Submitted:
06 April 2026
Posted:
07 April 2026
You are already at the latest version
Abstract
Keywords:
1. Introduction
| Nomenclature | |||
| Ac | the overall area of the orthographic projection of eight curved PV/T units on the inclined surface, m2 | Pmax | the instantaneous maximum power output of the PV module,W |
| Gpv | Solar irradiation intensity on baseplate,W/m2 | Apv | the orthographic projection area on inclined surface area,m2 |
| Electrical efficiency,% | Pflt | The flat type PV power output,W | |
| Power mismatch loss,W | Pcrv | The curved type PV power output,W | |
| PR | Performance ratio,% | FF | Filling factor |
| Voc | The open circuit,V | Isc | The short current,A |
| Fz | The standard uncertainty of the instruments | The nominal accuracy of the experimental instrument | |
| X(b) | The uncertainty | ||
2. Methodology
2.1. Testing Objective
2.2. The Indoor Testing Contents and Apparatus
2.2.1. The Sample Fabrication

| Parameters | Changes Value (unit) |
|---|---|
| Central angle | 0°,30°,60°,90°,120°,150°,180° |
| Direction | longitudinal, horizontal |
2.2.2. Experimental Apparatus and Procedure
2.3. Performance Evaluation Metrics
- (1)
- The electrical efficiency ()
- (2)
- Power mismatch loss (∆Pml)
- (3)
- Performance ratio (PR)
- (4)
- Filling factor (FF)
2.4. Uncertainty Analysis
3. Results and Discussions
3.1. The Power Output and Mismatch Loss
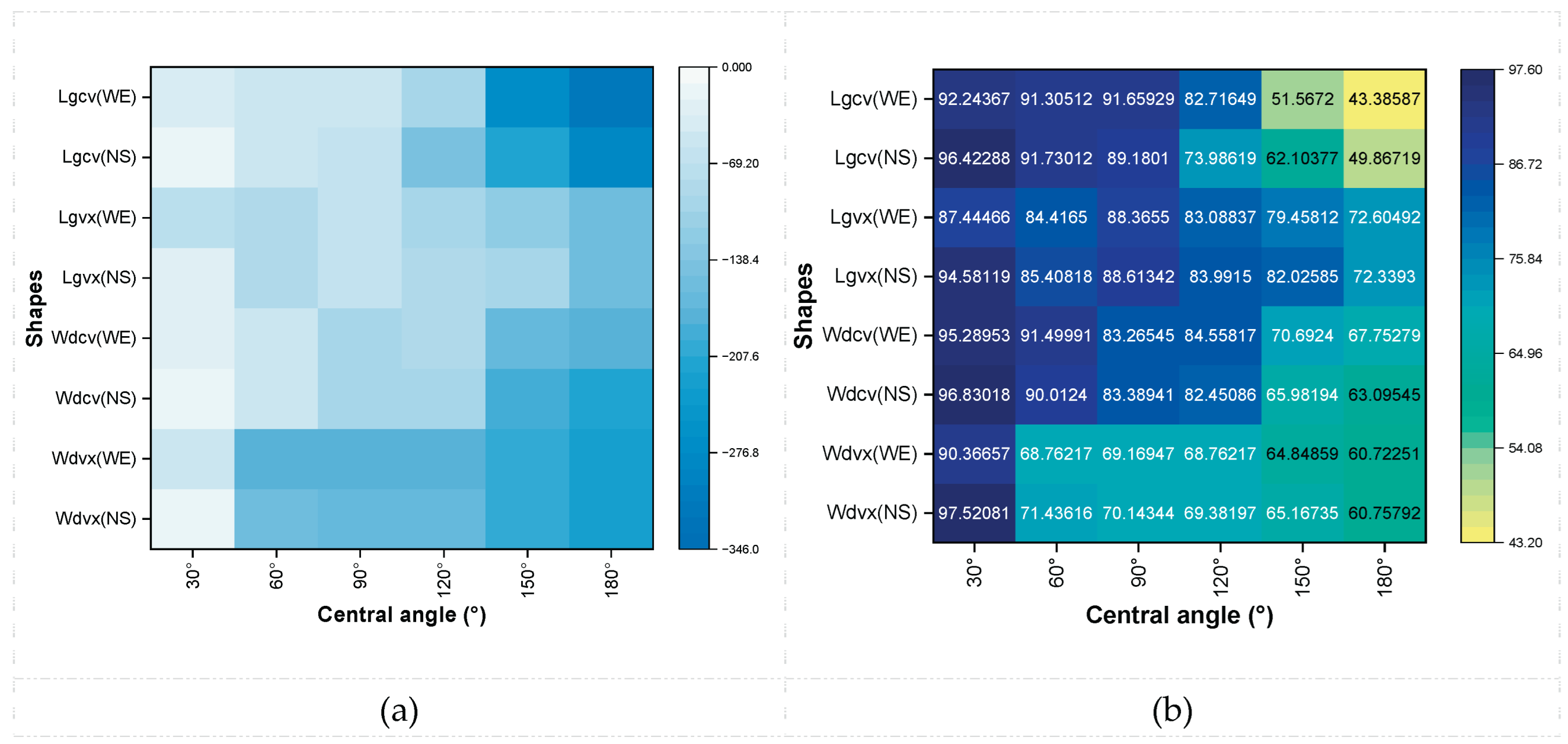
3.2. Influence of Central Angle
4. Conclusion
Author Contributions
Funding
Data Availability Statement
Conflicts of Interest
Acknowledgments
References
- UNEP Ia. Global Status Report for Buildings and Construction 2024/2025. 2025.
- CABEE. 2025 China's Carbon Emission Report on Urban and Rural Construction. 北京2026.
- Tian X, Wang J, Yuan S, Ji J, Ke W, Wang C. Investigation on the electrical performance of a curved PV roof integrated with CIGS cells for traditional Chinese houses. Energy. 2023;263. [CrossRef]
- Tian X, Wang J, Ke W, Ji J. Performance assessment of the curved-type multi-channel PV roof for space-heating and electricity generation in winter. Renewable Energy. 2024;231.
- Hu Z, Zhang S, Hou J, He W, Liu X, Yu C, et al. An experimental and numerical analysis of a novel water blind-Trombe wall system. Energy Conversion and Management. 2020;205.
- Su X, Luo C, Chen X, Jiang Q, Yu Y, El Shenawy ET, et al. Experimental and theoretical analysis of photovoltaic performance and thermal behavior for bifacial PV-Trombe wall system with reversible louvers in summer. Energy. 2024;312. [CrossRef]
- Zhang C, Ji J, Wang C, Ke W, Xie H, Yu B. Experimental and numerical studies on the thermal and electrical performance of a CdTe ventilated window integrated with vacuum glazing. Energy. 2022;244.
- Shi S, Zhu N, Li Y, Song Y. Photo-thermal decoupling CdTe PV windows with selectively near-infrared absorbing ATO nanofluids. Renewable Energy. 2024;235.
- Gong F, Gao Y, Tian X, Wang J, Ji J, Shi F, et al. Simulation of a novel curved photovoltaic (PV) window improving the annual daylighting and building energy performance simultaneously. Building Simulation. 2024;17(11):1951-69. [CrossRef]
- M. Krarti AK. Evaluation of static and dynamic PV-Integrated shading systems for office spaces in Australia. Solar Energy. 2024;277(112736).
- Wang J, Tian X, Ji J, Zhang C, Ke W, Yuan S. Field experimental investigation of a multifunctional curved CIGS photovoltaic/thermal (PV/T) roof system for traditional Chinese buildings. Energy Conversion and Management. 2022;271:116219.
- Tian X, Wang J, Ji J, Wang C, Ke W, Yuan S. A multifunctional curved CIGS photovoltaic/thermal roof system: A numerical and experimental investigation. Energy. 2023;273.
- Cai J, Fang J, Liang M, Zhu Q, Shi Z, Li Q, et al. Dynamic performance enhancement in 2D and 3D curved flexible photovoltaic modules: Mismatch loss analysis and cell interconnection configurations optimization. Applied Energy. 2024;374. [CrossRef]
- Thoy EJW, Go YI. Enhancement and validation of building integrated PV system: 3D modelling, techno-economics and environmental assessment. Energy and Built Environment. 2022;3(4):444-66.
- Liu W, Liu Y, Yang Z, Xu C, Li X, Huang S, et al. Flexible solar cells based on foldable silicon wafers with blunted edges. Nature. 2023;617(7962):717-23.
- Lance Alpuerto RSB. Energy harvest potential of flexible photovoltaics on curved surfaces. Conference Energy harvest potential of flexible photovoltaics on curved surfaces. IEEE, p. 1-6.
- Zhao C, Xiao J, Yu Y, Jaubert J-N. Accurate shading factor and mismatch loss analysis of bifacial HSAT systems through ray-tracing modeling. Solar Energy Advances. 2021;1.
- Al-Janahi SA, Ellabban O, Al-Ghamdi SG. A Novel BIPV Reconfiguration Algorithm for Maximum Power Generation under Partial Shading. Energies. 2020;13(17).
- Wang J, Tian X, Ji J, Zhang C, Ke W, Yuan S. Field experimental investigation of a multifunctional curved CIGS photovoltaic/thermal (PV/T) roof system for traditional Chinese buildings. Energy Conversion and Management. 2022;271. [CrossRef]
- Wang J, Tian X, Ji J, Xie H, Yuan S. A comparative study on curved air-based photovoltaic/thermal roofs with and without glazing. Applied Thermal Engineering. 2023;219.
- Tian X, Wang J, Ji J, Lu G. The performance investigation of the flexible photovoltaic cell under non-uniform distributed illumination. Renewable Energy. 2025;240.
- Tian X, Wang J, Ji J, Xia T. Comparative performance analysis of the flexible flat/curved PV modules with changing inclination angles. Energy Conversion and Management. 2022;274.
- Walker L, Hofer J, Schlueter A. High-resolution, parametric BIPV and electrical systems modeling and design. Applied Energy. 2019;238:164-79. [CrossRef]
- Bugaj MA, Mik K. Can PVT bend?: The elaboration of flexible hybrid photovoltaic thermal solar collector structure and testing methodology. Renewable Energy. 2023;215.
- Pei L, Yu H, Zhang Q, Li J, Wang K, Hu B. Concave and Convex Bending Influenced Mechanical Stability in Flexible Perovskite Solar Cells. The Journal of Physical Chemistry C. 2020;124(4):2340-5.
- Yun MJ, Sim YH, Lee DY, Cha SI. Honeycomb-Structured 3D Concave Photovoltaic Modules Supported by 3D Mechanical Metamaterials for Enhanced Light Recapture. Advanced Materials Technologies. 2022;8(2).
- Deepika, Singh A, Verma UK, Tonk A. Device Structures of Perovskite Solar Cells: A Critical Review. physica status solidi (a). 2023;220(9). [CrossRef]
- Kashyap S, Pandey R, Madan J, Mohammed MKA. Reliability Test of 21% Efficient Flexible Perovskite Solar Cell Under Concave, Convex and Sinusoidal Bending. IEEE Transactions on Device and Materials Reliability. 2023;23(3):380-5.
- Ma T, Guo Z, Shen L, Liu X, Chen Z, Zhou Y, et al. Performance modelling of photovoltaic modules under actual operating conditions considering loss mechanism and energy distribution. Applied Energy. 2021;298.
- Agyekum EB, PraveenKumar S, Alwan NT, Velkin VI, Shcheklein SE, Yaqoob SJ. Experimental Investigation of the Effect of a Combination of Active and Passive Cooling Mechanism on the Thermal Characteristics and Efficiency of Solar PV Module. Inventions2021. [CrossRef]
- Alwan NT, Majeed MH, Shcheklein SE, Ali OM, PraveenKumar S. Experimental Study of a Tilt Single Slope Solar Still Integrated with Aluminum Condensate Plate. Inventions2021.






| Content | Apparatus | Type | Accuracy |
|---|---|---|---|
| Solar irradiance | 3A solar simulator | Oriel 94063A | ≤2% |
| Light source | Arc Lamp Power supply | Oriel 69920 | < 0.1% |
| Temperature1 | Thermo hygrometer | TH608 | ±1.0℃ |
| Test platform | PVIV Test System | Oriel PVIV-10A | I<0.23%,V±0.02%,Ω±0.25°C |
| Electrical output | Source Measuring Unit | Keithly 2400 | 0.012% |
| Instrument name | Test content | Type | Accuracy | Uncertainty |
|---|---|---|---|---|
| Solar global pyranometer | Global irradiance | Jinzhou TBQ-2 | ± 2% | 1.15% |
| Solar diffuse pyranometer | Diffuse irradiance | Jinzhou TBD-1 | ± 2% | 1.15% |
| Thermocouple | Temperature | T-type (copper-constantan) | ± 0.5℃ | 0.29% |
| MPPT controller | Electrical power | EPEVER Tracer 1210AN | ± 0.5% | 0.29% |
| Datalogger | Data switch unit | HIOKI LR8402-21 | / | / |
Disclaimer/Publisher’s Note: The statements, opinions and data contained in all publications are solely those of the individual author(s) and contributor(s) and not of MDPI and/or the editor(s). MDPI and/or the editor(s) disclaim responsibility for any injury to people or property resulting from any ideas, methods, instructions or products referred to in the content. |
© 2026 by the authors. Licensee MDPI, Basel, Switzerland. This article is an open access article distributed under the terms and conditions of the Creative Commons Attribution (CC BY) license (http://creativecommons.org/licenses/by/4.0/).