Submitted:
15 April 2026
Posted:
16 April 2026
You are already at the latest version
Abstract
Keywords:
1. Introduction
2. Literature Review and Analytical Framework
2.1. Polycentric Governance Theory
2.2. Influencing Factors of Environmental Performance
2.2.1. Economic Pressure
2.2.2. Government Attention
2.2.3. Social Supervision
2.3. Configurational Perspective and Analytical Framework
3. Research Design
3.1. Research Methods
3.2. Sample Selection
3.3. Condition Variables
3.3.1. Outcome Variable Measurement
3.3.2. Condition Variable Measurement
4. Data Analysis and Research Findings
4.1. Descriptive Statistics and Calibration of Variables
4.2. Necessity Analysis of Single Conditions
4.3. Sufficiency Analysis of Condition Configurations
4.3.1. Summary of Results
4.3.2. Configurational Analysis
4.3.3. Between-Group Results Analysis
4.3.4. Within-Group Analysis Results
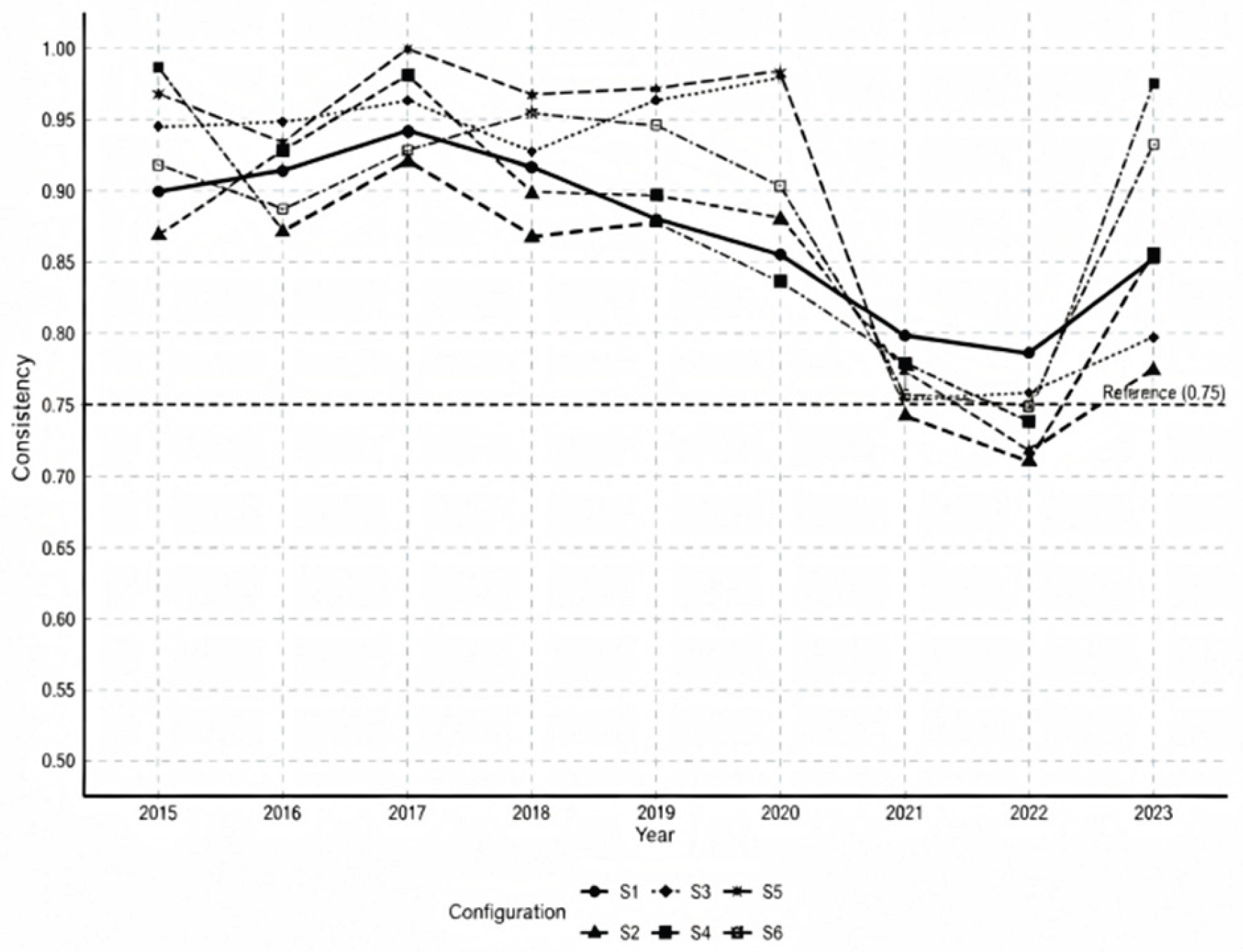
4.4. Robustness Test
5. Conclusions and Policy Implications
5.1. Conclusions
5.2. Policy Implications
5.3. Limitations and Future Research Directions
Author Contributions
Funding
References
- Ren, F.R.; Wu, T.F.; Zhang, Q.Q. Ecological–environmental transformation efficiency in China: regional disparities, modeling challenges, and prospects for long-term sustainability governance. Hum. Soc. Sci. Commun. 2025, 12, 1734. [Google Scholar]
- Huang, L.; Xiao, X.; Sun, X. The same sky, different urban and rural environmental treatment: analysis based on Chinese general social survey data. Environ. Dev. Sustain. 2025, 27, 27427–27460. [Google Scholar] [CrossRef]
- Li, S.; Ding, Y.; Shen, H. The impact of industrial structure and economic development on environmental quality: Evidence from rural China. Sustainability 2025, 18, 112. [Google Scholar] [CrossRef]
- Morrison, T.H.; Adger, W.N.; Brown, K.; Lemos, M.C.; Huitema, D.; Phelps, J.; Evans, L.; Cohen, P.; Song, A.M.; Turner, R. The black box of power in polycentric environmental governance. Glob. Environ. Change 2019, 57, 101934. [Google Scholar] [CrossRef]
- Marshall, G. Polycentricity and adaptive governance. In 15th Biennial Global Conference of the International Association for the Study of the Commons, Edmonton, AB, Canada; 2015; pp. 1–19. [Google Scholar]
- Du, K.; Cheng, Y.; Yao, X. Environmental regulation, green technology innovation, and industrial structure upgrading: The road to the green transformation of Chinese cities. Energy Econ. 2021, 98, 105247. [Google Scholar] [CrossRef]
- Shang, L.; Tan, D.; Feng, S.; Zhou, W. Environmental regulation, import trade, and green technology innovation. Environ. Sci. Pollut. Res. 2022, 29, 12864–12874. [Google Scholar] [CrossRef]
- Mol, A.P.J.; Carter, N.T. China’s environmental governance in transition. Environ. Polit. 2006, 15, 149–170. [Google Scholar] [CrossRef]
- Dong, X.H.; Hu, Y.L.; Li, W.X. A international comparisons and historical analysis on China’s environmental governance efficiency: Based on the model of DEA. Stud. Sci. Sci. 2008, 26, 1221–1230. [Google Scholar]
- Tang, R.W.; Li, C. Strategy choice of China’s environmental governance from the perspective of metagovernance. China Popul. Resour. Environ. 2014, 24, 18–22. [Google Scholar]
- Tsang, S.; Burnett, M.; Hills, P.; Welford, R. Trust, public participation and environmental governance in Hong Kong. Environ. Policy Gov. 2009, 19, 99–114. [Google Scholar] [CrossRef]
- Zhai, H.; Yang, Y.; Ding, H.; Zhou, Y. Research on the configuration path of regional green innovation in space and time: Dynamic QCA analysis based on provincial panel data. Sustainability 2025, 17, 1871. [Google Scholar] [CrossRef]
- Schaefer, A. Polycentricity and adaptation: A multilevel selectionist approach. J. Econ. Behav. Organ. 2023, 210, 265–287. [Google Scholar] [CrossRef]
- McGinnis, M.D.; Ostrom, E. Social-ecological system framework: initial changes and continuing challenges. Ecol. Soc. 2014, 19, 374–386. [Google Scholar] [CrossRef]
- Huitema, D.; Jordan, A.; Munaretto, S.; Hildén, M. Policy experimentation: core concepts, political dynamics, governance and impacts. Policy Sci. 2018, 51, 143–159. [Google Scholar] [CrossRef] [PubMed]
- Project, E.S.G.; Biermann, F.; Betsill, M.M.; Gupta, J.; Kanie, N.; Lebel, L.; Liverman, D.; Schroeder, H.; Siebenhüner, B. Earth system governance: People, places and the planet. Environ. Policy Collect. 2009, 10, 277–298. [Google Scholar]
- Kreps, G.L.; Neuhauser, L. New directions in eHealth communication: opportunities and challenges. Patient Educ. Couns. 2010, 78, 329–336. [Google Scholar] [CrossRef]
- Epstein, G.; Pittman, J.; Alexander, S.M.; Berdej, S.; Dyck, T.; Kreitmair, U.; Rathwell, K.J.; Villamayor-Tomas, S.; Vogt, J.; Armitage, D. Institutional fit and the sustainability of social–ecological systems. Curr. Opin. Environ. Sustain. 2015, 14, 34–40. [Google Scholar] [CrossRef]
- Berardo, R.; Scholz, J.T. Self-organizing policy networks: Risk, partner selection, and cooperation in estuaries. Am. J. Polit. Sci. 2010, 54, 632–649. [Google Scholar] [CrossRef]
- Chan, Y.E.; Krishnamurthy, R.; Mann, J.; Sabherwal, R. Public participation in policy making: Evidence from a citizen advisory panel. Public Perform. Manag. Rev. 2022, 45, 1308–1345. [Google Scholar] [CrossRef]
- Irvin, R.A.; Stansbury, J. Citizen participation in decision making: is it worth the effort? Public Adm. Rev. 2004, 64, 55–65. [Google Scholar] [CrossRef]
- Wu, S.; Zhang, H.; Wei, T. Corporate social responsibility disclosure, media reports, and enterprise innovation: Evidence from Chinese listed companies. Sustainability 2021, 13, 8466. [Google Scholar] [CrossRef]
- Grossman, G.M.; Krueger, A.B. Environmental impacts of a North American free trade agreement (NBER Working Paper No. 3914); National Bureau of economic research: Cambridge, Mass., USA, 1991. [Google Scholar]
- Purcel, A.A. New insights into the environmental Kuznets curve hypothesis in developing and transition economies: a literature survey. Environ. Econ. Policy Stud. 2020, 22, 585–631. [Google Scholar] [CrossRef]
- Mahmoodi, M.; Dahmardeh, N. Environmental kuznets curve hypothesis with considering ecological footprint and governance quality: Evidence from emerging countries. Front. Environ. Sci. 2022, 10, 849676. [Google Scholar] [CrossRef]
- Millett, J.D. Administrative behavior: A study of decision-making processes in administrative organization, by Herbert A. Simon. Polit. Sci. Q. 1947, 62, 602–603. [Google Scholar] [CrossRef]
- Ocasio, W. Towards an attention-based view of the firm. Strateg. Manag. J. 1997, 18(S1), 187–206. [Google Scholar] [CrossRef]
- Kumar, S.; Thakur, M.K. Attention dynamics: Evolution of attention-based view and its implications. Manag. Rev. Q. 2025, 75, 3727–3772. [Google Scholar] [CrossRef]
- van der Voet, J.; Lerusse, A. Performance information and issue prioritization by political and managerial decision-makers: A discrete choice experiment. J. Public Adm. Res. Theory 2024, 34, 582–597. [Google Scholar] [CrossRef]
- Zhang, H.; Dong, J.; Zhang, W.; Luo, J. Public environmental supervision, environmental non-governmental organizations, and industrial green and low-carbon transformation. Front. Environ. Sci. 2023, 10, 1074267. [Google Scholar] [CrossRef]
- Yan, X. Media attention, urban environmental regulation and corporate environmental responsibility. Finance Res. Lett. 2023, 58, 104532. [Google Scholar] [CrossRef]
- Fiss, P.C. Building better causal theories: A fuzzy set approach to typologies in organization research. Acad. Manag. J. 2011, 54, 393–420. [Google Scholar] [CrossRef]
- Miranda, S.; Tavares, P.; Queiró, R. Perceived service quality and customer satisfaction: A fuzzy set QCA approach in the railway sector. J. Bus. Res. 2018, 89, 371–377. [Google Scholar] [CrossRef]
- Garcia-Castro, R.; Ariño, M.A. A general approach to panel data set-theoretic research. J. Adv. Manag. Sci. Inf. Syst. 2016, 2(63-76), 526. [Google Scholar] [CrossRef]
- Lee, H.S. Integrating SBM model and Super-SBM model: A one-model approach. Omega 2022, 113, 102693. [Google Scholar] [CrossRef]
- Yan, Y.; Ye, G.Y.; Liang, X.M. Institutional pressure, local government response and regional environmental performance—A qualitative comparative analysis based on data from 30 provinces. Stud. Sci. Sci. 2024, 42, 300. [Google Scholar]
- Luan, B.; Zou, H.; Chen, S.; Huang, J. The effect of industrial structure adjustment on China’s energy intensity: Evidence from linear and nonlinear analysis. Energy 2021, 218, 119517. [Google Scholar] [CrossRef]
- Tang, Z.; Zhang, Z.; Deng, W. Government environmental expenditure, budget management, and regional carbon emissions: Provincial panel data from China. Sustainability 2024, 16, 6707. [Google Scholar] [CrossRef]
- Huarng, K.H.; Roig-Tierno, N. Qualitative comparative analysis, crisp and fuzzy sets in knowledge and innovation. J. Bus. Res. 2016, 69, 5181–5186. [Google Scholar] [CrossRef]
- Du, Y.; Jia, L. Configuration perspective and Qualitative Comparative Analysis (QCA): A new path for management research. Manag. World 2017, 6, 155. [Google Scholar]
- Douglas, E.J.; Shepherd, D.A.; Prentice, C. Using fuzzy-set qualitative comparative analysis for a finer-grained understanding of entrepreneurship. J. Bus. Ventur. 2020, 35, 105970. [Google Scholar] [CrossRef]
- Schneider, C.Q.; Wagemann, C. Set-theoretic methods for the social sciences: A guide to qualitative comparative analysis; Cambridge University Press: Cambridge, UK, 2012. [Google Scholar]
- Lu, R.; Zhang, L.; Chen, X.; Zhou, D. A study on the configuration and path of influencing factors of industrial development based on science: QCA analysis of pharmaceutical manufacturing in 31 provinces of mainland China. Sci. Technol. Prog. Policy 2022, 39, 20–28. [Google Scholar]





| First-level Indicators | Second-level Indicators | Data Sources | ||
|---|---|---|---|---|
| Input | Labor Input | Number of Employed Persons in Urban Areas (10,000 persons) | China Labour Statistical Yearbook (2015–2023) | |
| Capital Input | Fixed Asset Investment (100 million RMB) | China Statistical Yearbook (2015–2023) | ||
| Energy Input | Total Energy Consumption (10,000 tons of coal equivalent) | China Energy Statistical Yearbook (2015–2023) | ||
| Output | Expected output | Economic Output | Gross Domestic Product (GDP) (100 million RMB) | China Statistical Yearbook (2015–2023) |
| Unexpected output | Pollution Emissions | Industrial SO₂ Emissions (10,000 tons) | China Environmental Statistical Yearbook (2015–2023) | |
| Industrial Wastewater COD Emissions (10,000 tons) | ||||
| Industrial Solid Waste Generation (10,000 tons) | ||||
| Variable | Descriptive statistics | Calibration | |||||
|---|---|---|---|---|---|---|---|
| Mean | Standard Deviation | Maximum | Minimum | Full Non-Membership | Crossover Point | Full Membership | |
| Environmental performance | 0.274 | 0.24 | 1.323 | 0.113 | 0.165 | 0.21 | 0.253 |
| GDP per capita | 71016.915 | 35472.237 | 216722 | 26883 | 47512.5 | 60173 | 82346 |
| Secondary Industry Value Added | 12751.02 | 11359.506 | 57329.8 | 761.1 | 4868.125 | 9518.1 | 16806.825 |
| Fiscal Expenditure | 179.5 | 103.796 | 747.439 | 29.057 | 109.402 | 161.96 | 224.248 |
| Policy Input | 217.259 | 52.759 | 383 | 96 | 184.25 | 213 | 249 |
| Public Supervision | 29179.634 | 42084.5 | 199521.28 | 28.943 | 145.483 | 11196.616 | 37494.14 |
| Media Supervision | 1382.489 | 1073.389 | 9680 | 86 | 559.25 | 1190 | 1959.25 |
| Condition variables | High Environmental Performance | ~High Environmental Performance | ||||||
|---|---|---|---|---|---|---|---|---|
| overall consistency | overall coverage | between-group consistency distance | within-group consistency distance | overall consistency | overall coverage | between-group consistency distance | within-group consistency distance | |
| GDP per capita | 0.736 | 0.747 | 0.109 | 0.096 | 0.736 | 0.747 | 0.107 | 0.117 |
| ~GDP per capita | 0.381 | 0.377 | 0.192 | 0.117 | 0.381 | 0.377 | 0.130 | 0.078 |
| Secondary industry value added | 0.696 | 0.715 | 0.030 | 0.082 | 0.696 | 0.715 | 0.091 | 0.132 |
| ~Secondary industry value added | 0.413 | 0.404 | 0.054 | 0.131 | 0.413 | 0.404 | 0.146 | 0.120 |
| Fiscal expenditure | 0.654 | 0.661 | 0.063 | 0.087 | 0.654 | 0.661 | 0.097 | 0.124 |
| ~Fiscal expenditure | 0.452 | 0.45 | 0.104 | 0.120 | 0.452 | 0.45 | 0.133 | 0.093 |
| Policy input | 0.519 | 0.522 | 0.101 | 0.090 | 0.519 | 0.522 | 0.100 | 0.078 |
| ~Policy inpu | 0.573 | 0.572 | 0.086 | 0.075 | 0.573 | 0.572 | 0.084 | 0.082 |
| Public supervision | 0.574 | 0.58 | 0.249 | 0.060 | 0.574 | 0.58 | 0.066 | 0.078 |
| ~Public supervision | 0.512 | 0.509 | 0.315 | 0.071 | 0.512 | 0.509 | 0.079 | 0.070 |
| Media supervision | 0.696 | 0.694 | 0.127 | 0.068 | 0.696 | 0.694 | 0.076 | 0.113 |
| ~Media supervision | 0.408 | 0.411 | 0.191 | 0.119 | 0.408 | 0.411 | 0.132 | 0.080 |
| Year | Public supervision/Environmental performance | ~Public supervision/Environmental performance | ||||
|---|---|---|---|---|---|---|
| Between-group consistency | Between-group coverage | Between-group consistency | Between-group coverage | |||
| 2015 | 0.776 | 0.867 | 0.877 | 0.585 | ||
| 2016 | 0.638 | 0.842 | 0.906 | 0.535 | ||
| 2017 | 0.873 | 0.938 | 0.926 | 0.661 | ||
| 2018 | 0.932 | 0.608 | 0.861 | 0.321 | ||
| 2019 | 0.941 | 0.541 | 0.869 | 0.312 | ||
| 2020 | 0.97 | 0.525 | 0.877 | 0.305 | ||
| 2021 | 0.984 | 0.486 | 0.93 | 0.25 | ||
| 2022 | 0.8 | 0.634 | 0.403 | 0.384 | ||
| 2023 | 0.64 | 0.748 | 0.542 | 0.425 | ||
| Variable | High environmental performance | |||||
|---|---|---|---|---|---|---|
| S1 | S2 | S3 | S4 | S5 | S6 | |
| GDP per capita | ● | ● | ● | ● | ● | |
| Secondary industry value added | ● | ● | ● | ● | U | |
| Fiscal expenditure | ● | ● | ● | U | ||
| Policy input | U | ● | U | ● | U | |
| Public supervision | ● | U | ● | ● | ||
| Media supervision | ● | ● | ● | ● | ||
| Consistency | 0.823 | 0.802 | 0.907 | 0.933 | 0.908 | 0.858 |
| PRI | 0.747 | 0.72 | 0.87 | 0.894 | 0.856 | 0.717 |
| Coverage | 0.287 | 0.361 | 0.225 | 0.171 | 0.167 | 0.065 |
| Unique coverage | 0.01 | 0.048 | 0.071 | 0.089 | 0.027 | 0.022 |
| Between-group consistency adjustment distance | 0.049 | 0.055 | 0.0524 | 0.058 | 0.056 | 0.057 |
| Within-group consistency adjustment distance | 0.059 | 0.067 | 0.053 | 0.033 | 0.054 | 0.053 |
| Overall consistency | 0.842 | |||||
| Overall PRI | 0.793 | |||||
| Overall coverage | 0.617 | |||||
| Region | S1 | S2 | S3 | S4 | S5 | S6 |
|---|---|---|---|---|---|---|
| Eastern region | 0.303 | 0.317 | 0.337 | 0.163 | 0.166 | 0.332 |
| Central region | 0.335 | 0.414 | 0.204 | 0.387 | 0.179 | 0.039 |
| Western region | 0.27 | 0.449 | 0.214 | 0.251 | 0.282 | 0.0523 |
| Northeastern region | 0.151 | 0.167 | 0.143 | 0.2631 | 0.071 | 0.209 |
Disclaimer/Publisher’s Note: The statements, opinions and data contained in all publications are solely those of the individual author(s) and contributor(s) and not of MDPI and/or the editor(s). MDPI and/or the editor(s) disclaim responsibility for any injury to people or property resulting from any ideas, methods, instructions or products referred to in the content. |
© 2026 by the authors. Licensee MDPI, Basel, Switzerland. This article is an open access article distributed under the terms and conditions of the Creative Commons Attribution (CC BY) license (http://creativecommons.org/licenses/by/4.0/).