Submitted:
17 April 2026
Posted:
20 April 2026
You are already at the latest version
Abstract
Keywords:
1. Introduction
2. Materials and Methods
2.1. L-PBF 316L Deposit and Sample Preparation
2.2. Multiple Peak Load Nano-/Macro-Indentation Strategy
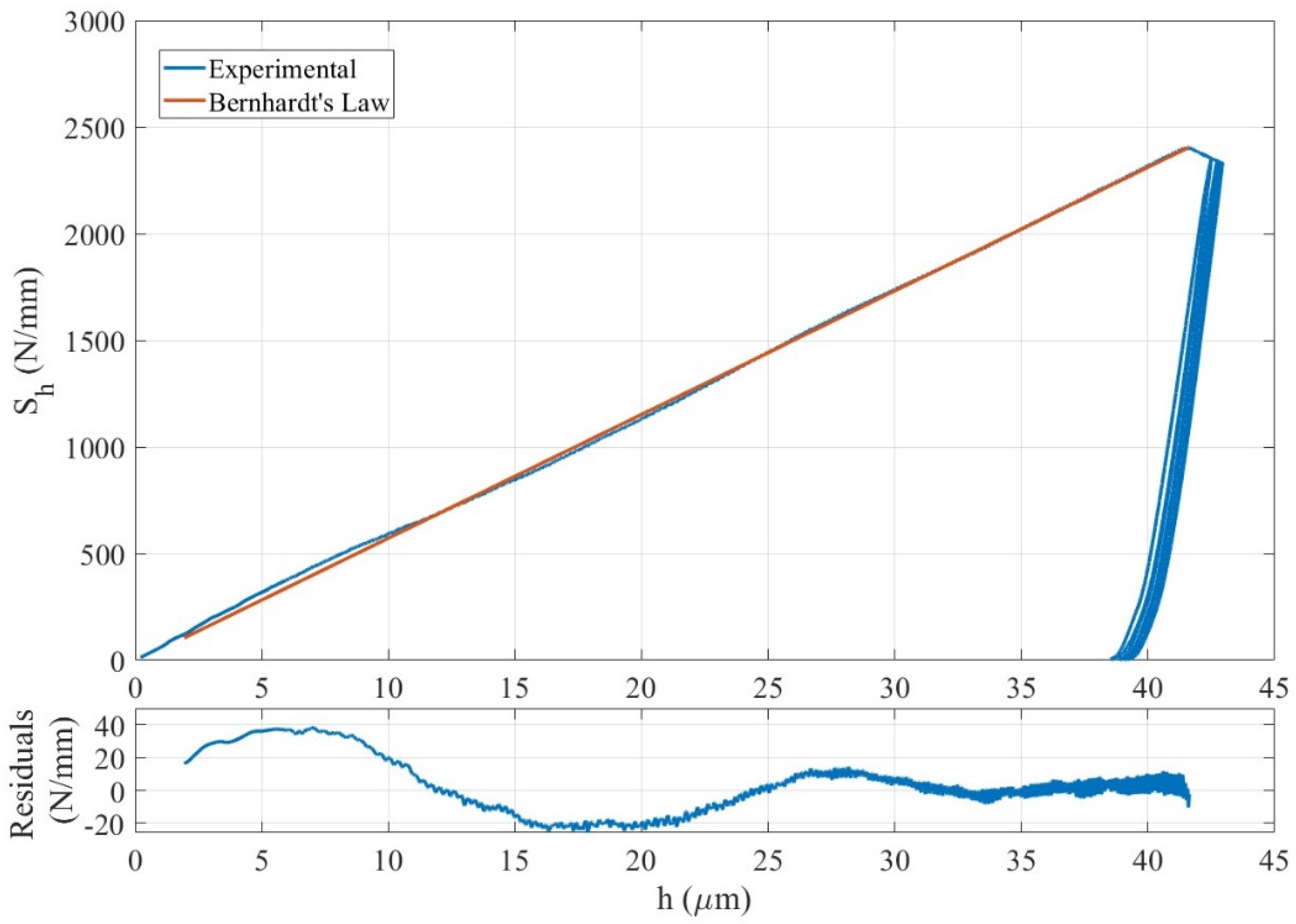
2.3. Bernhardt’s Indentation Law
2.3. Metallographic Analysis
3. Results
3.1. Microstructure
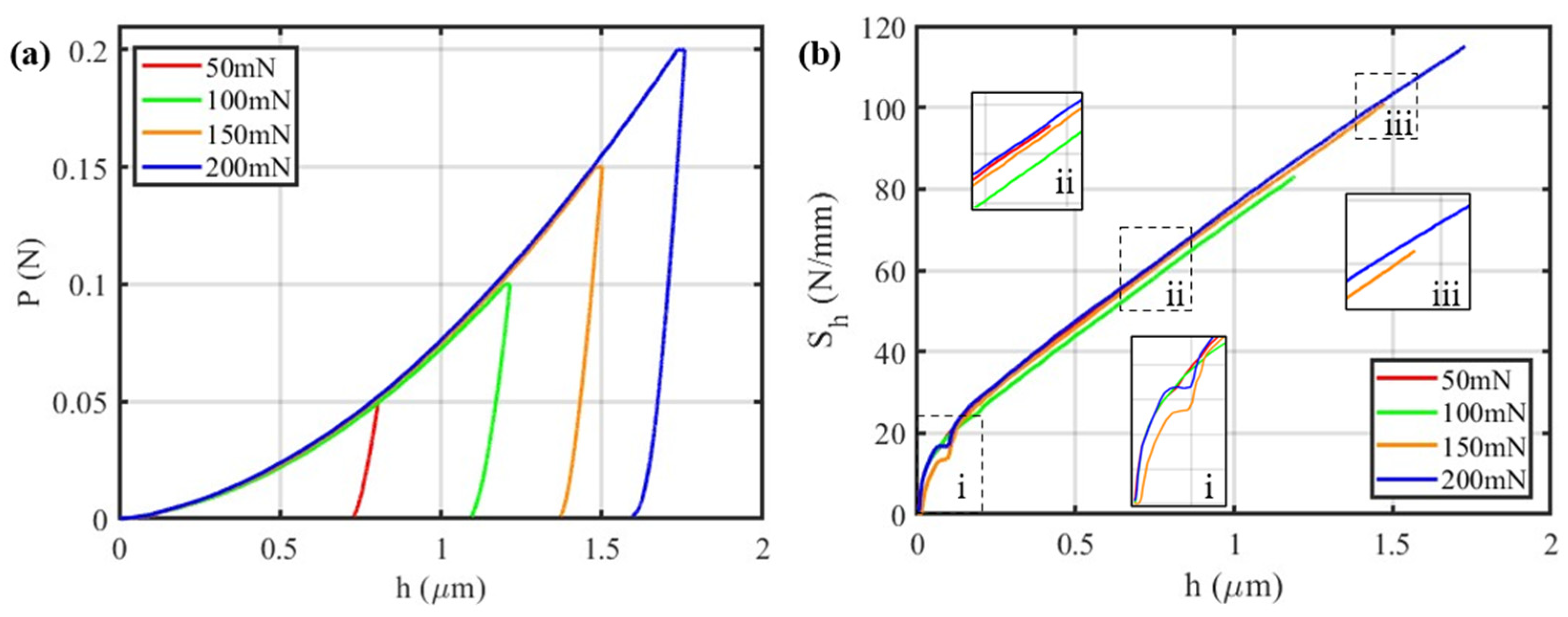
3.2. n-IIT Grid Map Results

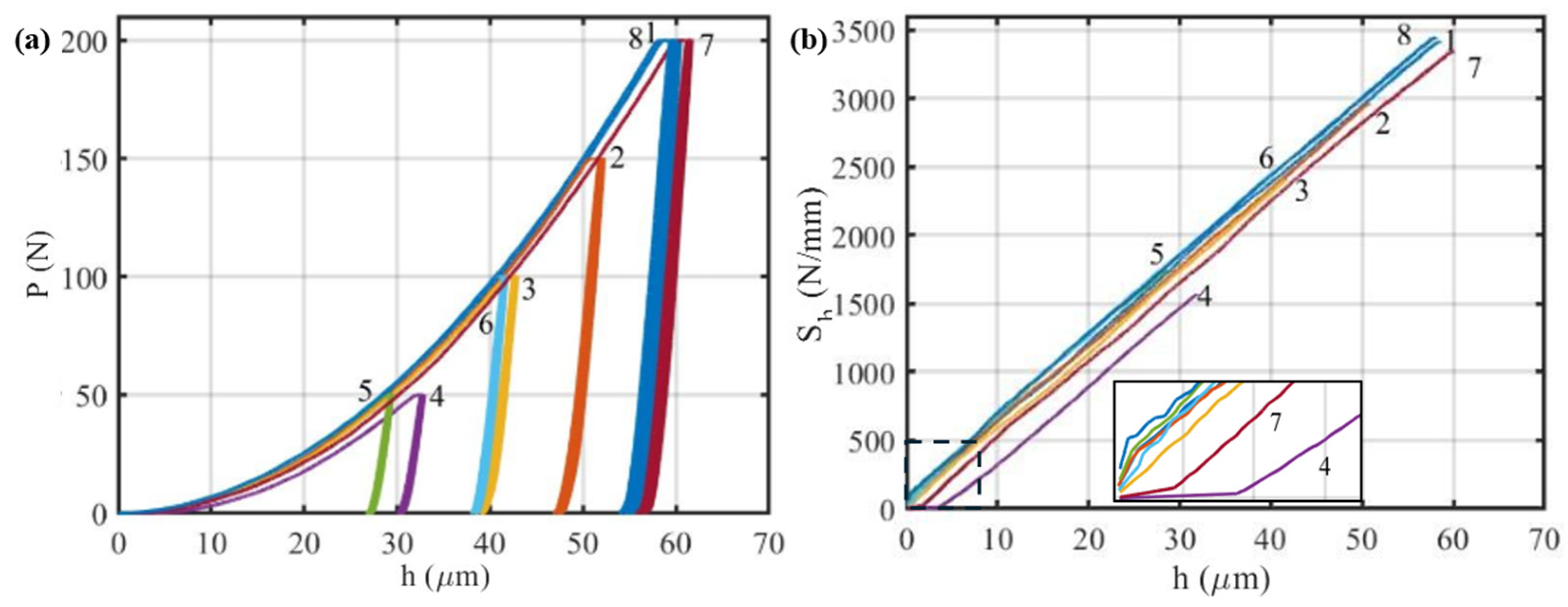
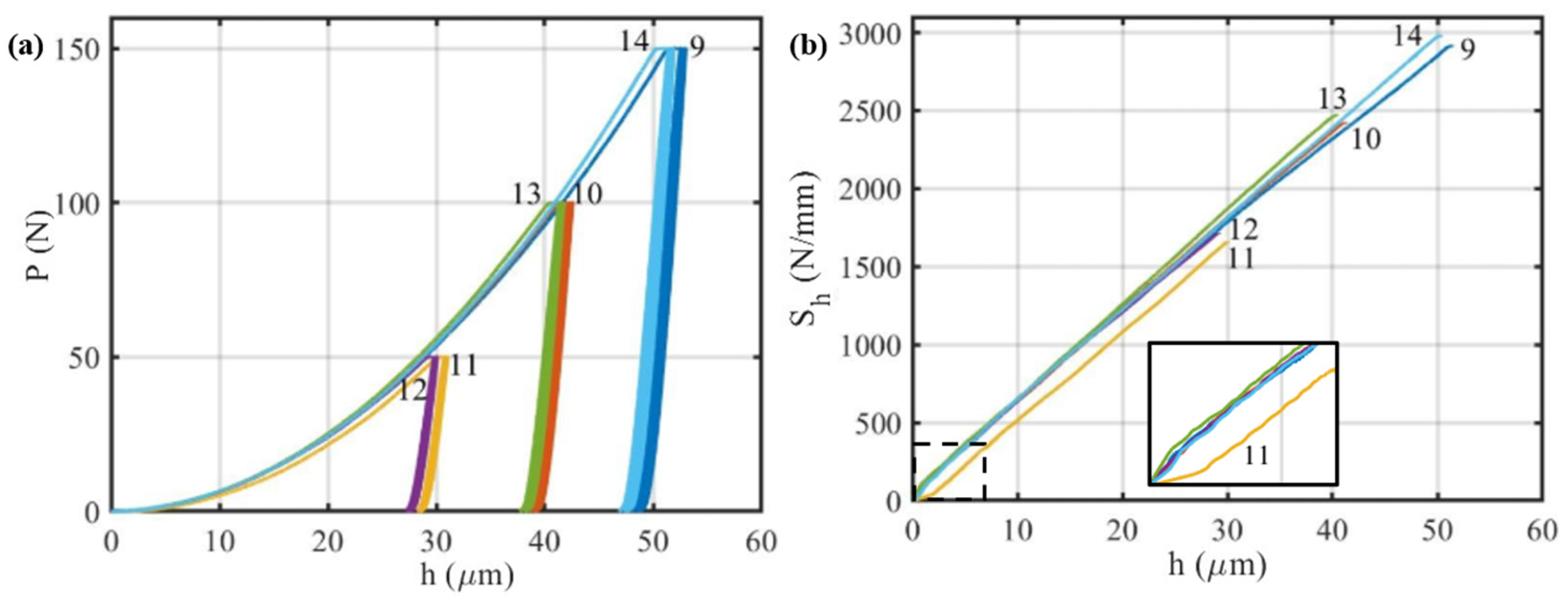
3.3. M-IIT PLs Results
3.3. EBSD Results
4. Discussion
4.1. Secant Stiffness Curves
4.2. Mechanical Performance of the CZ
5. Conclusions
- -
- the RSD of HR (or LSR) was found to be lower than that of HIT or EIT across all the loads signifying that the former is less affected by ISE
- -
- the RSD of all the indentation parameters was maximum for the lowest peak load (50 mN) highlighting the increased surface sensitivity of the measurements at this load in comparison to higher loads
- -
- the contour maps of the elastoplastic properties (LSR and HR) over the deposit core zone (CZ) underlined an enhanced mechanical performance along the transversal direction of the deposit, i.e. from the right to the left edge; this anisotropy effect was confirmed by means of EBSD crystal anisotropy analysis
- -
- the oscillation period (observed in few M-IITs) of Sh vs. h curve in the Y-Z plane was estimated as 20 ± 5 µm, which is equivalent to about a 200 µm radius of the elastoplastic region underneath the indenter (approximately double the hatching distance used during fabrication)
- -
- the oscillation amplitude in the HR values (via M-IIT) was larger along the vertical PL than along the horizontal PL, due to the strong and uniform cooling rate by the substrate along the width of the deposit, especially near its adjacent layers.
- -
- the moderate levels of crystal anisotropy were correlated with the anisotropy of the measured large-scale mechanical performance, and subsequently correlated with the processing and microstructure parameters
- -
- subregions R and B showed stronger anisotropy effects, due to their vicinity to the (cooling) edges and the substrate, respectively
- -
- the main reason for large-scale (transversal) anisotropy was ascribed to the strong cooling effect from the substrate, whereas the cooling edges of the deposit turned out to be the second main reason for large-scale anisotropy
- -
- the inner subregion C of the CZ was the last region to cool down, and it showed a relatively good mechanical performance, despite its large grain size.
Author Contributions
Funding
Conflicts of Interest
Abbreviations
| MDPI | Multidisciplinary Digital Publishing Institute |
| DOAJ | Directory of open access journals |
| TLA | Three letter acronym |
| LD | Linear dichroism |
References
- Abd-Elaziem, W.; Elkatatny, S.; Abd-Elaziem, A.-E.; Khedr, M.; Abd El-baky, M. A.; Hassan, M. A.; Abu-Okail, M.; Mohammed, M.; Järvenpää, A.; Allam, T.; et al. Journal of Materials Research and Technology 2022, 20, 681–707. [CrossRef]
- D’Andrea, D. Metals 2023, 13, 1370. [CrossRef]
- Bartolomeu, F.; Buciumeanu, M.; Pinto, E.; Alves, N.; Carvalho, O.; Silva, F.; Miranda, G. Additive Manufacturing 2017, 16, 81–89. [CrossRef]
- Wang, Y. M.; Voisin, T.; McKeown, J. T.; Ye, J.; Calta, N. P.; Li, Z.; Zeng, Z.; Zhang, Y.; Chen, W.; Roehling, T. T.; et al. Nature materials 2018, 17, 63–71. [CrossRef]
- Colin, C. Additive Manufacturing of Metal Alloys 2: Microstructures, Post-processing and Use Properties. 2023, 1–97. [Google Scholar]
- Wang, X.; Nadimpalli, V. K.; Tiedje, N. S.; Juul Jensen, D.; Yu, T. Metallurgical and Materials Transactions A 2025, 56, 506–517. [CrossRef]
- Xie, D.; Lv, F.; Yang, Y.; Shen, L.; Tian, Z.; Shuai, C.; Chen, B.; Zhao, J. Chinese Journal of Mechanical Engineering: Additive Manufacturing Frontiers 2022, 1, 100039.
- Maizza, G.; Hafeez, F.; Varone, A.; Montanari, R. Materials 2024, 17, 255.
- Im, Y.-D.; Kim, K.-H.; Jung, K.-H.; Lee, Y.-K.; Song, K.-H. Metallurgical and Materials Transactions A 2019, 50, 2014–2021. [CrossRef]
- Leicht, A.; Rashidi, M.; Klement, U.; Hryha, E. Materials Characterization 2020, 159, 110016. [CrossRef]
- Afkhami, S.; Dabiri, M.; Piili, H.; Bj¨ork, T. Materials Science and Engineering: A 2021, 802, 140660. [CrossRef]
- Li, Z.; Voisin, T.; McKeown, J. T.; Ye, J.; Braun, T.; Kamath, C.; King, W. E.; Wang, Y. M. International Journal of Plasticity 2019, 120, 395–410. [CrossRef]
- Maizza, G.; Hafeez, F.; Varone, A.; Montanari, R. Materials 2025, 18, 1462. [CrossRef] [PubMed]
- Kurdi, A.; Tabbakh, T.; Basak, A. K. Materials 2023, 16, 5933.
- Uddin, M. J.; Ramirez-Cedillo, E.; Mirshams, R. A.; Siller, H. R. Materials Characterization 2021, 174, 111047. [CrossRef]
- Tucho, W. M.; Lysne, V. H.; Austbø, H.; Sjolyst-Kverneland, A.; Hansen, V. Journal of Alloys and Compounds 2018, 740, 910–925. [CrossRef]
- Bakhtiarian, M.; Omidvar, H.; Mashhuriazar, A.; Sajuri, Z.; Gur, C. H. Journal of Materials Research and Technology 2024, 29, 1616–1629. [CrossRef]
- Özer, G.; Kisasöz, A. ¨ Materials Letters 2022, 327, 133014. [CrossRef]
- Liu, L.; Ding, Q.; Zhong, Y.; Zou, J.; Wu, J.; Chiu, Y.-L.; Li, J.; Zhang, Z.; Yu, Q.; Shen, Z. Materials Today 2018, 21, 354–361. [CrossRef]
- Metallic Material—Instrumented Indentation Test for Hardness and Materials Parameters—Part 1: Test Method. International Organization for Standardization: Geneva, Switzerland, 2015. Available online: https://www.iso.org/standard/56626.html.
- Maizza, G.; Kwon, D. The Instrumented Indentation Test: An Aiding Tool for Material Science and Industry; 2023. [Google Scholar]
- Bull, S. J. International Journal of Materials Research 2003, 94, 787–792.
- Bernhardt, E. O. International Journal of Materials Research 1941, 33, 135–144. [CrossRef]
- Sangwal, K. Crystal Research and Technology: Journal of Experimental and Industrial Crystallography 2009, 44, 1019–1037. [CrossRef]
- Pelletier, H. Tribology International 2006, 39, 593–606. [CrossRef]
- Rossi, E.; Tromas, C.; Liu, Z.; Zou, Y.; Wheeler, J. M. MRS bulletin 2025, 1–11.
- Shuman, D. J.; Costa, A. L.; Andrade, M. S. Materials characterization 2007, 58, 380–389. [CrossRef]
- Fröhlich, F.; Grau, P.; Grellmann, W. Physica status solidi (a) 1977. 42, 79–89.
- Kick, F. Das Gesetz der proportionalen Widerst¨ande und seine Anwendungen: Nebst Versuchen ¨uber das Verhalten verschiedener Materialien bei gleichen Form¨anderungen sowohl unter der Presse als dem Schlagwerk; A. Felix, 1885. [Google Scholar]
- Hirao, K.; Tomozawa, M. Journal of the American Ceramic Society 1987, 70, 497–502. [CrossRef]
- Li, H.; Ghosh, A.; Han, Y.; Bradt, R. Journal of Materials Research 1993, 8, 1028–1032. [CrossRef]
- Gong, J.; Li, Y. Journal of materials science 2000, 35, 209–213. [CrossRef]
- Ohmura, T. The Plaston Concept: Plastic Deformation in Structural Materials; Springer Nature Singapore Singapore, 2022; pp. pp 157–195. [Google Scholar]
- Schneider, C. A.; Rasband, W. S.; Eliceiri, K. W. Nature methods 2012, 9, 671–675. [CrossRef]
- Leicht, A.; Yu, C.-H.; Luzin, V.; Klement, U.; Hryha, E. Materials Characterization 2020, 163, 110309. [CrossRef]
- Rehmer, B.; Bayram, F.; Avila Calder’on, L. A.; Mohr, G.; Skrotzki, B. Scientific Data 2023, 10, 474. [CrossRef]
- Zaefferer, S.; Elhami, N.-N.; Konijnenberg, P. Phase transformations in steels; Elsevier, 2012; pp. pp 557–587. [Google Scholar]
- Yadroitsev, I.; Yadroitsava, I. Virtual and Physical Prototyping 2015, 10, 67–76. [CrossRef]
- Godec, M.; Zaefferer, S.; Podgornik, B.; Šinko, M.; Tchernychova, E. Materials Characterization 2020, 160, 110074. [CrossRef]













| Elements | C | Cr | N | Mn | Mo | Ni | P | S | Si | O | Fe |
| Weight (%) | <0.03 | 16–18 | <0.10 | <2 | 2–3 | 10–14 | <0.045 | <0.03 | <1 | <0.1 | bal |
| Laser Power | Layer Thickness | Scan Speed | Particle Æ | Hatch Spacing |
| 300 W | 50 μm | 1 ms−1 | 15–45 μm | 110 μm |
| Loads (mN) | LSR | HR | HIT | EIT | |||||
| Mean (GPa) |
RSD (%) |
Mean (GPa) |
RSD (%) |
Mean (GPa) |
RSD (%) |
Mean (GPa) |
RSD (%) |
||
| 50 | 58.2 56.3 56.0 54.7 |
12.9 8.0 6.9 7.5 |
2.38 2.30 2.29 2.24 |
12.9 8.0 6.9 7.5 |
3.30 3.03 2.90 2.75 |
14.4 8.0 6.8 9.3 |
207 210 220 237 |
12.3 6.6 9.9 9.8 |
|
| 100 | |||||||||
| 150 | |||||||||
| 200 | |||||||||
| All Loads | 56.3 | 9.0 | 2.30 | 9.0 | 3.00 | 11.9 | 219 | 11.0 | |
| Loads (N) | LSR | HR | HIT | EIT | |||||
| Mean (GPa) |
RSD (%) |
Mean (GPa) |
RSD (%) |
Mean (GPa) |
RSD (%) |
Mean (GPa) |
RSD (%) |
||
| 50 | 56.9 58.4 56.6 56.9 |
1.5 2.1 3.6 0.2 |
2.32 2.38 2.31 2.32 |
1.5 2.1 3.6 0.2 |
2.33 2.49 2.42 2.41 |
8.3 2.3 1.8 2.3 |
203 205 198 197 |
4.5 3.6 1.1 3.6 |
|
| 100 | |||||||||
| 150 | |||||||||
| 200 | |||||||||
| All Loads | 57.3 | 2.5 | 2.33 | 2.5 | 2.41 | 5.3 | 201 | 3.9 | |
Disclaimer/Publisher’s Note: The statements, opinions and data contained in all publications are solely those of the individual author(s) and contributor(s) and not of MDPI and/or the editor(s). MDPI and/or the editor(s) disclaim responsibility for any injury to people or property resulting from any ideas, methods, instructions or products referred to in the content. |
© 2026 by the authors. Licensee MDPI, Basel, Switzerland. This article is an open access article distributed under the terms and conditions of the Creative Commons Attribution (CC BY) license (http://creativecommons.org/licenses/by/4.0/).