Submitted:
07 April 2026
Posted:
08 April 2026
You are already at the latest version
Abstract
Keywords:
1. Introduction
2. Materials and Methods
2.1. Occurrence Data
2.2. Bioclimate Data
2.3. MaxEnt Model
2.4. CLIMEX Model
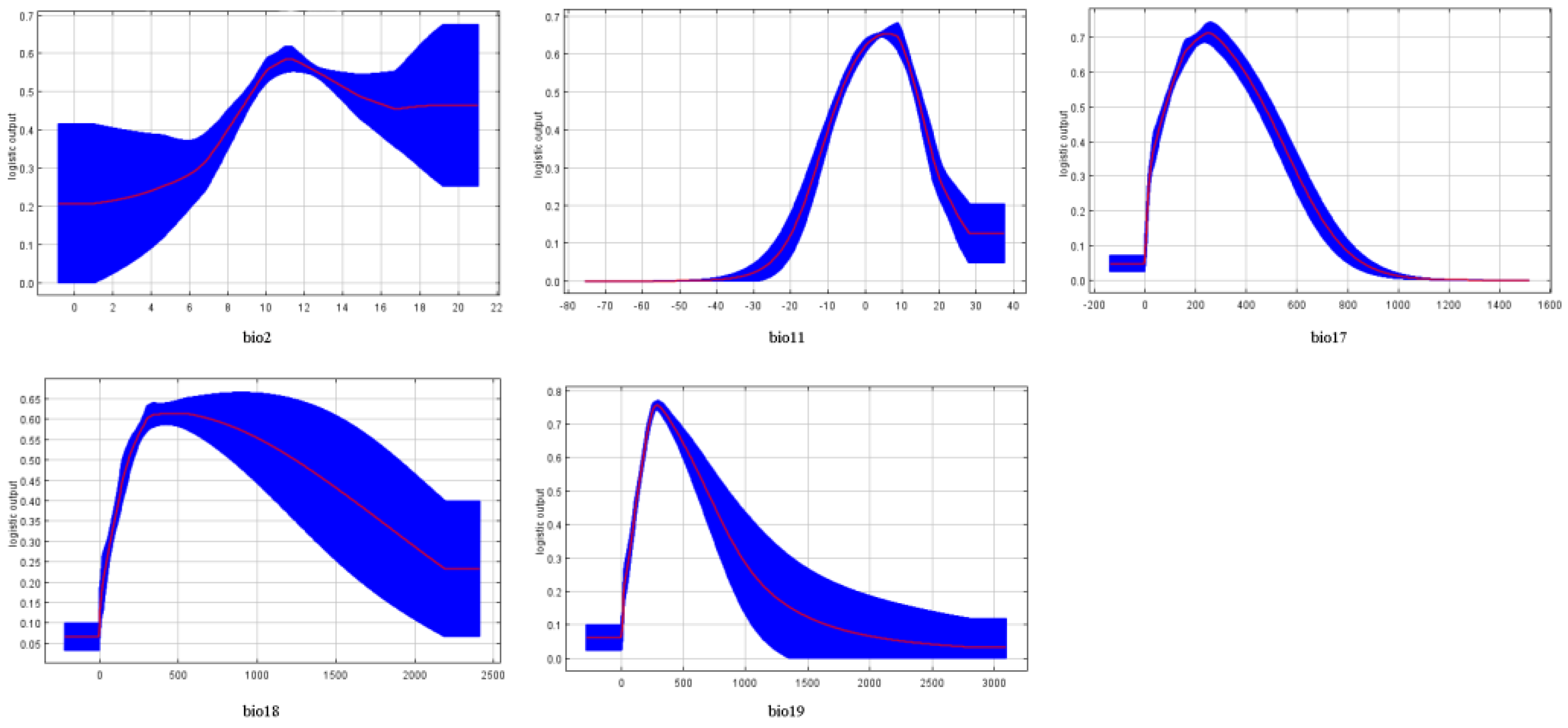
3. Results
3.1. Model Accuracy Evaluation and Host Availability
3.2. Potential Distribution of A. tumida and Host Availability
3.3. Potential Distributions Under Climate Conditions Using MaxEnt
3.4. Potential Distributions Under Climate Conditions Using CLIMEX
3.5. Combined Prediction Maps of the Two Models of A. tumida and S. carpocapsae Under Current Climate Conditions
4. Discussion
5. Conclusions
Author Contributions
Funding
Conflicts of Interest
Abbreviations
| SDMs | Species Distribution Models |
| CMIP6 | Coupled Model Intercomparison Predict Phase 6 |
| SSP | Shared Socioeconomic Pathway |
| AUC | Area Under the ROC Curve |
| TSS | True Skill Statistic |
Appendix A
| Variable | Description | |
|---|---|---|
| Bio1 | Annual Mean Temperature | ℃ |
| Bio2 | Mean Diurnal Range | ℃ |
| Bio3 | Isothermality | % |
| Bio4 | Temperature Seasonality | ℃ |
| Bio5 | Max Temperature of Warmest Month | ℃ |
| Bio6 | Min Temperature of Coldest Month | ℃ |
| Bio7 | Temperature Annual Range | ℃ |
| Bio8 | Mean Temperature of Wettest Quarter | ℃ |
| Bio9 | Mean Temperature of Driest Quarter | ℃ |
| Bio10 | Mean Temperature of Warmest Quarter | ℃ |
| Bio11 | Mean Temperature of Coldest Quarter | ℃ |
| Bio12 | Annual Precipitation | mm |
| Bio13 | Precipitation of Wettest Month | mm |
| Bio14 | Precipitation of Driest Month | mm |
| Bio15 | Precipitation Seasonality | % |
| Bio16 | Precipitation of Wettest Quarter | mm |
| Bio17 | Precipitation of Driest Quarter | mm |
| Bio18 | Precipitation of Warmest Quarter | mm |
| Bio19 | Precipitation of Coldest Quarter | mm |
| Parameter | Meaning of parameter | A. tumida | S. carpocapsae |
|---|---|---|---|
| DV0 | Limiting low temperature | 8 | -10 |
| DV1 | Lower optimum temperature | 10 | 20 |
| DV2 | Upper optimum temperature | 32 | 30 |
| DV3 | Limiting high temperature | 45 | 42 |
| SM0 | Limiting low soil moisture | 0.1 | 0 |
| SM1 | Lower optimal soil moisture | 1 | 0.5 |
| SM2 | Upper optimal soil moisture | 1.5 | 1.5 |
| SM3 | Limiting high soil moisture | 2.5 | 2 |
| TTCS | Cold stress temperature threshold | 0 | -10 |
| THCS | Cold stress temperature rate | -0.001 | -0.0001 |
| TTHS | Heat stress temperature threshold | 50 | 42 |
| THHS | Heat stress temperature rate | 0.01 | 0.0005 |
| SMDS | Dry stress temperature threshold | 0.2 | 0.1 |
| HDS | Dry stress accumulated rate | -0.001 | -0.0001 |
| SMWS | Wet stress temperature threshold | 10 | 10 |
| HWS | Wet stress accumulated rate | 0.001 | 0.05 |
| PDD | Degree-days per generation | 400 | 510 |
Appendix B







References
- Zhang, X.F.; Nizamani, M.M.; Jiang, C.; Fang, F.Z.; Zhao, K.K. Potential planting regions of Pterocarpus santalinus (Fabaceae) under current and future climate in China based on MaxEnt modeling. Ecol. Evol. 2024, 14, e11409. [Google Scholar] [CrossRef]
- Wang, Y.J.; Liu, Z.S.; Wu, K.F.; Peng, J.M.; Mao, Y.Y.; Zhao, G.H.; Zhang, F.G. Predicting suitable habitats and conservation areas for Suaeda salsa using MaxEnt and Marxan models. iScience 2025, 28, 112933. [Google Scholar] [CrossRef]
- Schai-Braun, S.C.; Jenny, H.; Ruf, T.; Hackländer, K. Temperature increase and frost decrease driving upslope elevational range shifts in Alpine grouse and hares. Global Change Biol. 2021, 27, 6602–6614. [Google Scholar] [CrossRef]
- Jarrett, B.J.M.; Linder, S.; Fanning, P.D.; Isaacs, R.; Szűcs, M. Experimental adaptation of native parasitoids to the invasive insect pest, Drosophila suzukii. Biol. Control. 2022, 167, 104843. 104843. [Google Scholar] [CrossRef]
- Ghosh, P.; Lal, P. Trends in invasive insect pest research: a bibliometric analysis. Int. J. Trop. Insect Sci. 2023, 43, 1369–1380. [Google Scholar] [CrossRef]
- Liu, X.X.; Yang, M.L.; Arnó, J.; Kriticos, D.J.; Desneux, N.; Zalucki, M.P.; Lu, Z.Z. Protected agriculture matters: year-round persistence of Tuta absoluta in China where it should not. Entomol. Gen. 2024, 44, 279–287. [Google Scholar] [CrossRef]
- Dang, Y.Q.; Wang, X.Y.; Hou, Y.M. Invasive alien insect: Research progress and prospects. Acta. Entomol. Sin. 2024, 67, 1585–1596. [Google Scholar] [CrossRef]
- Stief, K.; Cornelissen, B.; Ellis, J.D.; Schäfer, M.O. Controlling small hive beetles, Aethina tumida, in western honey bee (Apis mellifera) colonies by trapping wandering beetle larvae. J. Apic. 2020, 59, 539–545. [Google Scholar] [CrossRef]
- Araneda, X.; Aldea, P.; Freire, X. Small hive beetle (Aethina tumida Murray), a potential threat to beekeeping in chile. Chil. J. Agric. Anim. Sci. 2021, 37, 3–10. [Google Scholar] [CrossRef]
- Zhao, H.X.; Chen, D.F.; Hou, C.S.; Wang, H.T.; Huang, W.Z.; Ji, C.H.; Ren, Q.; Xia, X.S.; Zhang, X.F. Biological characteristics, invasion hazards, and prevention and control strategies of Aethina tumida. J. Bee. 2019, 39, 8–11. [Google Scholar]
- Schäfer, M.O.; Cardaio, I.; Cilia, G.; Cornelissen, B.; Crailsheim, K.; Formato, G.; Lawrence, A.K.; Conte, Y.L.; Mutinelli, F.; Nanetti, A.; Rivera-Gomis, J.; Teepe, A.; Neumann, P. How to slow the global spread of small hive beetles, Aethina tumida. Biol. Invasions 2019, 21, 1451–1459. [Google Scholar] [CrossRef]
- Jiang, N.Z.Y.; Yang, H.X.; Li, C.; Li, J. Potential distribution of Aethina tumida Murray in China besed on MaxEnt model. J. Environ. Entomol. 2023, 45, 1236–1244. [Google Scholar] [CrossRef]
- Idrissou, F.O.; Hang, Q.; Ya, O.; Neumann, P. International beeswax trade facilitates small hive beetle invasions. Sci. Rep. 2019, 9, 10665. [Google Scholar] [CrossRef]
- Zhang, M.M.; Li, Z.G.; Zhao, H.X.; Li, J. Be alert to the threat of Aethina tumida Murray to bee industry in China. J. Environ. Entomol. 2021, 43, 529–536. [Google Scholar] [CrossRef]
- Jamal, Z.A.; Abou-Shaara, H.F.; Qamer, S.; Alotaibi, M.A.; Khan, K.A.; Khan, M.F.; Bashir, M.A.; Hannan, A.; AL-Kahtani, S.N.; Taha El-Kazafy, A.; Anjum, SI.; Attaullah, M.; Raza, G.; Ansari, M.J. Future expansion of small hive beetles, Aethina tumida, towards North Africa and South Europe based on temperature factors using maximum entropy algorithm. J. King Saud Univ. Sci. 2021, 33, 101242. [Google Scholar] [CrossRef]
- Yuan, L.L.; Li, F.; Cao, FQ.; Cai, B.; Pan, XL.; Han, W.S.; Wu, S.Y. Advances in research of the Aethina tumida Murray (Coleoptera: Nitidulidae). Apic. China 2020, 71, 62–67. [Google Scholar]
- Zhong, Y.H.; Han, W.S.; Zhao, D.X.; Zhao, A.; Wang, S.J.; Liu, J.F.; Gao, J.L. Risk assessment for the introduction of small hive beetle, Aethina tumida, into China. Plant Quarantine 2020, 34, 47–51. [Google Scholar] [CrossRef]
- Hood, W.M. Overview of the small hive beetle, Aethina tumida, in North America. Bee World 2000, 81, 129–137. [Google Scholar] [CrossRef]
- Eyer, M.; Chen, Y.P; Schäfer, M.O; Pettis, J.; Neumann, P. Small hive beetle, Aethina tumida, as a potential biological vector of honeybee viruses. Apidologie 2009a, 40, 41–42. [Google Scholar] [CrossRef]
- Wenning, C.J. Spread and threat of the small hive beetle. A. Bee J. 2001, 141, 640–643. [Google Scholar]
- Zhu, S.K.; Yu, F.; Zhou, Y.; Tong, T.Z.; Liu, X.; Chen, Y.Z. Research progress on quarantine pests such as honeycomb beetles. Guangdong Agric. Sci. 2011, 38, 66–67. [Google Scholar] [CrossRef]
- Gordon, R.; Bresolin-Schott, N.; East, I.J. Nomadic beekeeper movements create the potential for widespread disease in the honeybee industry. Aust. Vet. J. 2014, 92, 283–290. [Google Scholar] [CrossRef]
- Peter, N.; Jeff, S.P.; Marc, O.S. Quo vadis Aethina tumida? Biology and control of small hive beetles. Apidologie 2016, 47, 427–466. [Google Scholar] [CrossRef]
- Yuan, L.L.; Li, F.; Cao, F.Q.; Cai, B.; Pan, X.L.; Han, W.S.; Wu, S.Y. Advances in research of the Aethina tumida Murray (Coleoptera: Nitidulidae). Apic. China 2020, 71, 62–67. [Google Scholar]
- Nacko, S; Hall, M.; Duncan, M.; Cook, J.; Riegler, M.; Spooner-Hart, R. Scientific note on small hive beetle infestation of stingless bee (Tetragonula carbonaria) colony following a heat wave. Apidologie 2020, 51, 1199–2120. [Google Scholar] [CrossRef]
- Pereira, S.N.; Alves, L.H.S.; da Costa, R.F.; Prezoto, F.; Teixeira, E.W. Occurrence of the small hive beetle (Aethina tumida) in Melipona rufiventris coloniesin Brazil. Sociobiology 2021, 68, e-6021. [Google Scholar] [CrossRef]
- Hoffmann, D.; Pettis, J.S.; Neumann, P. Potential host shift of the small hive beetle (Aethina tumida) to bumblebee colonies (Bombus impatiens). Insect. Soc. 2008, 55, 153–162. [Google Scholar] [CrossRef]
- Gonthier, J.; Papach, A.; Straub, L.; Campbell, J.W.; Williams, G.R.; Neumann, P. Bees and flowers: how to feed an invasive beetle species. Ecol. Evol. 2019, 9, 6422–6432. [Google Scholar] [CrossRef]
- Schäfer, M.O.; Ritter, W.; Pettis, J.S.; Neumann, P. Small hive beetles, Aethina tumida, are vectors of Paenibacillus larvae. Apidologie 2010, 41, 14–20. [Google Scholar] [CrossRef]
- de Graaf, D.C; Alippi, A.M; Antúnez, K.; Aronstein, K.A; Budge, G.; De Koker, D.; De Smet, L.; Dingman, D.W; Evans, J.D.; Foster, L.J; Fünfhau, A.; Garcia-Gonzalez, E.; Gregore, A; Human, H.; Murray, KD.; Nguyen, B.K.; Poppinga, L.; Spivak, M.; Engelsdorp, D.; Wilkins, S.; Genersch, E. Standard methods for American foulbrood research. J. Apic. Res. 2013, 52, 1–28. [Google Scholar] [CrossRef]
- Eyer, M.; Chen, YP.; Schäfer, M.O.; Pettis, J.S.; Neumann, P. Honey bee sacbrood virus infects adult small hive beetles, Aethina tumida (Coleoptera: Nitidulidae). J. Apic. Res. 2009b, 48, 296–297. [Google Scholar] [CrossRef]
- Wang, J.; Dai, K.; Kong, X.X.; Cao, L.I.; Qu, L.; Jin, Y.L.; Li, Y.L.; Gu, X.H.; Li, J.Z.; Xu, C.L.; Han, R.C. Research progress and perspective on entomopathogenic nematodes. J. Environ. Entomol. 2021a, 43, 811–839. [Google Scholar]
- Chang, D.D.; Wang, C.L.; Li, C.J. Advances on the pathogenic mechanism of entompathogenic nematodes. Chin. J. Biol. Control. 2022, 38, 1325–1333. [Google Scholar] [CrossRef]
- Ouyang, Z.Y.; Ouyang, S.L.; Wu, J.Y.; Zhou, Z.C.; Li, Z.H.; Dong, S.C. Progress of the application of prediction of potential suitable distribution of plants based on Maxent. Hunan. For. Sci. Technol. 2022a, 49, 83–88. [Google Scholar]
- Zhang, Y.C.; Jiang, X.H.; Lei, Y.X.; Wu, Q.L.; Liu, Y.H.; Shi, X.W. Potentially suitable distribution areas of Populus euphratica and Tamarix chinensis by MaxEnt and random forest model in the lower reaches of the Heihe River, Chin. Environ. Monit. Assess. 2023, 195, 1519. [Google Scholar] [CrossRef] [PubMed]
- Liao, J.; Wu, Z.Q.; Wang, H.J.; Xiao, S.J.; Mo, P.; Cui, X.F. Projected effects of climate change on species range of Pantala flavescens, a wandering glider dragonfly. Biology 2023, 12, 226. [Google Scholar] [CrossRef]
- Pshegusov, R.; Chadaeva, V. Modelling the nesting-habitat of threatened vulture species in the caucasus: An ecosystem approach to formalising environmental factors in species distribution models. Avian Res. 2023, 14, 100131. [Google Scholar] [CrossRef]
- Wu, Y.B.; Chen, L.; Liu, N.; Yuan, H.; Huang, L.L. Potential geographical distribution prediction of Hyphantria cunea in Jiangxi Province based on CLIMEX model. Biol. Disaster Sci. 2025, 48, 461–467. [Google Scholar] [CrossRef]
- Hominick, W.M. Biogeography, in: Entomopathogenic Nematology; CABI publishing Wallingford UK, 2002; pp. 115–143. [Google Scholar]
- Bhat, A.H.; Chaubey, A.K.; Askary, T.H. Global distribution of entomopathogenic nematodes, Steinernema and Heterorhabditis. Egypt. J. Biol. Pest Control 2020, 30, 1–15. [Google Scholar] [CrossRef]
- Wang, J.; Wang, W.; Li, X.Z.; Xu, C.T. Research progress on pest control by insect pathogenic nematodes. Chin. Qinghai J. Anim. Vet. Sci. 2021b, 51, 59–65. [Google Scholar]
- Boria, R.A.; Olson, L.E.; Goodman, S.M.; Anderson, R.P. Spatial filtering to reduce sampling bias can improve the performance of ecological niche models. Ecol. Modell. 2014, 275, 73–77. [Google Scholar] [CrossRef]
- Zhao, Z.; Feng, X.; Wang, Y.; Zhou, Z.; Zhang, Y. Potential suitability areas of Sitobion miscanthi in China based on the MaxEnt model: Implications for management. Crop Prot. 2024b, 183, 106755. [Google Scholar] [CrossRef]
- Cheng, L.F.; Niu, M.M.; Zhao, X.J.; Cai, B.; Wei, J.F. Predicting the potential distribution of the invasive species, Ophelimus maskelli (Ashmead) (Hymenoptera: Eulophidae), and its natural enemy Closterocerus chamaeleon (Hymenoptera: Eulophidae), under current and future climate conditions. J. Econ. Entomol. 2025, 118, 119–131. [Google Scholar] [CrossRef] [PubMed]
- Gong, L.J.; Li, X.F.; Wu, S.; Jiang, L.Q. Prediction of potential distribution of soybean in the frigid regio in China with MaxEnt modeling. Ecol. Inform. 2022, 72, 101834. [Google Scholar] [CrossRef]
- Yang, H.X; Jiang, N.Z.Y.; Li, C.; Li, J. Prediction of the current and future distribution of tomato leafminer in China using the MaxEnt model. Insects 2023, 14, 531. [Google Scholar] [CrossRef]
- Farooq, S.; Maqbool, M.M.; Bashir, M.A.; Ullah, I.; Shah, R.U.; Ali, H.M.; Al Farraj, D.A.; Elshikh, M.S.; Hatamleh, A.A.; Bashir, S.; Wang, Y.F. Production suitability of date palm under changing climate in a semi-arid region predicted by CLIMEX model. J. King Saud Univ. Sci. 2021, 33, 101394. [Google Scholar] [CrossRef]
- Kim, G.Y.; Lee, W.H. Regional predictions of subterranean ant Pheidole megacephala distribution based on a global ensemble species distribution model incorporating climate and soil temperature. Pest Manag. Sci. 2026. [Google Scholar] [CrossRef]
- Yan, G.; Zhang, G.F. Predicting the potential distribution of endangered Parrotia subaequalis in China. Forests 2022, 13, 1595. [Google Scholar] [CrossRef]
- Rather, Z.A.; Ahmad, R.; Dar, A.R.; Dar, T.H.; Khuroo, A.A. Predicting shifts in distribution range and niche breadth of plant species in contrasting arid environments under climate change. Environ. Monit. Assess. 2021, 193, 427. [Google Scholar] [CrossRef]
- Cheng, L.F.; Zhao, Q.; Zhang, H.F.; Gao, X.Y.; Wei, J.F. Prediction of the potential distribution areas of two harmful scale insects in China under climate change. J. Shanxi Agric. Sci. 2022, 50, 1333–1344. [Google Scholar]
- Ullah, F.; Zhang, Y.; Gu, H.; Hafeez, M.; Desneux, N.; Qin, J. Potential economic impact of Bactrocera dorsalis on Chinese citrus based on simulated geographical distribution with MaxEnt and CLIMEX model. Entomol. Gen. 2023, 43, 821–830. [Google Scholar] [CrossRef]
- Yang, H.X.; Zhang, H.Y.; Wang, Y.R.; Jia, X.; Hao, L.; Jin, K.; Song, J. Urban bird diversity conservation plan based on the MaxEnt model and InVEST model: A case study of Jinan, China. Ecol. Indic. 2025, 174, 113463. [Google Scholar] [CrossRef]
- Wei, J.F.; Lu, Y.Y.; Niu, M.M.; Cai, B.; Shi, H.F.; Ji, W. Novel insights into hotspots of insect vectors of GLRaV-3: Dynamics and global distribution. Sci. Total Environ. 2024, 925, 171664. [Google Scholar] [CrossRef]
- Chen, L.; Lu, W.X.; Lamont, B.B.; Liu, Y.; Wei, P.J.; Xue, W.X.; Xiong, Z.X.; Tang, L.; Wang, Y.J.; Wang, P.C.; Yan, Z.G. Modeling the distribution of pine wilt disease in China using the ensemble models MaxEnt and CLIMEX. Ecol. Evol. 2024, 14, e70277. [Google Scholar] [CrossRef] [PubMed]
- Wu, Y.B.; Chen, L.; Liu, N.; Yuan, H.; Huang, L.L. Potential geographical distribution prediction of Hyphantria cunea in Jiangxi Province based on CLIMEX model. Biol. Disaster Sci. 2025, 48, 461–467. [Google Scholar] [CrossRef]
- Ouyang, X.H.; Lin, H.P.; Bai, S.H.; Chen, J.; Chen, L. Simulation the potential distribution of Dendrilimus houi and its hosts, Pinus yunnanensis and Cryptomeria fortunei, under climate change in China. Fron. Plant Sci. 2022b, 13, 1054710. [Google Scholar] [CrossRef]
- Al-Khalaf, A.A.; Nasse, r M.G.; Hosni, E.M. Global potential distribution of Sarcophaga dux and Sarcophaga haemorrhoidalis under climate change. Diversity 2023, 15, 903. [Google Scholar] [CrossRef]
- Hosni, E.M.; Al-Khalaf, A.A.; Naguib, R.M.; Afify, A.E.; Abdalgawad, A.A.; Faltas, E.M.; Hassan, M.A.; Mahmoud, M.A.; Naeem, O.M.; Hassan, Y.M.; Nasse, M.G. Evaluation of climate change impacts on the global distribution of the calliphorid fly Chrysomya albiceps using GIS. Diversity 2022, 14, 578. [Google Scholar] [CrossRef]
- Zheng, X.T.; Zhang, J.L.; Xia, Y.Q.; Xing, S.J.; Wang, J.F.; Wu, S.B.; Liu, Y.T. Predicting the potential geographic distribution of tomato brown rugose fruit virus in China based on an optimized MaxEnt model. J. Yunnan Agri. Univ. (Nat. Sci.). 2025, 40, 1–9. [Google Scholar] [CrossRef]
- Gao, R.; Liu, L.; Zhao, L.; Cui, S. Potentially suitable geographical area for Monochamus alternatus under current and future climatic scenarios based on optimized MaxEnt model. Insects 2023, 14, 182. [Google Scholar] [CrossRef] [PubMed]
- Gao, X.Y.; Zhao, Q.; Wei, J.F.; Zhang, H.F. Study on the potential distribution of Leptinotarsa decemlineata and its natural enemy Picromerus bidens under climate change. Front. Ecol. Evolut. 2022, 9, 786436. [Google Scholar] [CrossRef]
- Li, W.B.; Yang, P.P.; Xia, D.P.; Li, M.; Li, J.H. Current distribution of two species of Chinese macaques (Macaca arctoides and Macaca thibetana) and the possible influence of climate change on future distribution. Am. J. Primatol. 2023, 85, e23493. [Google Scholar] [CrossRef]
- Wang, Y.J.; Zhao, R.X.; Zhou, X.Y.; Zhang, X.L.; Zhao, G.H.; Zhang, F.G. Prediction of potential distribution areas and priority protected areas of Agastache rugosa based on Maxent model and Marxan model. Front. Plant Sci. 2023, 14, 1200796. [Google Scholar] [CrossRef] [PubMed]
- Chen, Y.T.; Shi, M.Z.; Fu, J.W.; Zhao, Z.H.; Liu, W.X.; Li, J.Y. Potential distribution of papaya mealybug Paracoccus marginatus in China under global warming. J. Plant. Protect. 2023, 50, 1491–1498. [Google Scholar] [CrossRef]
- Yan, W.J; Cao, Y.; Shang, B.C.; Zhang, Y.; Yang, G.; Liu, J. Acleris fimbirana Thunberg risk assessment and predicting its potential geographical distribution in China. Chin. J. Appl. Entomol. 2024, 61, 474–484. [Google Scholar]
- Liu, Z.Q. Analysis of potential invasive alien species and forecast of economic losses in China. Hebei Universi 2024. [Google Scholar] [CrossRef]
- Zhang, M.M; Li, Y.F.; Zhang, F.L.; Gao, G.Z.; Cui, Z.J.; Ren, J.X.; Zhang, P.; Lv, Z.Z. The invasion risk and population simulation of Agrilus mali in Central Asia. For. Res. 2025, 38, 1–10. [Google Scholar]
- Hayat, U.; Shi, J.; Wu, Z.; Rizwan, M.; Haider, M.S. Which SDM Model, CLIMEX vs. MaxEnt, best forecasts Aeolesthes sarta distribution at a global scale under climate change scenarios? Insects 2024, 15, 324. [Google Scholar] [CrossRef]
- Amaro, G; Fidelis, E.G.; da Silva, R.S.; de Medeiros, C.M. Current and potential geographic distribution of red palm mite (Raoiella indica Hirst) in Brazil. Ecol. Inform. 2021, 65, 101396. [Google Scholar] [CrossRef]
- Sorbe, F.; Gränzig, T.; Förster, M. Evaluating sampling bias correction methods for invasive species distribution modeling in Maxent. Ecol. Inform. 2023, 76, 102124. [Google Scholar] [CrossRef]
- Abou-Shaara, H.F.; Darwish, A.A.E. Expected prevalence of the facultative parasitoid Megaselia scalaris of honey bees in Africa and the Mediterranean region under climate change conditions. Int. J. Trop. Insect. Sci. 2021, 41, 3137–3145. [Google Scholar] [CrossRef]
- Ouyang, X.H.; Lu, T.T.; Pan, J.L.; Sun, Q.Y. The role of climate change in shaping the distribution patterns of Hylurgus ligniperda and its key natural enemies. Pest Manag. Sci. 2025, 82, 193–205. [Google Scholar] [CrossRef]
- Abou-Shaara, H.; Alashaal, S.A; Hosni, E.M.; Nasser, M.G.; Ansari, M.J.; Alharbi, S.A. Modeling the invasion of the large hive beetle, Oplostomus fuligineus, into North Africa and South Europe under a changing climate. Insects 2021, 12, 275. [Google Scholar] [CrossRef]
- Willian, G.M.; Jospeph, M.P. The effects of temperature, diet, and other factors on development, survivorship, and oviposition of Aethina tumida (Coleoptera: Nitidulidae). J. Econ. Entomol. 2011, 104, 753–763. [Google Scholar] [CrossRef]
- Cornelissen, B.; Neumann, P.; Schweiger, O. Global warming promotes biological invasion of a honey bee pest. Global Change Biol. 2019, 25, 3642–3655. [Google Scholar] [CrossRef]
- Huang, Q.; Han, W.L.; Posada-Florez, F.; Evans, J.D. Microbiomes, diet flexibility, and the spread of a beetle parasite of honey bees. Front. Microbiol. 2024, 15, 1387248. [Google Scholar] [CrossRef] [PubMed]
- Neumann, P.; Elzen, P.J. The biology of the small hive beetle (Aethina tumida, Coleoptera: Nitidulidae): Gaps in our knowledge of an invasive species. Apidologie 2004, 35, 229–247. [Google Scholar] [CrossRef]
- Bemier, M.; Fournier, V.; Giovenazzo, P. Pupal development of Aethina tumida (Coleoptera: Nitidulidae) in thermo-hygrometric soil conditions encountered in temperate climates. J. Econ. Entomol. 2014, 107, 531–537. [Google Scholar] [CrossRef]







Disclaimer/Publisher’s Note: The statements, opinions and data contained in all publications are solely those of the individual author(s) and contributor(s) and not of MDPI and/or the editor(s). MDPI and/or the editor(s) disclaim responsibility for any injury to people or property resulting from any ideas, methods, instructions or products referred to in the content. |
© 2026 by the authors. Licensee MDPI, Basel, Switzerland. This article is an open access article distributed under the terms and conditions of the Creative Commons Attribution (CC BY) license (http://creativecommons.org/licenses/by/4.0/).