Preprint
Article

This version is not peer-reviewed.

The Spermine Phosphate-Bound Cyclooctaoxygen Sodium Epigenetic Shell of Euchromatin DNA Is Destroyed by the Epigenetic Poison Glyphosate

A peer-reviewed article of this preprint also exists.

Submitted:

03 December 2017

Posted:

04 December 2017

Read the latest preprint version here

Abstract
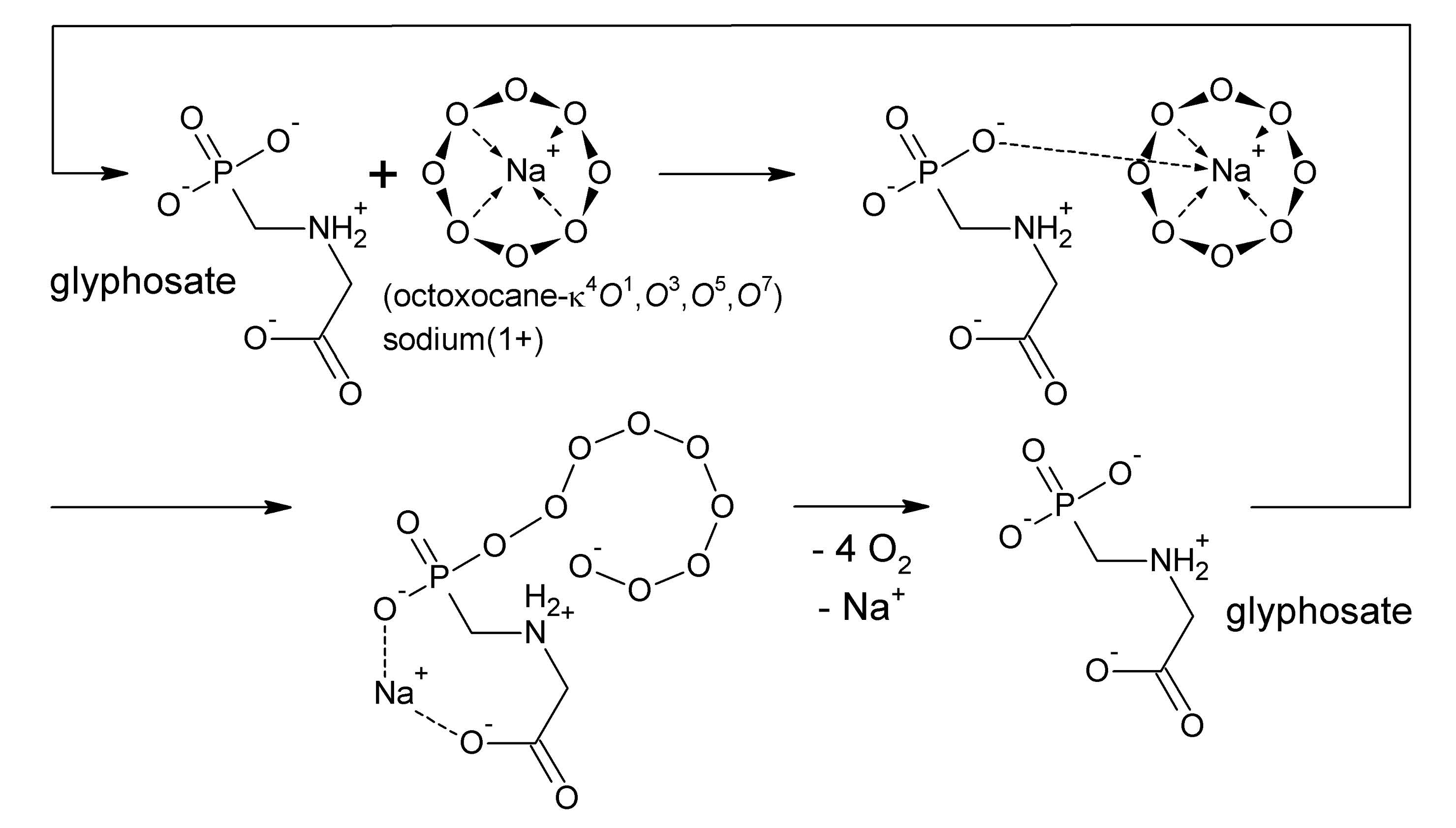
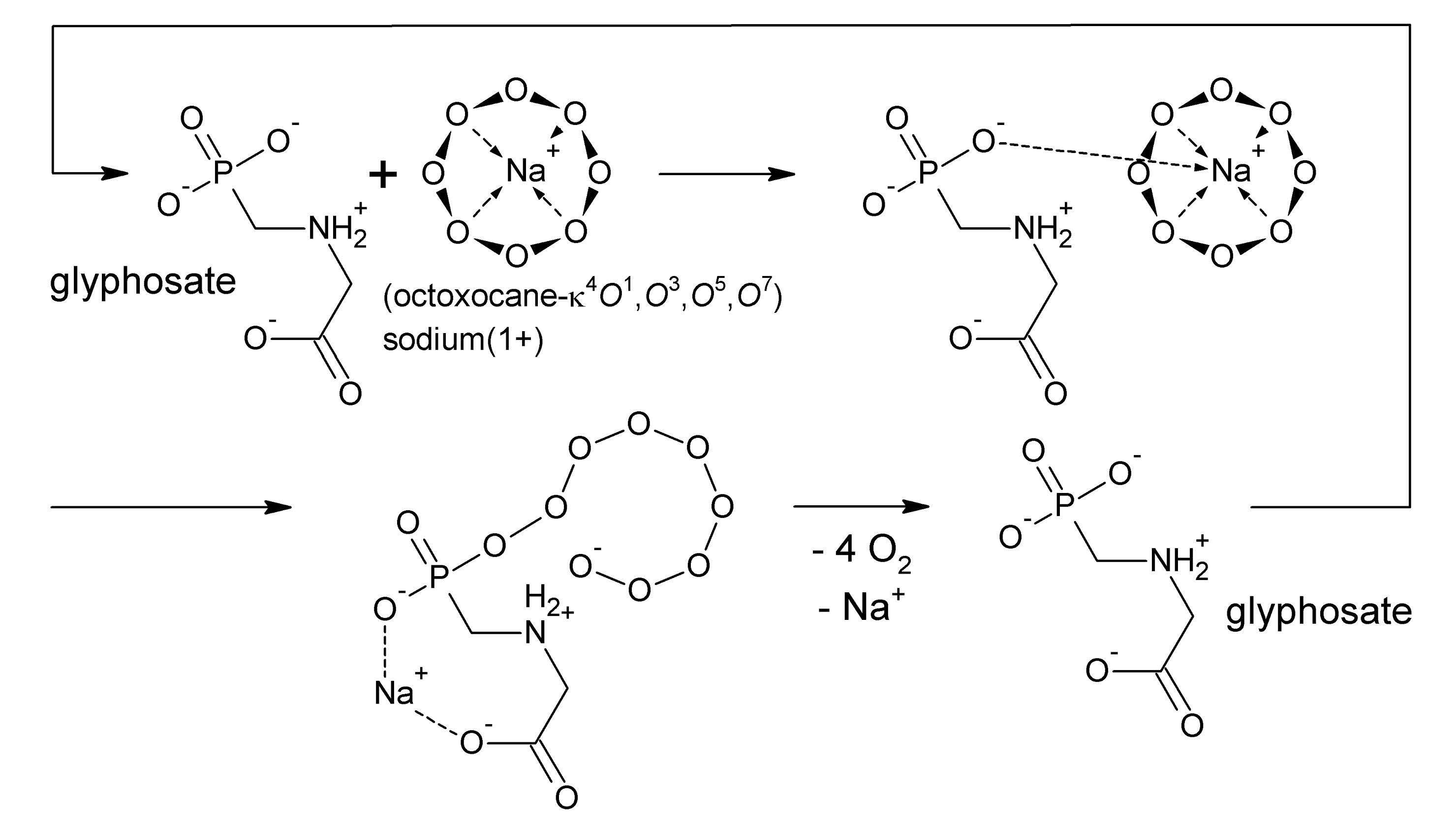
Oxygen exists in two gaseous and six solid allotropic modifications. An additional allotropic modification of oxygen, the cyclooctaoxygen, was predicted to exist in 1990. The first synthesis and characterization of cyclooctaoxygen as its sodium crown complex, isolated in the form of three cytosine nucleoside hydrochloride complexes, was reported in 2016. Cyclooctaoxygen sodium was synthesized from atmospheric oxygen, or catalase effect-generated oxygen, under catalysis of cytosine nucleosides and either ninhydrin or eukaryotic low-molecular weight RNA. The cationic cyclooctaoxygen sodium complex was shown to bind RNA and DNA, to associate with single-stranded DNA and spermine phosphate, and to be essentially non-toxic to cultured mammalian cells at 0.1–1.0 mM concentration. We postulated that cyclooctaoxygen is formed in most eukaryotic cells from dihydrogen peroxide in a catalase reaction catalysed by cytidine and RNA. A molecular biological model was deduced for a first epigenetic shell of eukaryotic euchromatin. This model incorporates an epigenetic explanation for the interactions of the essential micronutrient selenium (as selenite) with eukaryotic euchromatin. The sperminium phosphate/cyclooctaoxygen sodium complex is calculated to cover the actively transcribed regions (2.6%) of bovine lymphocyte interphase genome. Cyclooctaoxygen seems to be naturally absent in hypoxia-induced highly condensed chromatin, taken as a model for eukaryotic metaphase/anaphase/early telophase mitotic chromatin. We hence propose that the cyclooctaoxygen sodium-bridged spermine phosphate and selenite coverage serves as an epigenetic shell of actively transcribed gene regions in eukaryotic ‘open’ euchromatin DNA. The total herbicide glyphosate (ROUNDUP) and its metabolite (aminomethyl)phosphonic acid (AMPA) are proved to represent ‘epigenetic poisons’, since they both selectively destroy the cyclooctaoxygen sodium complex. This definition is of reason, since the destruction of cyclooctaoxygen is sufficient to bring the protection shield of human euchromatin into collateral epigenetic collapse.
Keywords: 
;  ;  ;  ;  ;  
Copyright: This open access article is published under a Creative Commons CC BY 4.0 license, which permit the free download, distribution, and reuse, provided that the author and preprint are cited in any reuse.
Prerpints.org logo

Preprints.org is a free preprint server supported by MDPI in Basel, Switzerland.

Subscribe

Disclaimer

Terms of Use

Privacy Policy

Privacy Settings

© 2026 MDPI (Basel, Switzerland) unless otherwise stated