Preprint
Article

This version is not peer-reviewed.

Transfer RNA (tRNA) Genes, Codon Usage and Translational Efficiency in Leishmania infantum

Submitted:

18 April 2026

Posted:

20 April 2026

You are already at the latest version

Abstract
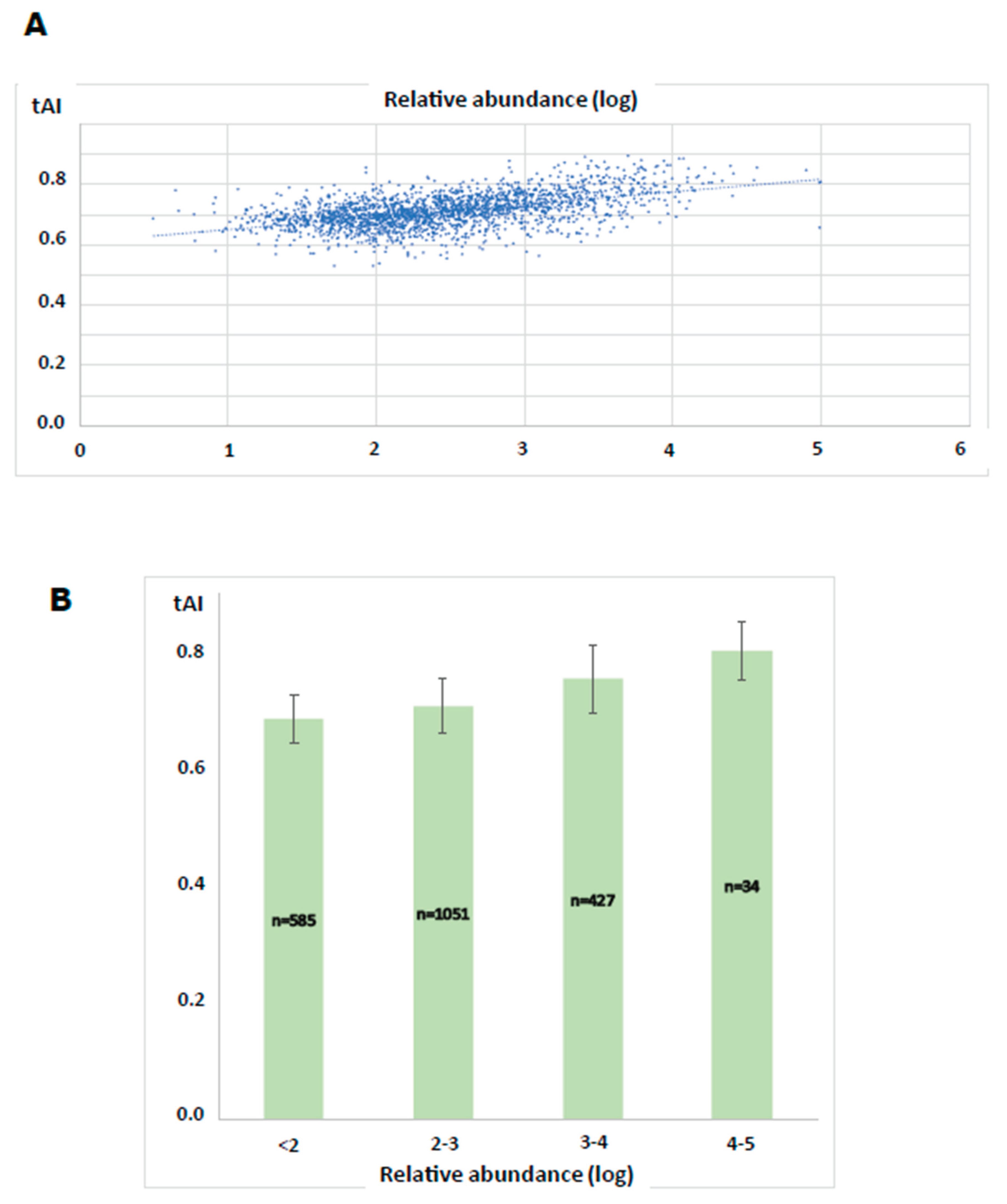
Background/Objectives: Protozoan parasites of the genus Leishmania are causative agents of a group of devastating human diseases, known as leishmaniasis. These microorganisms possess very unusual mechanisms of gene expression that are poorly understood. This study was aimed at analyzing the tRNA repertoire encoded in the Leishmania infantum genome, a species responsible for the most severe form of disease, visceral leishmaniasis. tRNAs are adaptor molecules aimed at decoding mRNAs into proteins. Results: A total of 92 tRNA genes, dispersed on 38 loci were identified; often located in regions where unidirectional gene arrays converge. Putative intronic sequences were inferred for three tRNA genes, and, remarkably, 9 tRNAs were identified within the protein-coding sequences of annotated genes. According to structural predictions, the L. infantum tRNA repertoire covers 49 of the 61 possible anticodons, but because of the well-documented wobble phenomenon, these are sufficient to decode all codons in the 8532 protein-coding genes currently annotated in its genome. As illustrated in this study, codon usage is a well-conserved trait among different Leishmania species but differs substantially regarding the codon usage of its human host. Finally, we analyzed tRNA adaptation index (tAI) parameters, codon usage metrics, and relative protein expression levels. Conclusions: Apart from providing the tRNA gene repertoire and its genome distribution, we have shown the existence of a statistically significant, positive correlation between the tAI scores and protein expression levels in L. infantum promastigotes.
Keywords: 
;  ;  ;  ;  ;  
Copyright: This open access article is published under a Creative Commons CC BY 4.0 license, which permit the free download, distribution, and reuse, provided that the author and preprint are cited in any reuse.
Prerpints.org logo

Preprints.org is a free preprint server supported by MDPI in Basel, Switzerland.

Subscribe

Disclaimer

Terms of Use

Privacy Policy

Privacy Settings

© 2026 MDPI (Basel, Switzerland) unless otherwise stated