Preprint
Article

This version is not peer-reviewed.

Exploring the Vital Worker Over Time – A Week-Level Study on How Positive and Negative Work Events Contribute to Affect and Sustain Work Engagement

A peer-reviewed article of this preprint also exists.

Submitted:

01 October 2019

Posted:

03 October 2019

You are already at the latest version

Abstract
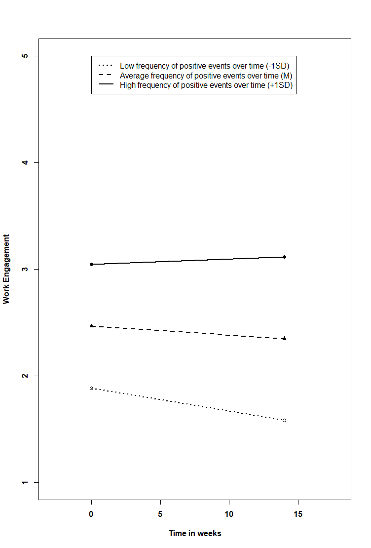
Although work events can be regarded as pivotal elements of organizational life, only a few studies have examined how positive and negative events relate to and combine to affect work engagement over time. Theory suggests that to better understand how current events affect work engagement (WE), we have to account for recent events that have preceded these current events. We present competing theoretical views on how recent and current work events may affect employees (e.g., getting used to a high frequency of negative events or becoming more sensitive to negative events). Although the occurrence of events implies discrete changes in the experience of work, prior research has not considered whether work events actually accumulate to sustained mid-term changes in WE. To address these gaps in the literature, we conducted a week-level longitudinal study across a period of 15 consecutive weeks among 135 employees, which yielded 849 weekly observations. While positive events were associated with higher levels of WE within the same week, negative events were not. Our results support neither satiation nor sensitization processes. However, high frequencies of negative events in the preceding week amplified the beneficial effects of positive events on WE in the current week. Growth curve analyses show that the benefits of positive events accumulate to sustain high levels of WE. WE dissipates in the absence of continuous experience of positive events. Our study adds a temporal component and informs research that has taken a feature-oriented perspective on the dynamic interplay of job demands and resources.
Keywords: 
;  ;  ;  ;  ;  
Subject: 
Social Sciences  -   Psychology
Copyright: This open access article is published under a Creative Commons CC BY 4.0 license, which permit the free download, distribution, and reuse, provided that the author and preprint are cited in any reuse.
Prerpints.org logo

Preprints.org is a free preprint server supported by MDPI in Basel, Switzerland.

Subscribe

Disclaimer

Terms of Use

Privacy Policy

Privacy Settings

© 2026 MDPI (Basel, Switzerland) unless otherwise stated