Submitted:
15 April 2026
Posted:
16 April 2026
You are already at the latest version
Abstract
Keywords:
1. Introduction
2. Materials and Methods
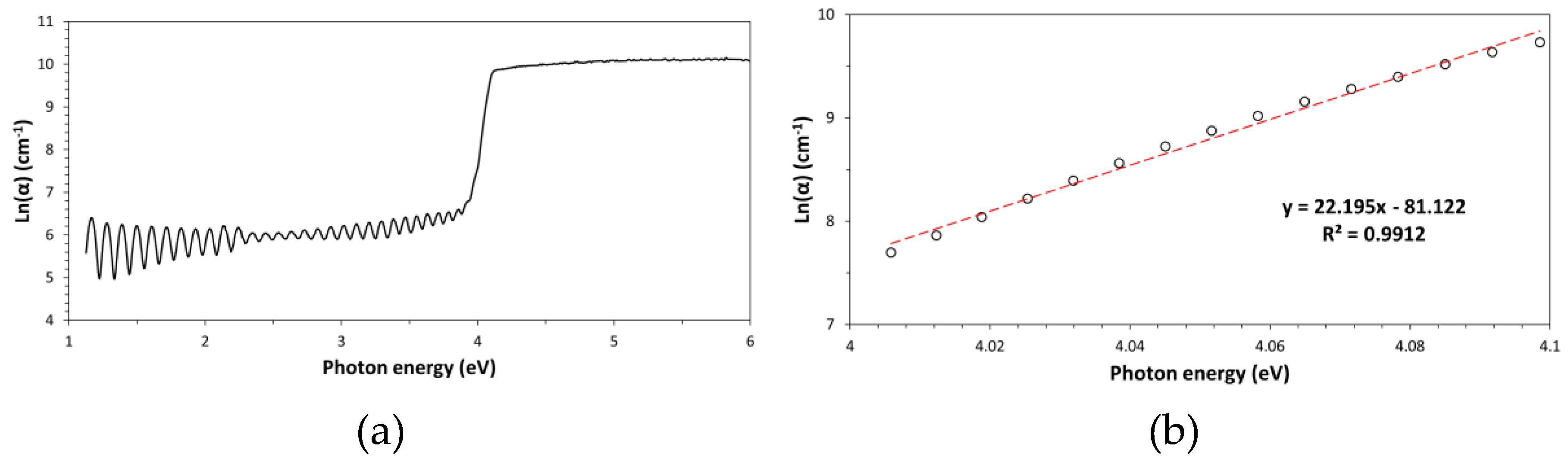
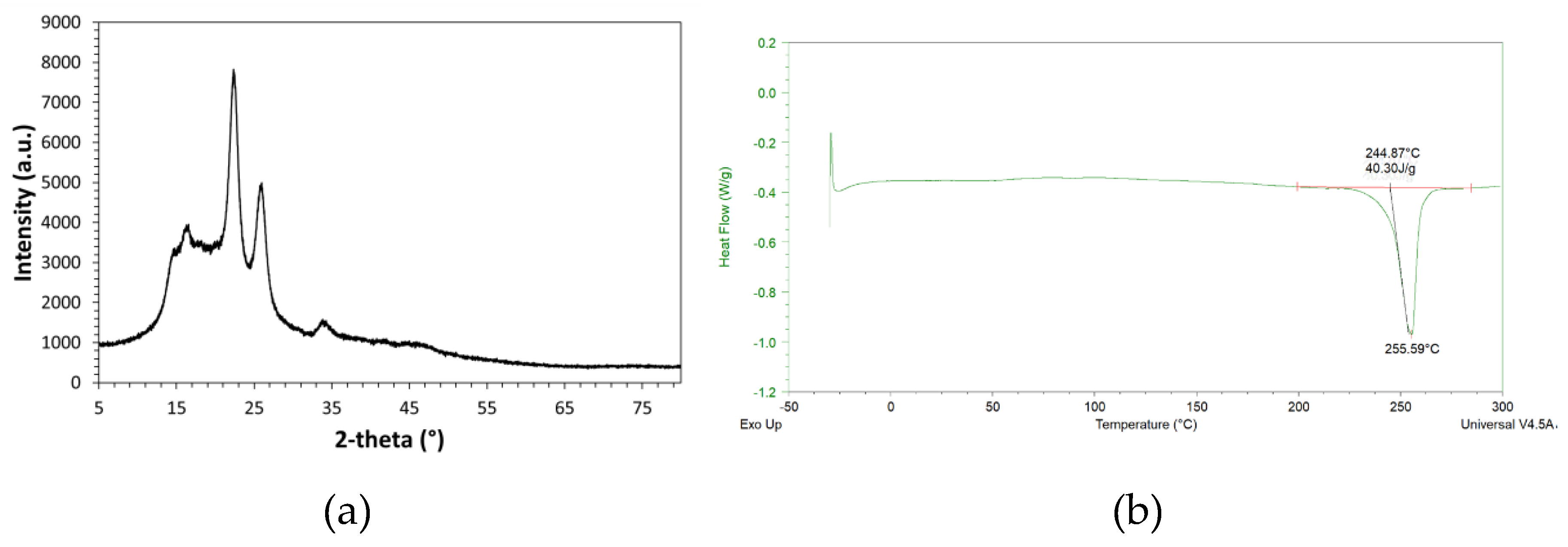
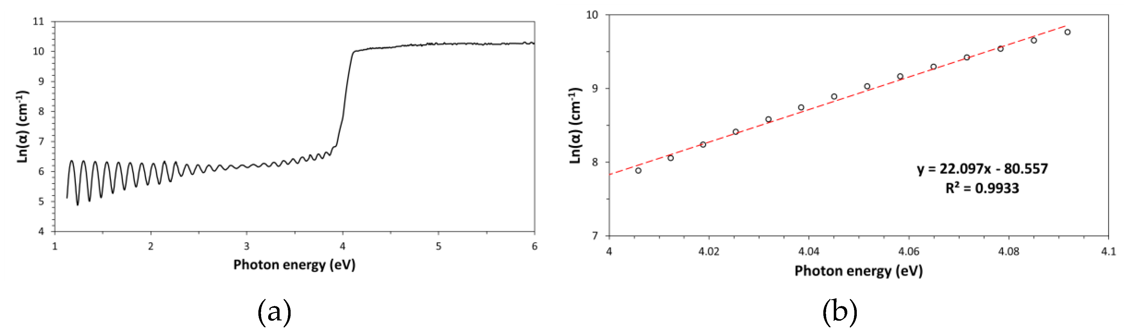
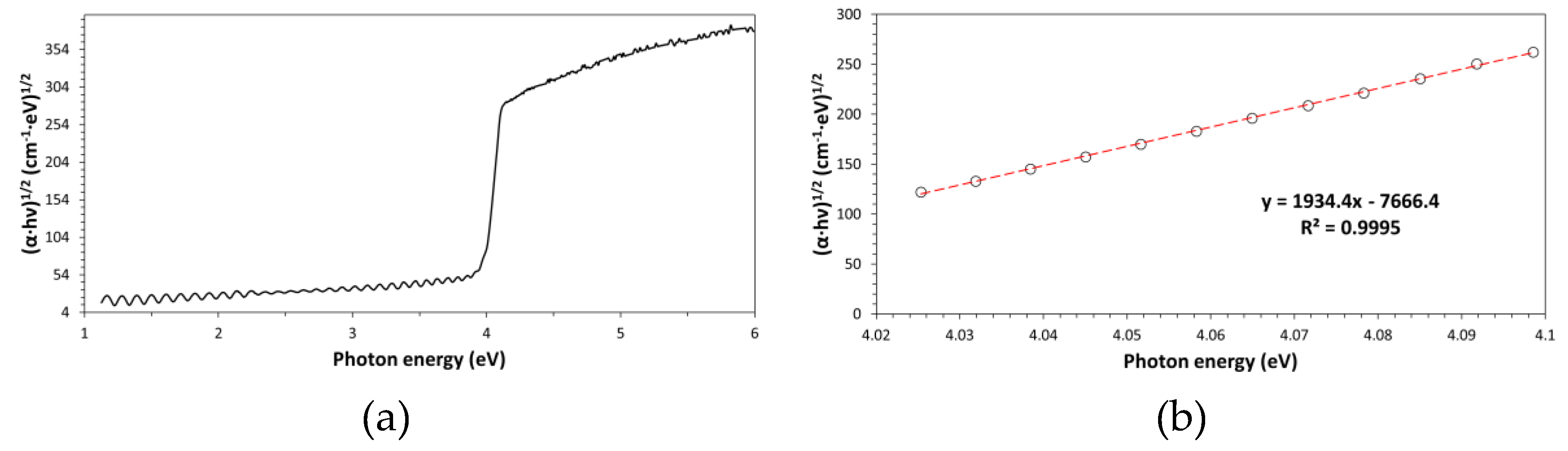
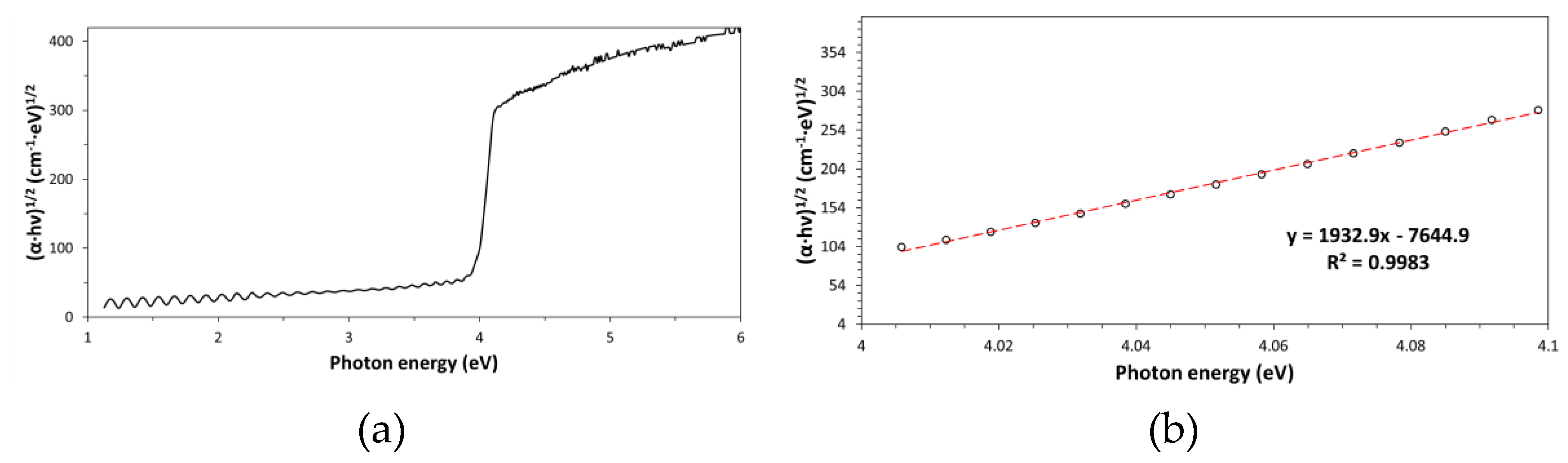
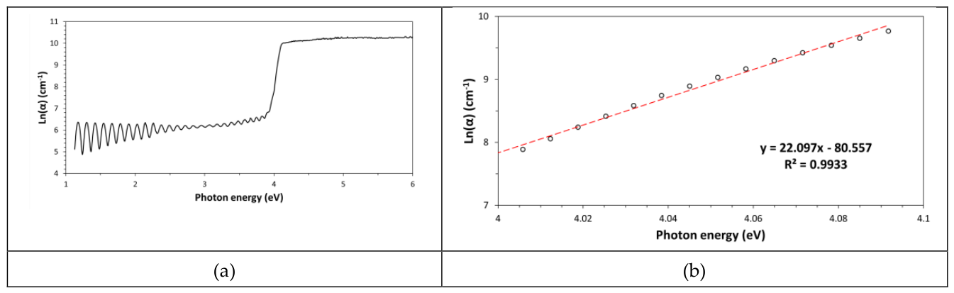
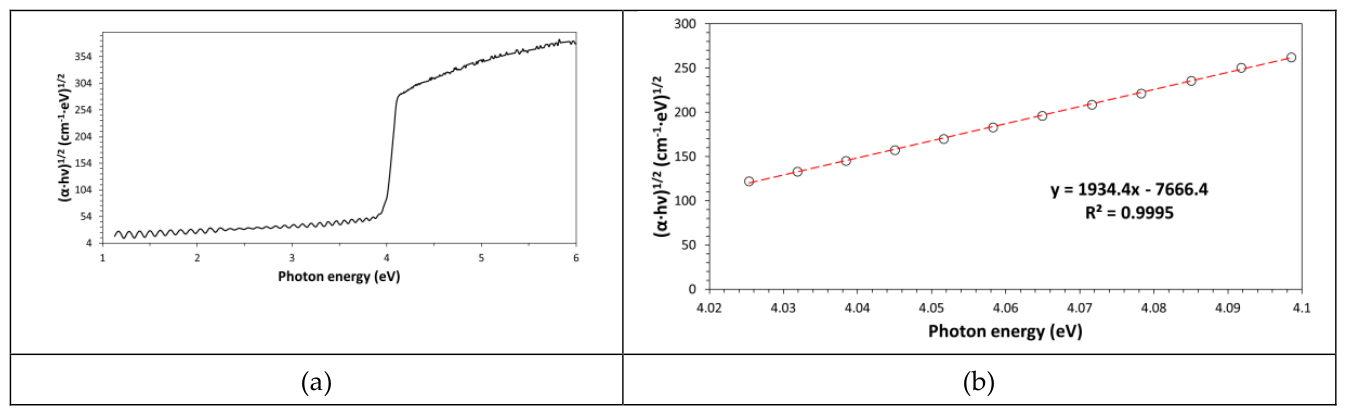
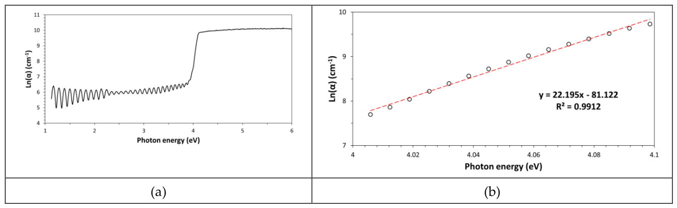
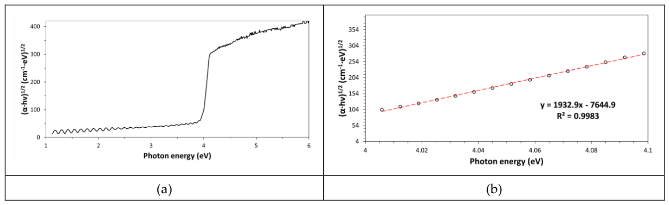
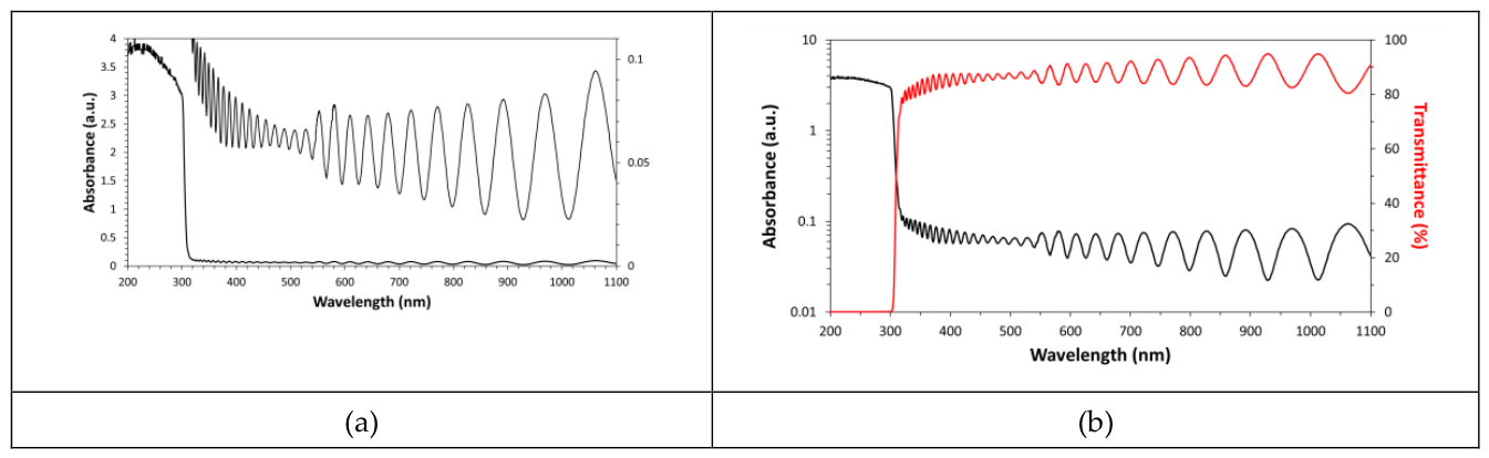
3. Results
4. Conclusions
References
- Mohammed, H.A.; Mohammed, P.A.; Aziz, S.B. Investigation of optical band gap in PEO-based polymer composites doped with green-synthesized metal complexes using various models. RSC Adv. 2025, 15, 23319–23341. [Google Scholar] [CrossRef] [PubMed]
- Migahed, M.; Zidan, H. Influence of UV-irradiation on the structure and optical properties of polycarbonate films. Curr. Appl. Phys. 2006, 6, 91–96. [Google Scholar] [CrossRef]
- Chen, L.; Batra, R.; Ranganathan, R.; Sotzing, G.; Cao, Y.; Ramprasad, R. Electronic Structure of Polymer Dielectrics: The Role of Chemical and Morphological Complexity. Chem. Mater. 2018, 30, 7699–7706. [Google Scholar] [CrossRef]
- Chen, L.; Huan, T.D.; Ramprasad, R. Electronic Structure of Polyethylene: Role of Chemical, Morphological and Interfacial Complexity. Sci. Rep. 2017, 7, 1–10. [Google Scholar] [CrossRef] [PubMed]
- Hoffmann, R. How Chemistry and Physics Meet in the Solid State. Angew. Chem. Int. Ed. Engl. 1987, 26, 846–878. [Google Scholar] [CrossRef]
- Zanatta, A.R. Revisiting the optical bandgap of semiconductors and the proposal of a unified methodology to its determination. Sci. Rep. 2019, 9, 1–12. [Google Scholar] [CrossRef] [PubMed]
- Lamichhane, A. Absorption in narrow and wide gap materials. Heliyon 2023, 9, e21507. [Google Scholar] [CrossRef] [PubMed]
- Wada, O.; Ramachari, D.; Yang, C.-S.; Pan, C.-L. Interrelationship among dielectric constant, energy band parameters and ionicity in multi-component oxide glasses revealed by optical- and THz-band spectroscopy. J. Non-Crystalline Solids 2021, 573. [Google Scholar] [CrossRef]
- Dahshan, A.; Aly, K. Determination of the thickness and optical constants of amorphous Ge–Se–Bi thin films. Philos. Mag. 2009, 89, 1005–1016. [Google Scholar] [CrossRef]
- Swanepoel, R. Determination of the thickness and optical constants of amorphous silicon. J. Phys. E: Sci. Instruments 1983, 16, 1214–1222. [Google Scholar] [CrossRef]
- Zhang, X.; Qiu, J.; Li, X.; Zhao, J.; Liu, L.H. Complex refractive indices measurements of polymers in visible and near-infrared bands. Appl. Opt. 2020, 59, 2337–2344. [Google Scholar] [CrossRef] [PubMed]
- Hulbers, P.D.T.; Shah, D.O. Multispectral determination of soap film thickness. Langumir 1997, 13, 5995–5998. [Google Scholar] [CrossRef]
- Thompson, A.B.; Woods, D.W. Density of Amorphous Polyethylene Terephthalate. Nature 1955, 176, 78–79. [Google Scholar] [CrossRef]
- Schade, U.; Ritter, E.; Bawagan, A.D.O.; Beckmann, J.; Aziz, E.F. Far-infrared absorption measurements on thin polymer films”. In 2014 39th International Conference on Infrared Millimiter, and Terahertz waves (IRMMW-THz); IEEE, 2014. [Google Scholar]
- Okutan, M. The effect of grinding on optical band gap and urbach energy of polypyrrole/graphene composites. Eskiseh. Tech. Univ. J. Sci. Technol. A-Appl. Sci. Eng. 2023, 24, 309–323. [Google Scholar] [CrossRef]
- Johnson, J.E. X-ray diffraction studies of the crystallinity in polyethylene terephthalate. J. Appl. Polym. Sci. 1959, 2, 205–209. [Google Scholar] [CrossRef]
- Viora, L.; Combeau, M.; Pucci, M.F.; Perrin, D.; Liotier, P.-J.; Bouvard, J.-L.; Combeaud, C. A comparative study on crystallization for virgin and recycled polyethylene terephtalate (PET), multiscala effects on physico-mechanical properties. Polymers 2023, 15, 4613. [Google Scholar] [CrossRef] [PubMed]
- Bandla, S.; Allahkarami, M.; Hanan, J.C. Out-of-plane orientation and crystallinity of biaxially stretched polyethylene terephthalate. Powder Diffr. 2014, 29, 123–126. [Google Scholar] [CrossRef]
- Musiatowicz, M.; Turek, M.; Droździel, A.; Pyszniak, K.; Grudziński, W. Modification of Optical, Electronic and Microstructural Properties of PET by 150 keV Cs+ Irradiation. Adv. Sci. Technol. Res. J. 2022, 16, 11–19. [Google Scholar] [CrossRef] [PubMed]
- Ravindra, N.M.; Sadoh, A.; Hossain, S.; Fereira, S. Optical properties of low-refractive index polymers. Mater. Sci. Eng. Int. J. 2022, 6, 68–76. [Google Scholar] [CrossRef]







Disclaimer/Publisher’s Note: The statements, opinions and data contained in all publications are solely those of the individual author(s) and contributor(s) and not of MDPI and/or the editor(s). MDPI and/or the editor(s) disclaim responsibility for any injury to people or property resulting from any ideas, methods, instructions or products referred to in the content. |
© 2026 by the authors. Licensee MDPI, Basel, Switzerland. This article is an open access article distributed under the terms and conditions of the Creative Commons Attribution (CC BY) license (http://creativecommons.org/licenses/by/4.0/).