Submitted:
09 April 2026
Posted:
10 April 2026
You are already at the latest version
Abstract
Keywords:
1. Introduction
2. Materials and Methods
2.1. Animals, Management, and Treatments
2.2. Nutrient Intake and Apparent Digestibility
2.3. In Situ Degradability Assessment
2.4. Ruminal Fluid Sampling
2.5. Chemical Analysis
2.6. Statistical Analyses
3. Results
3.1. Nutrient’s Intake
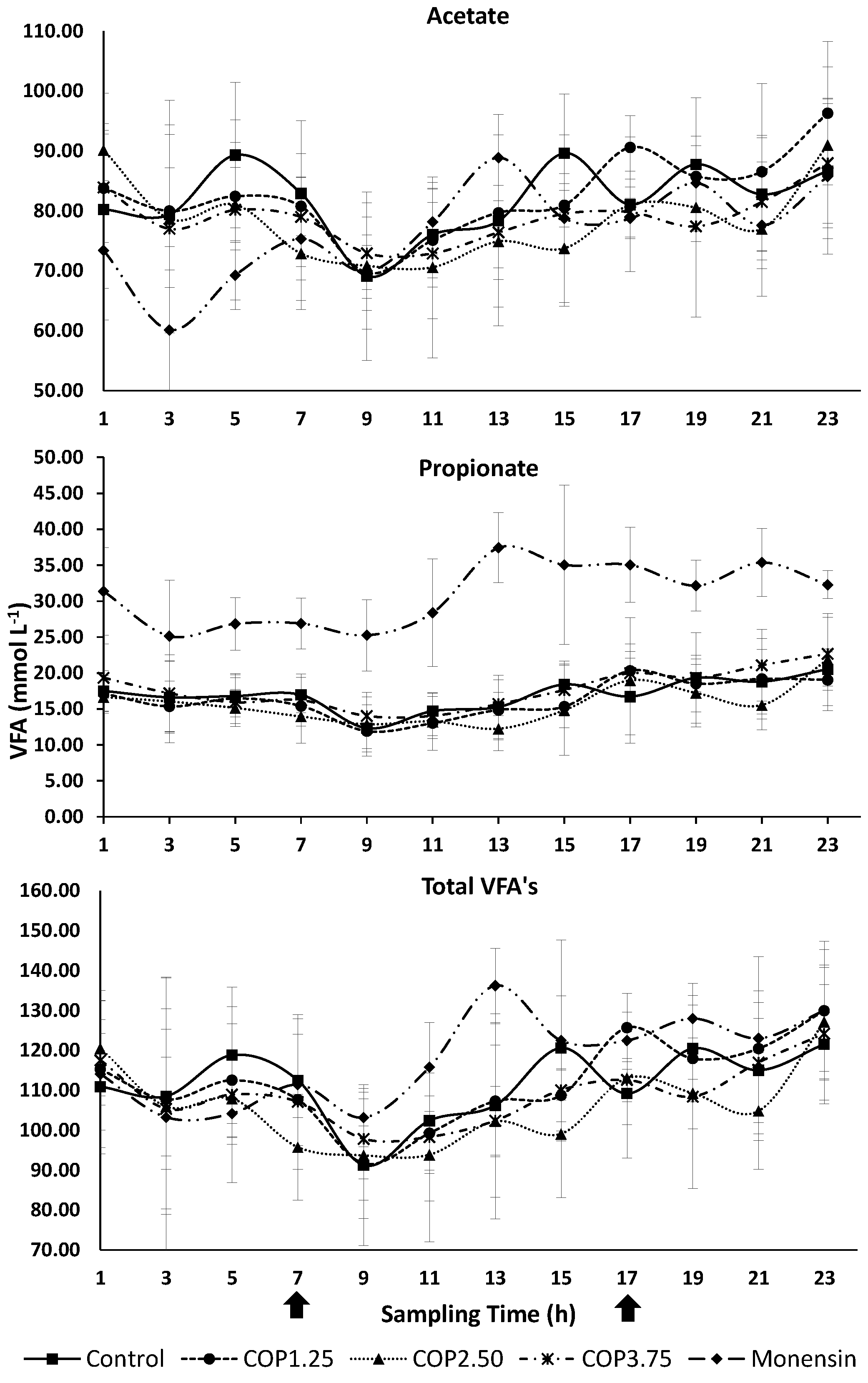
3.2. Ruminal Variables
4. Discussion
5. Conclusions
Author Contributions
Funding
Institutional Review Board Statement
Informed Consent Statement
Data Availability Statement
Conflicts of Interest
References
- Calsamiglia, S.; Busquet, M.; Cardozo, P.W.; Castillejos, L.; Ferret, A. Invited Review: Essential Oils as Modifiers of Rumen Microbial Fermentation. J Dairy Sci 2007, 90. [CrossRef]
- Patra, A.K. Effects of Essential Oils on Rumen Fermentation, Microbial Ecology and Ruminant Production. Asian J Anim Vet Adv 2011, 6. [CrossRef]
- Rofiq, M.N. The Use of Plant Essential Oils as Feed Additives for Ruminants. Indonesian Bulletin of Animal and Veterinary Sciences 2016, 26. [CrossRef]
- LUO, Z.; LIU, T.; CAIRANG, D.; CHENG, S.; HU, J.; SHI, B.; ZHU, H.; CHEN, H.; ZHANG, T.; YI, X. Oregano Essential Oil as a Natural Plant Additive Affects Growth Performance and Serum Antibody Levels by Regulating the Rumen Microbiota of Calves. Animals 2024, 14. [CrossRef]
- EZAR, A.; SARAH, D.; ARDIAN, A.; ANAS, M.; APRIANTO, M.; HANIM, C.; KURNIAWATI, A.; MUHLISIN, M.; YUSIATI, L. M. Effect of nutmeg essential oil (Myristica fragrans Houtt.) on methane production, rumen fermentation, and nutrient digestibility in vitro. Scientific Reports, 2024, 14, doi:org/10.1038/s41598-024-52532-3.
- KARA, K.; PIRCI, G. Immunity, rumen metagenomics, ruminal variables, and growth performance of calves fed milk with sage (Salvia officinalis) essential oil. Tropical Animal Health and Production, 2024, 56, doi:org/10.1007/s11250-023-03831-w .
- Leandro, L.M.; De Sousa Vargas, F.; Barbosa, P.C.S.; Neves, J.K.O.; Da Silva, J.A.; Da Veiga-Junior, V.F. Chemistry and Biological Activities of Terpenoids from Copaiba (Copaifera Spp.) Oleoresins. Molecules 2012, 17. [CrossRef]
- Tobouti, P.L.; de Andrade Martins, T.C.; Pereira, T.J.; Mussi, M.C.M. Antimicrobial Activity of Copaiba Oil: A Review and a Call for Further Research. Biomedicine & Pharmacotherapy 2017, 94. [CrossRef]
- Alencar, É.N.; Xavier-Júnior, F.H.; Morais, A.R. V.; Dantas, T.R.F.; Dantas-Santos, N.; Verissimo, L.M.; Rehder, V.L.G.; Chaves, G.M.; Oliveira, A.G.; Egito, E.S.T. Chemical Characterization and Antimicrobial Activity Evaluation of Natural Oil Nanostructured Emulsions. J Nanosci Nanotechnol 2015, 15. [CrossRef]
- National Research Council Nutrient Requirements of Beef Cattle; National Academies Press: Washington, D.C., 2000; ISBN 978-0-309-06934-2.
- Cortada, I. M.; Vedovatto, M.; D'Oliveira, M. C.; Bento, A. L. L.; Gaspar, A. O.; Franco, G. L. Effects of antibiotic growth promoters and concentrate on intake, digestibility, degradability, and ruminal variables in beef steers. Arquivo Brasileiro de Medicina Veterinária e Zootecnia, 2022, 74, doi:org/10.1590/1678-4162-12389 .
- Ørskov, E.R.; McDonald, I. The Estimation of Protein Degradability in the Rumen from Incubation Measurements Weighted According to Rate of Passage. J Agric Sci 1979, 92. [CrossRef]
- Huntington, J.A.; Givens, D.I. The in Situ Technique for Studying Rumen Degradation of Feeds: A Review of the Procedure; 1995.
- Association of Official Analytical Chemists Official Methods of Analysis; 15th ed.; Association of Official Analytical Chemists: Washington, DC, USA, 1990.
- Van Soest, P.J.; Robertson, J.B.; Lewis, B.A. Methods for Dietary Fiber, Neutral Detergent Fiber, and Nonstarch Polysaccharides in Relation to Animal Nutrition. J Dairy Sci 1991, 74. [CrossRef]
- Sniffen, C.J.; O’Connor, J.D.; Van Soest, P.J.; Fox, D.G.; Russell, J.B. A Net Carbohydrate and Protein System for Evaluating Cattle Diets: II. Carbohydrate and Protein Availability. J Anim Sci 1992, 70. [CrossRef]
- Hall, M.B. Calculation of Non-Structural Carbohydrate Content of Feeds That Contain Non-Protein Nitrogen; Gainesville, 2000.
- Fenner, H. Method for Determining Total Volatile Bases in Rumen Fluid by Steam Distillation. J Dairy Sci 1965, 48. [CrossRef]
- Ribeiro, S.S.; Vasconcelos, J.T.; Morais, M.G.; Ítavo, C.B.C.F.; Franco, G.L. Effects of Ruminal Infusion of a Slow-Release Polymer-Coated Urea or Conventional Urea on Apparent Nutrient Digestibility, in Situ Degradability, and Rumen Parameters in Cattle Fed Low-Quality Hay. Anim Feed Sci Technol 2011, 164. [CrossRef]
- Erwin, E.S.; Marco, G.J.; Emery, E.M. Volatile Fatty Acid Analyses of Blood and Rumen Fluid by Gas Chromatography. J Dairy Sci 1961, 44. [CrossRef]
- Tomkins, N.W.; Denman, S.E.; Pilajun, R.; Wanapat, M.; McSweeney, C.S.; Elliott, R. Manipulating Rumen Fermentation and Methanogenesis Using an Essential Oil and Monensin in Beef Cattle Fed a Tropical Grass Hay. Anim Feed Sci Technol 2015, 200. [CrossRef]
- Vendramini, T.H.A.; Takiya, C.S.; Silva, T.H.; Zanferari, F.; Rentas, M.F.; Bertoni, J.C.; Consentini, C.E.C.; Gardinal, R.; Acedo, T.S.; Rennó, F.P. Effects of a Blend of Essential Oils, Chitosan or Monensin on Nutrient Intake and Digestibility of Lactating Dairy Cows. Anim Feed Sci Technol 2016, 214. [CrossRef]
- Silvestre, T., Martins, L. F., Cueva, S. F., Wasson, D. E., Stepanchenko, N., Räisänen, S. E., Somai, S., Hile, M.L. & Hristov, A. N. (2023). Lactational performance, rumen fermentation, nutrient use efficiency, enteric methane emissions, and manure greenhouse gas-emitting potential in dairy cows fed a blend of essential oils. Journal of dairy science, 106(11), 7661-7674. Doi:org/10.3168/jds.2022-23181.
- Cobellis, G.; Acuti, G.; Forte, C.; Menghini, L.; De Vincenzi, S.; Orrù, M.; Valiani, A.; Pacetti, D.; Trabalza-Marinucci, M. Use of Rosmarinus Officinalis in Sheep Diet Formulations: Effects on Ruminal Fermentation, Microbial Numbers and in Situ Degradability. Small Ruminant Research 2015, 126. [CrossRef]
- Ahvanooei, M. R.; Norouzian, M. A.; Piray, A. H.; Vahmani, P.; Ghaffari, M. H. Effects of monensin supplementation on rumen fermentation, methane emissions, nitrogen balance, and metabolic responses of dairy cows: A systematic review and dose-response meta-analysis. Journal of Dairy Science, 2024, 107, doi:org/10.1016/j.anifeedsci.2021.114886 ..
- Russell, J.B.; Strobel, H.J. Effect of Ionophores on Ruminal Fermentation. Appl Environ Microbiol 1989, 55. [CrossRef]
- Bell, N.L.; Anderson, R.C.; Callaway, T.R.; Franco, M.O.; Sawyer, J.E.; Wickersham, T.A. Effect of Monensin Inclusion on Intake, Digestion, and Ruminal Fermentation Parameters by Bos Taurus Indicus and Bos Taurus Taurus Steers Consuming Bermudagrass Hay. J Anim Sci 2017, 95. [CrossRef]
- Teobaldo, R. W.; De Paula, N. F.; Zervoudakis, J. T.; Fonseca, M. A.; Cabral, L. S.; Martello, H. F.; Rocha, J.K.L.; Ribeiro, I.J.; Mundim, A. T. Inclusion of a blend of copaiba, cashew nut shell and castor oil in the protein-energy supplement for grazing beef cattle improves rumen fermentation, nutrient intake and fibre digestibility. Animal Production Science, 2020, 60, doi:org/10.1071/AN18725.
- Cobellis, G.; Trabalza-Marinucci, M.; Yu, Z. Critical Evaluation of Essential Oils as Rumen Modifiers in Ruminant Nutrition: A Review. Science of The Total Environment 2016, 545–546. [CrossRef]
- Ellis, W.C.; Horn, G.W.; Delaney, D.; Pond, K.R. Effects of Ionophores on Grazed Forage Utilization and Their Economic Value for Cattle on Wheat Pasture. In Proceedings of the National wheat pasture symposium; Oklahoma Agricultural Experiment Station, 1983; pp. 343–345.
- Suksombat, W.; Nanon, A.; Meeprom, C.; Lounglawan, P. Feed Degradability, Rumen Fermentation and Blood Metabolites in Response to Essential Oil Addition to Fistulated Non-lactating Dairy Cow Diets. Animal Science Journal 2017, 88. [CrossRef]
- Hart, K.J.; Yáñez-Ruiz, D.R.; Duval, S.M.; McEwan, N.R.; Newbold, C.J. Plant Extracts to Manipulate Rumen Fermentation. Anim Feed Sci Technol 2008, 147. [CrossRef]
- Silva, G. G.; Takiya, C. S.; Del Valle, T. A.; de Jesus, E. F.; Grigoletto, N. T.; Nakadonari, B.; Cortinhas, C.S. Acedo, T.S.; Rennó, F.P. Nutrient digestibility, ruminal fermentation, and milk yield in dairy cows fed a blend of essential oils and amylase. Journal of dairy science, 2018, 101, doi:org/10.3168/jds.2018-14789.
- Kolver, E.S.; de Veth, M.J. Prediction of Ruminal PH from Pasture-Based Diets. J Dairy Sci 2002, 85. [CrossRef]
- Grant, R.H.; Mertens, D.R. Influence of Buffer PH and Raw Corn Starch Addition on In Vitro Fiber Digestion Kinetics. J Dairy Sci 1992, 75. [CrossRef]
- Chibisa, G.E.; Beauchemin, K.A.; Penner, G.B. Relative Contribution of Ruminal Buffering Systems to PH Regulation in Feedlot Cattle Fed Either Low- or High-Forage Diets. Animal 2016, 10. [CrossRef]
- Anassori, E.; Dalir-Naghadeh, B.; Pirmohammadi, R.; Taghizadeh, A.; Asri-Rezaei, S.; Maham, M.; Farahmand-Azar, S.; Farhoomand, P. Garlic: A Potential Alternative for Monensin as a Rumen Modifier. Livest Sci 2011, 142. [CrossRef]
- Bergen, W.G.; Bates, D.B. Ionophores: Their Effect on Production Efficiency and Mode of Action. J Anim Sci 1984, 58. [CrossRef]




| Component (g kg-1 from DM) | Concentrate supplement1 | Hay |
|---|---|---|
| Dry matter | 889.66 | 879.63 |
| Organic Matter | 928.33 | 922.57 |
| Crude Protein | 164.59 | 27.61 |
| Neutral Detergent Fiber2 | 19.82 | 806.87 |
| Ether Extract | 24.89 | 12.77 |
| Non-Fiber Carbohydrates | 759.53 | 75.33 |
| Ash | 71.67 | 77.43 |
| Intake, kg d-1 | Treatments1 | SEM | P-value | ||||
|---|---|---|---|---|---|---|---|
| Control | COP1.25 | COP2.50 | COP3.75 | Monensin | |||
| Hay DM | 4.20ª | 4.21ª | 3.97ª | 4.02a | 3.11b | 0.226 | 0.0021 |
| Total DM | 8.37a | 8.40ª | 8.15ab | 8.20ab | 7.37b | 0.306 | 0.0326 |
| Hay CP | 0.12a | 0.12a | 0.10ab | 0.11ab | 0.08b | 0.009 | 0.0085 |
| Total CP | 0.80 | 0.81 | 0.79 | 0.79 | 0.78 | 0.019 | 0.6713 |
| Hay apNDF | 2.91ª | 2.92a | 2.72ª | 2.80a | 2.16b | 0.159 | 0.0024 |
| Total apNDF | 3.70a | 3.71a | 3.52ª | 3.60ª | 2.97b | 0.168 | 0.0045 |
| Hay EE | 0.06a | 0.06a | 0.05ab | 0.06a | 0.04b | 0.006 | 0.0423 |
| Total EE | 0.16 | 0.16 | 0.16 | 0.16 | 0.15 | 0.007 | 0.6263 |
| Hay NFC | 0.79a | 0.80a | 0.80a | 0.76ab | 0.59b | 0.056 | 0.0135 |
| Total NFC | 3.08 | 3.10 | 3.10 | 3.06 | 2.93 | 0.201 | 0.6257 |
| Hay OM | 3.87ª | 3.89ª | 3.68ª | 3.73ª | 2.88b | 0.016 | 0.0024 |
| Total OM | 7.74a | 7.78ª | 7.56ab | 7.61ab | 6.82b | 0.285 | 0.0333 |
| Hay DM | 0.33ª | 0.32ª | 0.29ª | 0.29ª | 0.24b | 0.016 | 0.0008 |
| Total DM | 0.63a | 0.62ª | 0.59ab | 0.59ab | 0.54b | 0.451 | 0.0019 |
| Intake, g kg-1 of BW | |||||||
| Hay DM | 13.15a | 13.15ª | 12.14a | 12.51a | 9.43b | 0.612 | 0.0003 |
| Total DM | 26.03a | 26.19a | 24.94a | 25.41a | 22.31b | 0.566 | 0.0001 |
| Hay CP | 0.39a | 0.37a | 0.34ab | 0.36ab | 0.25b | 0.038 | 0.0199 |
| Total CP | 2.51a | 2.52a | 2.44ab | 2.49a | 2.37b | 0.027 | 0.0006 |
| Hay apNDF | 9.12a | 9.11a | 8.36a | 8.73a | 6.54b | 0.447 | 0.0005 |
| Total apNDF | 11.55a | 11.58a | 10.78a | 11.17a | 8.97b | 0.433 | 0.0003 |
| Hay EE | 0.17a | 0.17a | 0.16ab | 0.17a | 0.13b | 0.011 | 0.0179 |
| Total EE | 0.49a | 0.50a | 0.48ab | 0.48ab | 0.45b | 0.012 | 0.0187 |
| Hay NFC | 2.44a | 2.50a | 2.39a | 2.32a | 1.79b | 0.139 | 0.0017 |
| Total NFC | 9.52a | 9.67a | 9.43a | 9.41ab | 8.87b | 0.173 | 0.0061 |
| Hay OM | 12.13a | 12.15a | 11.25ª | 11.58ª | 8.71b | 0.571 | 0.0003 |
| Total OM | 24.08ª | 24.26ª | 23.13ª | 23.55ª | 20.66b | 0.529 | 0.0001 |
| Hay DM | 1.03ª | 1.00ªb | 0.89b | 0.93ªb | 0.72c | 0.042 | <0.0001 |
| Total DM | 1.95a | 1.94ª | 1.81b | 1.86ab | 1.65c | 0.039 | <0.0001 |
| Digestibility2 | Treatments1 | SEM | P-value | ||||
|---|---|---|---|---|---|---|---|
| Control | COP1.25 | COP2.50 | COP3.75 | Monensin | |||
| DM (fraction 0-1) | 0.60 | 0.59 | 0.60 | 0.59 | 0.62 | 0.016 | 0.4977 |
| Digestible fraction (g kg-1 DM) | |||||||
| OM | 625.08 | 622.55 | 620.31 | 615.47 | 638.83 | 16,024 | 0.6691 |
| CP | 687.85 | 678.70 | 676.00 | 686.61 | 703.57 | 16,025 | 0.4848 |
| apNDF | 502.77 | 495.61 | 499.55 | 478.02 | 492.17 | 24,925 | 0.8746 |
| EE | 750.47 | 756.1 | 768.49 | 795.85 | 810.21 | 25,283 | 0.1456 |
| NFC | 741.76 | 749.34 | 737.08 | 748.48 | 759.16 | 31.513 | 0.9633 |
|
Degradation Parameters2 |
Treatments1 | SEM | P-value | ||||
| Control | COP1.25 | COP2.50 | COP3.75 | Monensin | |||
| DM (a = 23.16) | |||||||
| b | 44.64ab | 46.97a | 44.26ab | 43.84b | 39.46c | 0.963 | <0.0001 |
| c | 0.035a | 0.030ab | 0.034ab | 0.033ab | 0.025b | 0.003 | 0.0221 |
| ED3 | 51.02a | 48.81a | 50.03a | 49.47a | 43.82b | 1.354 | 0.0016 |
| NDF | |||||||
| b | 64.41a | 66.90a | 63.54a | 63.61a | 58.93b | 1.243 | 0.0006 |
| c | 0.034 | 0.030 | 0.033 | 0.032 | 0.027 | 0.003 | 0.2048 |
| ED | 26.02a | 24.33ab | 25.29a | 24.67ab | 20.15b | 1.654 | 0.0223 |
| Variable | Treatments1 | SEM | P-value | ||||||
|---|---|---|---|---|---|---|---|---|---|
| Control | COP1.25 | COP2.50 | COP3.75 | Monensin | Treat. | h | Treat. *h | ||
| Volatile fatty acids (mmol L-1) | |||||||||
| Acetate | 82.18 | 82.69 | 78.37 | 78.74 | 78.95 | 3.114 | 0.6435 | <0.0001 | 0.0056 |
| Propionate | 17.40b | 16.78b | 14.07b | 16.84b | 31.49a | 1.346 | <0.0001 | <0.0001 | <0.0001 |
| Butyrate | 12.52 | 13.03 | 11.57 | 12.33 | 9.62 | 1.247 | 0.1632 | <0.0001 | 0.1594 |
| Total VFA´s | 111.67 | 112.56 | 105.86 | 108.85 | 119.61 | 4.688 | 0.3088 | <0.0001 | 0.0002 |
| Ratio acetate: propionate |
4.98a | 5.25a | 5.26a | 4.61a | 2.61b | 0.357 | <0.0001 | <0.0001 | 0.2498 |
| Volatile fatty acids (mmol 100 mmol-1) | |||||||||
| Acetate | 73.65a | 74.03 a | 74.24 a | 72.73 a | 66.07 b | 0.468 | <0.0001 | <0.0001 | 0.1964 |
| Propionate | 14.97b | 14.78b | 13.34b | 15.92b | 26.33a | 0.994 | <0.0001 | <0.0001 | 0.0932 |
| Butyrate | 11.06a | 11.56a | 10.86a | 11.21a | 8.01b | 0.870 | 0.0090 | 0.0001 | 0.1256 |
Disclaimer/Publisher’s Note: The statements, opinions and data contained in all publications are solely those of the individual author(s) and contributor(s) and not of MDPI and/or the editor(s). MDPI and/or the editor(s) disclaim responsibility for any injury to people or property resulting from any ideas, methods, instructions or products referred to in the content. |
© 2026 by the authors. Licensee MDPI, Basel, Switzerland. This article is an open access article distributed under the terms and conditions of the Creative Commons Attribution (CC BY) license (http://creativecommons.org/licenses/by/4.0/).