature and sunshine hours during grain filling stage on the quality-related traits of high quality rice varieties in Korea. Korean J Crop Sci. 2015, 60, 273–281. [Google Scholar] [CrossRef]
  25. Kim, C.S.; Lee, J.H.; Kwak, D.Y.; Jeon, M.G.; Kang, J.R.; Yeo, U.S.; Shin, M.S.; Oh, B.G. Changes of Milling Quality of Rice Varieties According to the Transplanting Time and Good Resources with High Milling Quality in Yeongnam Plain Paddy. Korean J Crop Sci. 2008, 53, 1–8. [Google Scholar]
  26. Lee, J.H.; Park, D.S.; Kwak, D.Y.; Yeo, U.S.; Song, Y.C.; Kim, C.S.; Jeon, M.G.; Oh, B.G.; Shin, M.S.; Kim, J.K. Yield and grain quality of early maturing rice cultivars as affected by early transplanting in Yeongnam plain area. Korean J. Crop Sci. 2008, 53, 326–332. [Google Scholar]
  27. Yun, Y.T.; Chung, C.T.; Lee, Y.J.; Na, H.J.; Lee, J.C.; Lee, D.H.; Lee, K.W.; Kang, J.W.; Ahn, S.N. Variation of yield and quality in early maturing rice cultivars by transplanting date in Chungnam plain area in Korea. Plant Breed Biotech. 2015, 3, 47–57. [Google Scholar] [CrossRef]
  28. Yun, Y.T.; Chung, C.T.; Kim, G.C.; Kim, B.R. Improving Efficiency and Effectiveness of Disinfection by Soaking Seeds before Rice Seed Disinfection. Korean J. Crop Sci. 2022, 67, 137–146. [Google Scholar] [CrossRef]
  29. Cruz, R.P.D.; Milach, S.C.K.; Federizzi, L.C. Inheritance of rice cold tolerance at the germination stage. Genetics and Molecular Biology 2006, 29, 314–320. [Google Scholar] [CrossRef]
  30. Shimono, H.; Hasegawa, T.; Iwama, K. Response of growth and grain yield in paddy rice to cool water at different growth stages. Field Crops Res. 2002, 73, 67–79. [Google Scholar] [CrossRef]
  31. Ye, C.; Fukai, S.; Godwin, I.; Reinke, R.; Snell, P.; Schiller, J.; Basnayake, J. Cold tolerance in rice varieties at different growth stages. Crop Pasture Sci. 2009, 60, 328–33. [Google Scholar] [CrossRef]
  32. Inaba, K.; Kitano, M. Effect of number of seedlings per hill on rice tillering. Japanese J. Crop Sci. 2005, 74, 141–148. [Google Scholar] [CrossRef]
  33. Abookheili, F.A.; Mobasser, H.R. Effect of planting density on growth characteristics and grain yield increase in successive cultivations of two rice cultivars. Agrosyst. Geosci Environ. 2021, 4, e20213. [Google Scholar] [CrossRef]
  34. Meas, V.; Shon, D.; Lee, Y.H. Impacts of Planting Density on Nutrients Uptake by System of Rice Intensification under No-tillage Paddy in Korea. Korean J. Soil Sci. Fert. 2011, 44, 98–103. [Google Scholar] [CrossRef]
  35. Ying, J.F.; Peng, S.B.; He, Q.R.; Yang, H.; Yang, C.; Visperas, R.M. Comparison of high-yield rice in tropical and subtropical environments. I. Determinants of grain and dry matter yields. Field rops Res. 1998, 57, 71–84. [Google Scholar] [CrossRef]
  36. Son, Y.; Park, S.T.; Kim, S.C.; Lee, S.S.; Lee, S.K. Varietal response on different planting densities in rice. Res. Rept. RDA 1989, 34, 1–6. [Google Scholar]
  37. Hayashi, S.; Kamoshita, S.; Yamagishi, J. Effect of planting density on grain yield and water productivity of rice (Oryza sativa L.) Grown in Flooded and Non-flooded Fields in Japan. Plant Production Sci. 2006, 9, 298–311. [Google Scholar] [CrossRef]
  38. Aluko, G.C.; Martinez, J.; Tohme, C.; Castano, C.; Bergman, C.; Oard, J.H. QTL mapping of grain quality traits from the interspecific cross Oryza sativa x O. glaberrima. Theor Appl Genet. 2004, 109, 630–639. [Google Scholar] [CrossRef]
  39. Chen, H.; Zhao, Z.; Jiang, L.; Wan, X.; Liu, L.; Wu, X.; Wan, J. Molecular genetic analysis on percentage of grains with chalkiness in rice (Oryza sativa L.). African J Biotech. 2011, 10, 6891–6903. [Google Scholar] [CrossRef]
  40. Li, Z.F.; Wan, J.M.; Xia, J.F.; Zhai, H.Q. Mapping quantitative trait loci underlying appearance quality of rice grains (Oryza sativa L.). Acta Genet Sin 2003, 30, 251–259. [Google Scholar]
  41. Nelson, J.C.; Mcclung, A.M.; Fjellstrom, R.G.; Moldenhauer, K.A.K.; Boza, E.; Jodari, F.; Oard, J.H.; Linscombe, S.; Scheffler, B.E.; Yeater, K.M. Mapping QTL main and interaction influences on milling quality in elite US rice germplasm. Theor Appl Genet 2011, 122, 291–309. [Google Scholar] [CrossRef]
  42. Tan, Y.F.; Sun, M.; Xing, Y.Z.; Hua, J.P.; Sun, X.L.; Zhang, Q.F.; Corke, H. Mapping quantitative trait loci for milling quality, protein content and color characteristics of rice using a recombinant inbred line population derived from an elite rice. Theor Appl Genet. 2001, 103, 1037–1045. [Google Scholar] [CrossRef]
  43. Juliano, B.O.; Onate, L.U.; Mundo, A.M. Relation of starch composition, protein content, and gelatinization temperature to cooking and eating qualities of milled rice. Food Technol. 1965, 19, 116–121. [Google Scholar]
  44. Yanase, H.; Ohtsubo, K.; Hashimoto, K.; Sato, H.; Teranishi, T. Correlation between protein contents of brown rice and textural parameters of cooked rice and cooking quality of rice. Report of National Food Res. Inst. 1984, 45, 118–122. [Google Scholar]
  45. Seong, D.G.; Kim, Y.G.; Cho, Y.C.; Kim, M.C.; Kim, C.S.; Kim, D.K.; Chung, J.S. The Yield and Quality of Rice for Early Transplanting Cultivation by Cultural Practices in Gyeongnam Plain Area. J. Agri. Life Sci. 2017, 51, 19–27. [Google Scholar] [CrossRef]
  46. Yang, W.H.; Park, J.H.; Choi, J.S.; Kang, S.G.; Kim, S.J. Yield characteristics and related agronomic traits affected by the transplanting date in early maturing varieties of rice in the central plain area of Korea. Korean J Crop Sci. 2019, 64, 165–175. [Google Scholar] [CrossRef]
  47. Heu, M.H.; Lee, C.Y.; Choe, Z.R.; Kim, S.I. Variablility of protein content in rice grown at several different environments Korean. J Crop Sci. 1969, 7, 79–84. [Google Scholar]
  48. Ladha, J.K.; Kirk, G.J.D.; Bennett, J.; Peng, S.; Reddy, C.K.; Reddy, P.M.; Singh, U. Opportunities for increased nitrogen use-efficiency from improved lowland rice germplasm. Field Crops Res. 1998, 56, 41–71. [Google Scholar] [CrossRef]
  49. Peng, S.; Buresh, R.J.; Huang, J.; Yang, J.; Zou, Y.; Zhong, X.; Wang, G. Strategies for overcoming low agronomic nitrogen use efficiency in irrigated rice systems in China. Field crops research 2006, 96, 37–47. [Google Scholar] [CrossRef]
  50. Zhou, C.; Huang, Y.; Jia, B.; Wang, S.; Dou, F.; Samonte, S.O.P.; Chen, K.; Wang, Y. Optimization of Nitrogen Rate and Planting Density for Improving the Grain Yield of Different Rice Genotypes in Northeast China. Agronomy 2019, 9, 555. [Google Scholar] [CrossRef]
  51. Schnier, H.F.; Dingkuhn, M.; Datta, S.K.D.; Marqueses, E.P.; Faronilo, J.E. Nitrogen-15 balance in transplanted and direct-seeded flooded rice as affected by different methods of urea application. Biology and Fertility of Soils 1990, 10, 89–96. [Google Scholar] [CrossRef]
  52. Khan, S.; Anwar, S.; Kuai, J.; Ullah, S.; Fahad, S.; Zhou, G.S. Optimization of nitrogen rate and planting density for improving yield, nitrogen use efficiency, and lodging resistance in oilseed rape. Front. Plant Sci. 2017, 8, 532. [Google Scholar] [CrossRef] [PubMed]
  53. Yoshida, S.; Hara, T. Nitrogen uptake and translocation in rice plants. Proceedings of the International Rice Research Conference 1974, 183–194. [Google Scholar]
  54. Sui, B.; Feng, X.M.; Tian, G.L.; Hu, X.Y.; Shen, Q.R.; Guo, S.W. Optimizing nitrogen supply increases rice yield and nitrogen use efficiency by regulating yield formation factors. Field Crops Res. 2013, 150, 99–107. [Google Scholar] [CrossRef]
  55. Counce, P.A.; Wells, B.R. Rice plant population density effect on early-season nitrogen requirement. J. Prod. Agric. 2013, 3, 390–393. [Google Scholar] [CrossRef]
Figure 1. Mean, maximum, and minimum temperature during rice cultivation period in the average of ten years from 2011 and 2020. Data were obtained from the website of the Korean Meteorological Administration (https://www.weather.go.kr).
Figure 1. Mean, maximum, and minimum temperature during rice cultivation period in the average of ten years from 2011 and 2020. Data were obtained from the website of the Korean Meteorological Administration (https://www.weather.go.kr).
Preprints 69310 g001
Figure 2. Number of days for DTH (days from transplanting to heading), DHH (days from heading to harvesting), and DTG (days of total growth period) according to the transplanting date. Each data point is the mean of 3 replicates for 2 years.
Figure 2. Number of days for DTH (days from transplanting to heading), DHH (days from heading to harvesting), and DTG (days of total growth period) according to the transplanting date. Each data point is the mean of 3 replicates for 2 years.
Preprints 69310 g002
Figure 3. Relationship between DTH and mean temperature from transplanting to heading for (a) Jinbuol and (b) Yeoreumi. Each data point is the mean of 3 replicates every year. DTH; number of days from transplanting to heading. **: Significant at P< 0.01.
Figure 3. Relationship between DTH and mean temperature from transplanting to heading for (a) Jinbuol and (b) Yeoreumi. Each data point is the mean of 3 replicates every year. DTH; number of days from transplanting to heading. **: Significant at P< 0.01.
Preprints 69310 g003
Figure 5. Relationship between the mean temperature during ripening stage and the ratio of head rice for (a) Jinbuol and (b) Yeoreumi. **: Significant at P<0.01.
Figure 5. Relationship between the mean temperature during ripening stage and the ratio of head rice for (a) Jinbuol and (b) Yeoreumi. **: Significant at P<0.01.
Preprints 69310 g005
Figure 6. Relationship between protein content and three different periods of Jinbuol (a, b, c) and Yeoreumi (d, e, f), respectively. DTH, DHH, and DTG indicate days from transplanting to heading, days from heading to harvest, and days of total growth period, respectively. **: Significant at P< 0.05 and ns: not significant.
Figure 6. Relationship between protein content and three different periods of Jinbuol (a, b, c) and Yeoreumi (d, e, f), respectively. DTH, DHH, and DTG indicate days from transplanting to heading, days from heading to harvest, and days of total growth period, respectively. **: Significant at P< 0.05 and ns: not significant.
Preprints 69310 g006
Figure 7. Correlation between DTH and Estimated biomass value (EBV) of (a) Jinbuol and (b) Yeoreumi. **: Significant at P<0.01.
Figure 7. Correlation between DTH and Estimated biomass value (EBV) of (a) Jinbuol and (b) Yeoreumi. **: Significant at P<0.01.
Preprints 69310 g007
Table 1. Characteristics related to heading date according to the transplanting date.
Table 1. Characteristics related to heading date according to the transplanting date.
Variety Transplanting date (m.dd) Heading date
(m.dd)
Accumulated
Temp. (℃)
Harvesting date
(m.dd)
Mean Temp.
(℃)
Jinbuol 4.16 6.29 1,358 8.13 23.9
5.01 7.01 1,204 8.15 24.1
5.16 7.07 1,096 8.19 24.7
6.01 7.17 1,018 8.28 25.3
6.16 7.25 907 9.06 25.2
7.01 8.06 872 9.20 24.1
7.16 8.18 851 10.09 21.7
Yeoreumi 4.17 7.10 1,588 8.21 24.8
5.01 7.11 1,424 8.23 24.9
5.16 7.17 1,322 8.28 25.3
6.01 7.29 1,310 9.10 25.0
6.16 8.08 1,265 9.24 23.9
7.01 8.18 1,188 10.09 21.7
7.16 8.28 1,110 10.30 20.0
Mean Jinbuol 7.19 1,043 9.02 24.1
Yeoreumi 7.30 1,315 9.16 23.7
Difference ** ** ** *
Harvesting date was determined when the accumulated temperature reached 1,100℃. Accumulated temperature; the sum of the mean temperature from transplanting to heading. Mean temperature; the mean temperature for 40 days after heading. *, **: Significant at P<0.05 and P<0.01.
Table 2. Culm and panicle-related traits according to the transplanting date.
Table 2. Culm and panicle-related traits according to the transplanting date.
Variety Transplanting date (m.dd) Culm length
(cm)
Panicle length
(cm)
Panicle number
hill-1
Panicle number
m-2
Jinbuol 4.16 63.4a 17.4a 21.9a 522a
5.01 63.8a 17.4a 21.7a 517a
5.16 63.1a 17.5a 21.6a 515a
6.01 62.7a 17.0ab 20.6b 489b
6.16 62.9a 16.7bc 20.5b 488b
7.01 58.6b 16.2c 20.3b 484b
7.16 56.7c 15.4d 19.8b 470b
Yeoreumi 4.16 75.2a 18.7a 17.9ab 423ab
5.01 75.4a 18.8a 18.1a 431a
5.16 75.1a 18.7a 18.1a 429a
6.01 73.4a 18.6a 18.0a 428a
6.16 73.5a 18.2ab 17.5ab 417ab
7.01 68.1b 17.8b 17.1b 408b
7.16 67.5b 17.6b 16.1c 384c
Mean Jinbuol 61.6 16.8 20.9 498
Yeoreumi 72.6 18.3 17.5 417
Difference ** ** ** **
Numbers followed by the same letter in each column are not significantly different based on Duncan’s multiple range at P < 0.05. *, **: Significant at P<0.05 and P<0.01, respectively, ns: not significant.
Table 3. Grain-related traits according to the transplanting date.
Table 3. Grain-related traits according to the transplanting date.
Variety Transplanting dates (m.dd) Spikelet number panicle-1 Spikelet number m-2 Ripened grain (%) 1000-grain weight (g)
Jinbuol 4.16 46.1a 24,069a 80.5a 24.5a
5.01 45.1ab 23,301a 80.8a 24.6a
5.16 44.6ab 22,899a 81.3a 24.3a
6.01 42.9b 20,983b 81.7a 24.4a
6.16 42.8b 20,880b 80.6a 24.5a
7.01 38.5c 18,233c 82.1a 24.4a
7.16 32.9d 15,514d 82.8a 24.1a
Yeoreumi 4.16 75.7a 32,007a 83.2a 20.2a
5.01 76.1a 32,738a 83.4a 20.3a
5.16 75.8a 32,540a 83.5a 20.1a
6.01 74.8a 32,048a 84.1a 20.0a
6.16 76.5a 31,886a 83.2a 20.1a
7.01 69.2b 28,210b 84.1a 20.1a
7.16 69.0b 26,465c 84.3a 20.0a
Mean Jinbuol 41.8 20,840 81.4 24.4
Yeoreumi 73.9 30,842 83.7 20.1
Difference ** ** ** **
Numbers followed by the same letter in each column are not significantly different based on Duncan’s multiple range at P < 0.05, *, **: Significant at P<0.05 and P<0.01, respectively, ns: not significant.
Table 5. Correlation coefficients of two varieties for DTH and agronomic traits.
Table 5. Correlation coefficients of two varieties for DTH and agronomic traits.
Yeoreumi
Trait DTH CL PL PNH SNP SNM RGR TGW MRY
DTH 1 0.791** 0.835** 0.677** 0.659* 0.697** -0.507ns 0.565* 0.731**
CL 0.689** 1 0.930** 0.890** 0.879** 0.950** -0.552*s 0.528ns 0.909**
PL 0.779** 0.875** 1 0.829** 0.783** 0.870** -0.575* 0.633* 0.912**
PNH 0.816** 0.608* 0.736** 1 0.711** 0.915** -0.347ns 0.555* 0.835**
SNP 0.780** 0.924** 0.940** 0.758** 1 0.927** -0.663** 0.333ns 0.864**
SNM 0.851** 0.889** 0.927** 0.881** 0.972** 1 -0.547* 0.462ns 0.909**
RGR -0.607* -0.769** -0.723** -0.432ns -0.790** -0.725** 1 -0.467ns -0.579*
TGW 0.526ns 0.677** 0.549* 0.350ns 0.650* 0.590* -0.802** 1 0.600*
MRY 0.766** 0.942** 0.938** 0.788** 0.962** 0.963** -0.726** 0.648* 1
Jinbuol
DTH: days from transplanting to heading, CL: culm length, PL: panicle length, PNH: panicle number hill-1, SPP: spikelets number panicle-1, SNPM: spikelets number m-2, RGR: ripened grain rate, TGW: 1,000 grains weight, MRY: milled rice yield. *, **: Significant at P<0.05 and P<0.01, respectively, ns: not significant.
Table 6. Rice grain quality traits according to the transplanting date.
Table 6. Rice grain quality traits according to the transplanting date.
Variety Transplanting date
(mm.dd)
Appearance traits (%) Protein
(%)
Head Chalky Broken Damaged
Jinbuol 4.17 79.2c 17.0b 3.6ab 0.2a 6.6c
5.01 80.1c 15.1bc 4.5a 0.4a 6.8c
5.16 76.2d 20.0a 3.2abc 0.6a 7.5b
6.01 75.4d 21.3a 3.3ab 0.3a 7.9b
6.16 74.6d 21.2a 3.8ab 0.4a 8.1ab
7.01 83.8b 13.1c 2.7bc 0.3a 8.6a
7.16 90.6a 7.5d 1.8c 0.2a 8.7a
Yeoreumi 4.17 88.8b 8.8b 2.0c 0.4a 6.5d
5.01 89.2b 8.1b 2.6bc 0.3a 6.3d
5.16 84.9d 12.3ab 2.8bc 0.3a 6.9c
6.01 86.2cd 10.4a 3.0b 0.4a 7.2b
6.16 87.3bc 8.1b 4.3a 0.3a 7.5b
7.01 94.4a 2.6d 2.8bc 0.2a 7.8a
7.16 95.3a 2.5d 2.0c 0.2a 7.9a
Mean Jinbuol 80.0 16.5 3.3 0.3 7.7
Yeoreumi 89.4 7.5 2.8 0.3 7.2
t-test ** ** * ns **
Numbers followed by the same letter in each column are not significantly different based on Duncan’s multiple range at P < 0.05, *, **: Significant at P<0.05 and P<0.01, respectively, ns: not significant.
Disclaimer/Publisher’s Note: The statements, opinions and data contained in all publications are solely those of the individual author(s) and contributor(s) and not of MDPI and/or the editor(s). MDPI and/or the editor(s) disclaim responsibility for any injury to people or property resulting from any ideas, methods, instructions or products referred to in the content.
Copyright: This open access article is published under a Creative Commons CC BY 4.0 license, which permit the free download, distribution, and reuse, provided that the author and preprint are cited in any reuse.
Prerpints.org logo

Preprints.org is a free preprint server supported by MDPI in Basel, Switzerland.

Subscribe

Disclaimer

Terms of Use

Privacy Policy

Privacy Settings

© 2026 MDPI (Basel, Switzerland) unless otherwise stated