Submitted:
13 April 2026
Posted:
15 April 2026
You are already at the latest version
Abstract
Keywords:
1. Introduction
2. Near-Field and Far-Field Tsunami Characteristics
3. Simulation-Based Tsunami Fragility Modeling for Near-Field Tsunamis
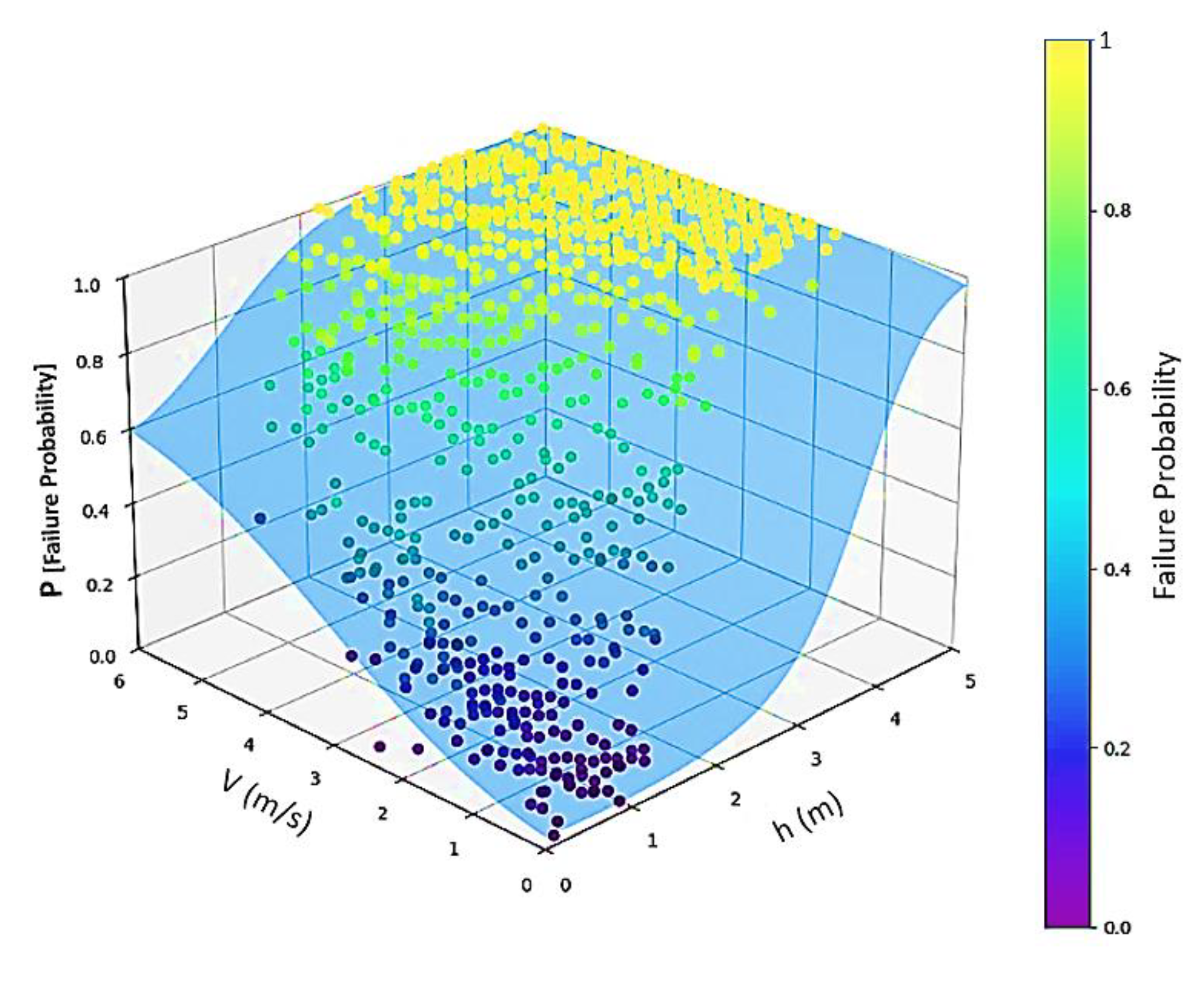
3.1. Near-Field Tsunami Fragility Simulation
3.2. Near-Field Tsunami Fragility Response
4. Post-Tsunami Damage Survey
4.1. Damage Survey Data and Information
4.2. Observations on Near-Field Tsunamis from Damage Survey
5. Calibration Challenges for Near-Field Tsunami Fragility
6. Summary and Conclusions
Acknowledgments
References
- Alam, M.S.; Barbosa, A.R.; Scott, M.H.; Cox, D.T.; van de Lindt, J.W. Multi-hazard Earthquake-Tsunami Structural Fragility Assessment Framework. Proc. 13th Int. Conf. Appl. Stat. Probab. Civ. Eng. ICASP13 2019, vol. 1, 1318–25. [Google Scholar] [CrossRef]
- Amini, M.; Sanderson, D.R.; Cox, D.T.; Barbosa, A.R.; Rosenheim, N. Methodology to incorporate seismic damage and debris to evaluate strategies to reduce life safety risk for multi-hazard earthquake and tsunami. In Nat Hazards; 2023. [Google Scholar] [CrossRef]
- Charvet, I.; Suppasri, A.; Kimura, H.; Sugawara, D.; Imamura, F. A multivariate generalized linear tsunami fragility model for Kesennuma City based on maximum flow depths, velocities and debris impact, with evaluation of predictive accuracy. Nat Hazards 2015, 79, 2073–99. [Google Scholar] [CrossRef]
- Foytong, P.; Ruangrassamee, A.; Lukkunaprasit, P.; Thanasisathit, N. Behaviours of reinforced-concrete building under tsunami loading. IES J Part Civ Struct Eng 2015, 8, 101–10. [Google Scholar] [CrossRef]
- Geist, E.L.; Parsons, T. Probabilistic Analysis of Tsunami Hazards*. Nat Hazards 2006, 37, 277–314. [Google Scholar] [CrossRef]
- Probabilistic Tsunami Hazard Analysis: Multiple Sources and Global Applications - Grezio - 2017 - Reviews of Geophysics - Wiley Online Library. n.d. Available online: https://agupubs.onlinelibrary.wiley.com/doi/full/10.1002/2017RG000579 (accessed on 22 March 2026).
- Cornell, C.A. Engineering seismic risk analysis. Bull Seismol Soc Am 1968, 58, 1583–606. [Google Scholar] [CrossRef]
- Vamvatsikos, D.; Cornell, C.A. Incremental dynamic analysis. Earthq Eng Struct Dyn 2002, 31, 491–514. [Google Scholar] [CrossRef]
- Ibarra, L.F.; Krawinkler, H. Global Collapse of Frame Structures under Seismic Excitations; 2005. [Google Scholar]
- Mori, N.; Goda, K.; Cox, D. Recent Process in Probabilistic Tsunami Hazard Analysis (PTHA) for Mega Thrust Subduction Earthquakes. In 2011 Jpn. Earthq. Tsunami Reconstr. Restor. Insights Assess. 5 Years; Santiago-Fandiño, V., Sato, S., Maki, N., Iuchi, K., Eds.; Springer International Publishing: Cham, 2018; pp. 469–85. [Google Scholar] [CrossRef]
- Behrens, J.; Løvholt, F.; Jalayer, F.; Lorito, S.; Salgado-Gálvez, M.A.; Sørensen, M.; et al. Probabilistic Tsunami Hazard and Risk Analysis: A Review of Research Gaps. Front Earth Sci 2021, 9, 628772. [Google Scholar] [CrossRef]
- Reis, C.; Baptista, M.A.; Lopes, M.; Oliveira, C.S.; Clain, S. Cascade earthquake and tsunami hazard assessment: A deterministic perspective for engineering purposes. Int J Disaster Risk Reduct 2022, 75, 102952. [Google Scholar] [CrossRef]
- Ma, T.; Shen, L.; Chen, Z.; Liang, D. Review on tsunami research and risk mitigation: from prediction models to resilient coastal communities. Npj Nat Hazards 2026, 3, 34. [Google Scholar] [CrossRef]
- Zamora, N.; Grezio, A.; Papathoma-Köhle, M.; Jalayer, F.; Salmanidou, D.; Parsons, T.; et al. Frameworks for Assessing Tsunami Hazard and Risk. In Probabilistic Tsunami Hazard Risk Anal. Cookb.; Sørensen, M.B., Behrens, J., Jalayer, F., Løvholt, F., Lorito, S., Rafliana, I., et al., Eds.; Springer Nature Switzerland: Cham, 2026; pp. 13–86. [Google Scholar] [CrossRef]
- Gibbons, S.J.; Lorito, S.; Macías, J.; Løvholt, F.; Selva, J.; Volpe, M.; et al. Probabilistic Tsunami Hazard Analysis: High Performance Computing for Massive Scale Inundation Simulations. Front Earth Sci 2020, 8. [Google Scholar] [CrossRef]
- Gunawan, W.C.; Alhamid, A.K.; Akiyama, M.; Permana, M.F.; Farid, M.; Kurniawan, A.; et al. Probabilistic tsunami risk assessment based on supervised learning considering nonstationary sea-level rise and multiple source rupture: Application to Denpasar City of Bali. Prog Disaster Sci 2026, 29, 100505. [Google Scholar] [CrossRef]
- De Risi, R.; Goda, K. Probabilistic Earthquake-tsunami Hazard Assessment: The First Step Towards Resilient Coastal Communities. Procedia Eng 2017, 198, 1058–69. [Google Scholar] [CrossRef]
- Renn, O. New challenges for risk analysis: systemic risks. J Risk Res 2021, 24, 127–33. [Google Scholar] [CrossRef]
- Rafliana, I.; Jalayer, F.; Cerase, A.; Cugliari, L.; Baiguera, M.; Salmanidou, D.; et al. Tsunami risk communication and management: Contemporary gaps and challenges. Int J Disaster Risk Reduct 2022, 70, 102771. [Google Scholar] [CrossRef]
- Jalayer, F.; Ebrahimian, H.; Trevlopoulos, K.; Bradley, B. Empirical tsunami fragility modelling for hierarchical damage levels. Nat Hazards Earth Syst Sci 2023, 23, 909–31. [Google Scholar] [CrossRef]
- Charvet, I.; Macabuag, J.; Rossetto, T. Estimating Tsunami-Induced Building Damage through Fragility Functions: Critical Review and Research Needs. Front Built Environ 2017, 3. [Google Scholar] [CrossRef]
- Attary, N.; Van De Lindt, J.W.; Barbosa, A.R.; Cox, D.T.; Unnikrishnan, V.U. Performance-Based Tsunami Engineering for Risk Assessment of Structures Subjected to Multi-Hazards: Tsunami following Earthquake. J Earthq Eng 2021, 25, 2065–84. [Google Scholar] [CrossRef]
- O’BRIEN, K.; ERIKSEN, S.; NYGAARD, L.P.; SCHJOLDEN, A. Why different interpretations of vulnerability matter in climate change discourses. Clim Policy 2007, 7, 73–88. [Google Scholar] [CrossRef]
- Xiong, Y.; Liang, Q.; Park, H.; Cox, D.; Wang, G. A deterministic approach for assessing tsunami-induced building damage through quantification of hydrodynamic forces. Coast Eng 2019, 144, 1–14. [Google Scholar] [CrossRef]
- Rodwell, J.; Williams, J.H.; Paulik, R. Empirical Fragility Assessment of Three-Waters and Railway Infrastructure Damaged by the 2015 Illapel Tsunami, Chile. J Mar Sci Eng 2023, 11, 1991. [Google Scholar] [CrossRef]
- Oddo, M.C.; Cavaleri, L. Earthquake-tsunami combined fragility curves for coastal masonry buildings: a numerical-analytical approach. Bull Earthq Eng 2025. [Google Scholar] [CrossRef]
- Sannikova, N.K.; Segur, H.; Arcas, D. Influence of Tsunami Aspect Ratio on Near and Far-Field Tsunami Amplitude. Geosciences 2021, 11, 178. [Google Scholar] [CrossRef]
- Sharrocks, P.D.; Peakall, J.; Hodgson, D.M.; Barlow, N.L.M. Tsunami versus storms: Diagnostic sedimentary criteria in coastal lakes, lagoons and sinkhole deposits. Earth-Sci Rev 2025, 271, 105277. [Google Scholar] [CrossRef]
- Laksono, F.A.T.; Mishra, M.; Fadlin; Kovács, J. Exploring the tsunami generation potential of major faults in the sicilian channel using 3D numerical modeling. Ocean Model 2026, 199, 102625. [Google Scholar] [CrossRef]
- Tappin, D.R. The Generation of Tsunamis. In Encycl. Marit. Offshore Eng.; John Wiley & Sons, Ltd., 2017; pp. 1–10. [Google Scholar] [CrossRef]
- Vilibić, I.; Zemunik Selak, P.; Šepić, J. Meteorological Tsunamis: From Local Hazard to Global Relevance. Rev Geophys 2025, 63, e2024RG000867. [Google Scholar] [CrossRef]
- Schindelé, F.; Kong, L.; Lane, E.M.; Paris, R.; Ripepe, M.; Titov, V.; et al. A Review of Tsunamis Generated by Volcanoes (TGV) Source Mechanism, Modelling, Monitoring and Warning Systems. Pure Appl Geophys 2024, 181, 1745–92. [Google Scholar] [CrossRef]
- Abdelhafeez, M.; Park, H.; Sherif, M.; Ghanem, A.; Moon, D.-S. Effects of tsunami wave and bathymetric parameters on hydrodynamic forces and structural fragility. J Build Eng 2026, 118, 115077. [Google Scholar] [CrossRef]
- Kolukula, S.S.; Murty, P.L.N.; Kumar, T.S.; Ramarao, E.P.; M. V, R.M. Tsunami modelling over global oceans. R Soc Open Sci 2025, 12, 241128. [Google Scholar] [CrossRef]
- Tsunami Hazard Assessment Based on Wave Generation, Propagation, and Inundation Modeling for the U.S. East Coast (NUREG/CR-7222) | Nuclear Regulatory Commission. n.d. Available online: https://www.nrc.gov/reading-rm/doc-collections/nuregs/contract/cr7222/index (accessed on 22 March 2026).
- Koshimura, S.; Oie, T.; Yanagisawa, H.; Imamura, F. Developing Fragility Functions for Tsunami Damage Estimation Using Numerical Model and Post-Tsunami Data from Banda Aceh, Indonesia. Coast Eng J 2009, 51, 243–73. [Google Scholar] [CrossRef]
- Sturm, M.; Gems, B.; Keller, F.; Mazzorana, B.; Fuchs, S.; Papathoma-Köhle, M.; et al. Experimental analyses of impact forces on buildings exposed to fluvial hazards. J Hydrol 2018, 565, 1–13. [Google Scholar] [CrossRef]
- Koh, M.J.; Park, H.; Kim, A.S. Tsunami-driven debris hazard assessment at a coastal community: Focusing on shipping container debris hazards at Honolulu Harbor, Hawaii. Coast Eng 2024, 187, 104408. [Google Scholar] [CrossRef]
- Nistor, I.; Goseberg, N.; Stolle, J. Tsunami-Driven Debris Motion and Loads: A Critical Review. Front Built Environ 2017, 3. [Google Scholar] [CrossRef]
- De Risi, R.; Goda, K.; Yasuda, T.; Mori, N. Is flow velocity important in tsunami empirical fragility modeling? Earth-Sci Rev 2017, 166, 64–82. [Google Scholar] [CrossRef]
- Park, H.; Cox, D.T. Probabilistic assessment of near-field tsunami hazards: Inundation depth, velocity, momentum flux, arrival time, and duration applied to Seaside, Oregon. Coast Eng 2016, 117, 79–96. [Google Scholar] [CrossRef]
- Del Zoppo, M.; Di Ludovico, M.; Lignola, G.P.; Prota, A. Time-dependent tsunami fragility analysis for reinforced concrete building stock. Eng Struct 2025, 330, 119931. [Google Scholar] [CrossRef]
- Harati, M.; van de Lindt, J.W. Data-driven machine learning for multi-hazard fragility surfaces in seismic resilience analysis. Comput-Aided Civ Infrastruct Eng 2024, mice.13356. [Google Scholar] [CrossRef]
- Reis, C.; Lopes, M.; Baptista, M.A.; Clain, S. Towards an integrated framework for the risk assessment of coastal structures exposed to earthquake and tsunami hazards. Resilient Cities Struct 2022, 1, 57–75. [Google Scholar] [CrossRef]
- Considering the Potential Impact of Tsunamis on Structures. n.d. Available online: https://www.structuremag.org/article/considering-the-potential-impact-of-tsunamis-on-structures/ (accessed on 22 March 2026).
- Rea, R.; Scala, A.; Bernardi, F.; Elia, L.; Lorito, S.; Colombelli, S.; et al. Feasibility study of an integrated earthquake and tsunami early warning system. Sci Rep 2025, 15, 43124. [Google Scholar] [CrossRef]
- Belliazzi, S.; Lignola, G.P.; Palermo, D. Simplified structural analysis framework for buildings under combined earthquake and tsunami loads. Structures 2025, 77, 109206. [Google Scholar] [CrossRef]
- Macabuag, J.; Rossetto, T.; Ioannou, I.; Eames, I. Investigation of the Effect of Debris-Induced Damage for Constructing Tsunami Fragility Curves for Buildings. Geosciences 2018, 8, 117. [Google Scholar] [CrossRef]
- Park, S.; van de Lindt, J.W.; Cox, D.; Gupta, R.; Aguiniga, F. Successive Earthquake-Tsunami Analysis to Develop Collapse Fragilities. J Earthq Eng 2012, 16, 851–63. [Google Scholar] [CrossRef]
- Goda, K.; Catalan, P.A. Risk-based multi-hazard microzonation for earthquakes and tsunamis. Front Earth Sci 2025, 13. [Google Scholar] [CrossRef]
- Grezio, A.; Babeyko, A.; Baptista, M.A.; Behrens, J.; Costa, A.; Davies, G.; et al. Probabilistic Tsunami Hazard Analysis: Multiple Sources and Global Applications. Rev Geophys 2017, 55, 1158–98. [Google Scholar] [CrossRef]
- Alam, M.S.; Barbosa, A.R.; Scott, M.H.; Cox, D.T.; van de Lindt, J.W. Development of Physics-Based Tsunami Fragility Functions Considering Structural Member Failures. J Struct Eng 2018, 144, 04017221. [Google Scholar] [CrossRef]
- Alam, M.S.; Winter, A.O.; Galant, G.; Shekhar, K.; Barbosa, A.R.; Motley, M.R.; et al. Tsunami-Like Wave-Induced Lateral and Uplift Pressures and Forces on an Elevated Coastal Structure. J Waterw Port Coast Ocean Eng 2020, 146, 04020008. [Google Scholar] [CrossRef]
- Attary, N.; Unnikrishnan, V.U.; van de Lindt, J.W.; Cox, D.T.; Barbosa, A.R. Performance-Based Tsunami Engineering methodology for risk assessment of structures. Eng Struct 2017, 141, 676–86. [Google Scholar] [CrossRef]
- Harati, M.; van de Lindt, J.W. Physics-based earthquake-tsunami fragility surfaces for risk and resilience analysis; 2024. [Google Scholar] [CrossRef]
- FEMA P-646 Guidelines for Design of Structures for Vertical Evacuation from Tsunamis, 3rd Edition | WBDG - Whole Building Design Guide 2019. Available online: https://www.wbdg.org/ffc/dhs/criteria/femap646 (accessed on 30 November 2022).
- Harati, M.; van de Lindt, J.W. Methodology to generate earthquake-tsunami fragility surfaces for community resilience modeling. Eng Struct 2024, 305, 117700. [Google Scholar] [CrossRef]
- Harati, van de Lindt. Impact of Long-duration Earthquakes on Successive Earthquake-tsunami Fragilities for Reinforced Concrete Frame Archetypes. J Struct Eng 2024, 150, 1–19. [Google Scholar] [CrossRef]
- Harati, M.; van de Lindt, J.W. Mainshock-aftershock building fragility methodology for community resilience modeling. Structures 2024, 70, 107742. [Google Scholar] [CrossRef]
- Harati, Mojtaba; van de Lindt, John W. Fragility Function Development of RC Building Portfolio for Use in Earthquake-Tsunami Community Resilience Studies. J Perform Constr Facil 2024. [Google Scholar] [CrossRef]
- Harati, Mojtaba; van de Lindt, John W. Community-Level Resilience Analysis using Earthquake-Tsunami Fragility Surfaces. Resilient Cities Struct, 2024. [Google Scholar]
- Haselton, C.B.; Liel, A.B.; Deierlein, G.G.; Dean, B.S.; Chou, J.H. Seismic Collapse Safety of Reinforced Concrete Buildings. I: Assessment of Ductile Moment Frames. J Struct Eng 2011, 137, 481–91. [Google Scholar] [CrossRef]
- Liel, A.B.; Haselton, C.B.; Deierlein, G.G. Seismic Collapse Safety of Reinforced Concrete Buildings. II: Comparative Assessment of Nonductile and Ductile Moment Frames. J Struct Eng 2011, 137, 492–502. [Google Scholar] [CrossRef]
- Dias, W.P.S.; Yapa, H.D.; Peiris, L.M.N. Tsunami vulnerability functions from field surveys and Monte Carlo simulation. Civ Eng Environ Syst 2009, 26, 181–94. [Google Scholar] [CrossRef]
- Suppasri, A.; Mas, E.; Charvet, I.; Gunasekera, R.; Imai, K.; Fukutani, Y.; et al. Building damage characteristics based on surveyed data and fragility curves of the 2011 Great East Japan tsunami. Nat Hazards 2013, 66, 319–41. [Google Scholar] [CrossRef]
- Scorzini, A.R.; Di Bacco, M.; Sugawara, D.; Suppasri, A. Extended MLIT dataset for the 2011 Great East Japan tsunami with inclusion of velocity information 2024;1. [CrossRef]
- Scorzini, A.R.; Di Bacco, M.; Sugawara, D.; Suppasri, A. Machine learning and hydrodynamic proxies for enhanced rapid tsunami vulnerability assessment. Commun Earth Environ 2024, 5, 301. [Google Scholar] [CrossRef]
- van de Lindt, J.W.; Kruse, J.; Cox, D.T.; Gardoni, P.; Lee, J.S.; Padgett, J.; et al. The interdependent networked community resilience modeling environment (IN-CORE). Resilient Cities Struct 2023, 2, 57–66. [Google Scholar] [CrossRef]












Disclaimer/Publisher’s Note: The statements, opinions and data contained in all publications are solely those of the individual author(s) and contributor(s) and not of MDPI and/or the editor(s). MDPI and/or the editor(s) disclaim responsibility for any injury to people or property resulting from any ideas, methods, instructions or products referred to in the content. |
© 2026 by the authors. Licensee MDPI, Basel, Switzerland. This article is an open access article distributed under the terms and conditions of the Creative Commons Attribution (CC BY) license.