Submitted:
05 April 2026
Posted:
08 April 2026
You are already at the latest version
Abstract
Keywords:
1. Introduction
2. Materials and Methods
2.1. Carbon Emission Accounting Method
2.2. Stirpat Model
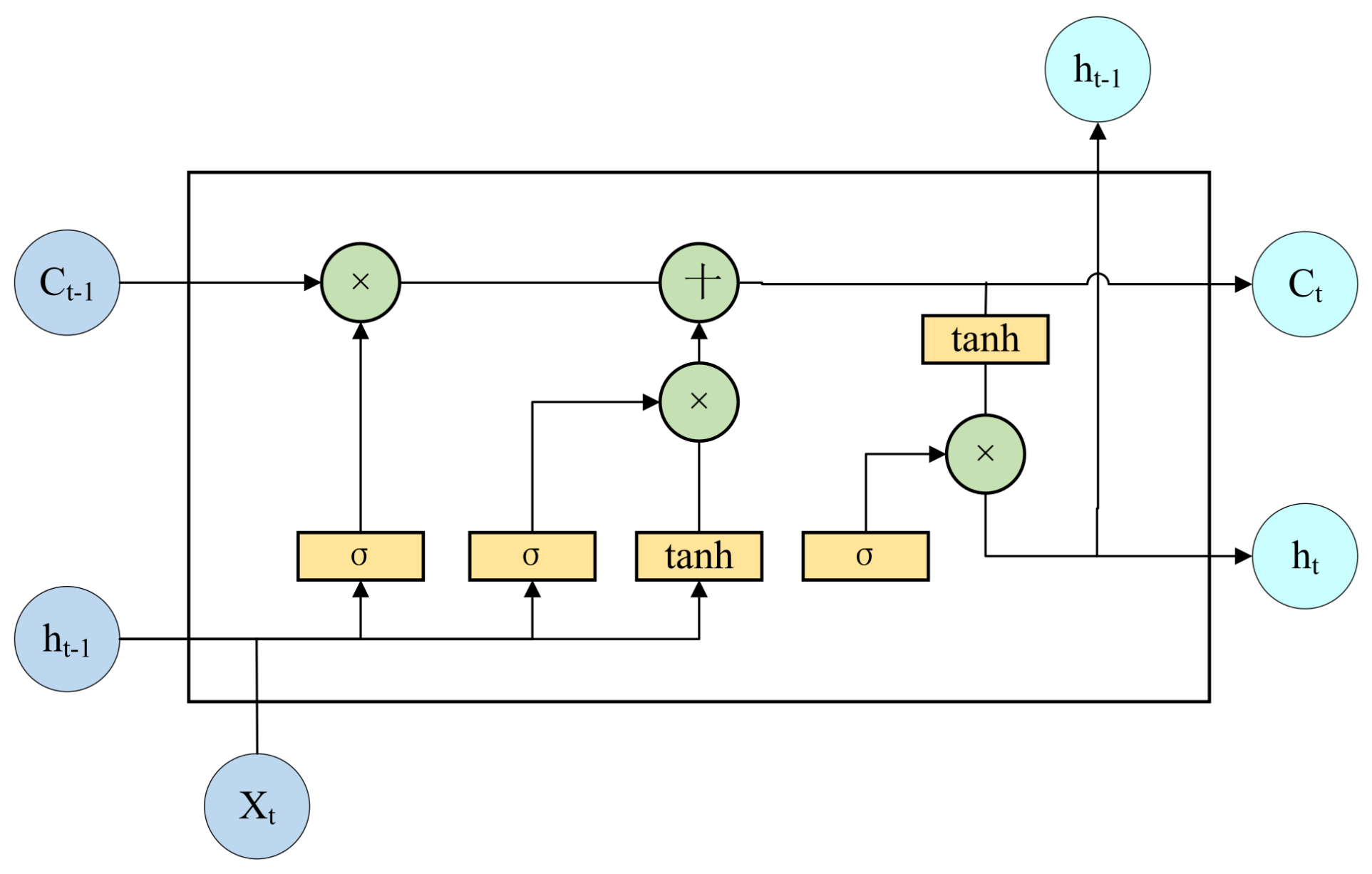
2.3. Cnn-Lstm-Attention Model

3. Results and Analysis
3.1. Calculation of Carbon Emissions from Hunan’s Construction Industry
3.2. Analysis of Influencing Factors
| Variable | Before Screening | After Screening | ||||
|---|---|---|---|---|---|---|
| B | Standard Error | p | B | Standard Error | p | |
| Constant | −21.784 | 10.187 | 0.070 * | 7.522 | 0.915 | 0.000 *** |
| lnP1 | 3.379 | 1.118 | 0.019 ** | — | — | — |
| lnP2 | 0.356 | 0.054 | 0.000 *** | 0.479 | 0.09 | 0.000 *** |
| lnP3 | 0.117 | 0.042 | 0.027 ** | — | — | — |
| lnE1 | 0.089 | 0.015 | 0.001 *** | 0.11 | 0.031 | 0.001 *** |
| lnE2 | 0.075 | 0.01 | 0.000 *** | 0.101 | 0.018 | 0.000 *** |
| lnE3 | 0.082 | 0.011 | 0.000 *** | 0.117 | 0.021 | 0.000 *** |
| lnT1 | −0.12 | 0.027 | 0.003 *** | −0.135 | 0.045 | 0.012 ** |
| lnT2 | −0.046 | 0.089 | 0.617 | — | — | — |
| lnB1 | 0.408 | 0.102 | 0.005 *** | 0.683 | 0.244 | 0.017 ** |
| lnB2 | 0.104 | 0.113 | 0.388 | — | — | — |
| Before screening: k = 0.6, R2 = 0.929, F = 9.222, sigF = 0.004 ***; | ||||||
| After screening: k = 0.2, R2 = 0.931, F = 24.637, sigF = 0.000 ***. Significance levels: * p < 0.1, ** p < 0.05, *** p < 0.001. | ||||||
4. Scenario-Based Carbon Emission Prediction and Analysis
4.1. Scenario Parameter Setting
4.2. Construction of the Cnn-Lstm-Attention Model


4.3. Analysis of Prediction Results

5. Discussion
5.1. Key Findings and Interpretation
5.2. Comparison with Previous Studies
5.3. Policy and Practical Implications
5.4. Research Limitations
5.5. Future Research Directions
6. Conclusions
Author Contributions
Data Availability Statement
Conflicts of Interest
References
- Tong, X.; Guo, S.; Duan, H.; Duan, Z.; Gao, C.; Chen, W. Carbon-Emission Characteristics and Influencing Factors in Growing and Shrinking Cities: Evidence from 280 Chinese Cities. Int. J. Environ. Res. Public Health 2022, 19, 2120. [Google Scholar] [CrossRef] [PubMed]
- Yu, J.; Yu, Y.; Jiang, T. Structural factors influencing energy carbon emissions in China’s service industry: An input-output perspective. Environ. Sci. Pollut. Res. 2022, 29, 49361–49372. [Google Scholar] [CrossRef] [PubMed]
- Fan, J.-L.; Cao, Z.; Zhang, X.; Wang, J.-D.; Zhang, M. Comparative study on the influence of final use structure on carbon emissions in the Beijing-Tianjin-Hebei region. Sci. Total Environ. 2019, 668, 271–282. [Google Scholar] [CrossRef] [PubMed]
- Zagheni, E.; Billari, F.C. A cost valuation model based on a stochastic representation of the IPAT equation. Popul. Environ. 2007, 29, 68–82. [Google Scholar] [CrossRef]
- Luo, Y.P.; Bong, V.N.S.; Bamgbade, J.A.; Alam, M.; Liew, S.C. A comparative review of whole-life-cycle carbon emission assessment in the building sector: Progress, challenges, and trends in China and globally. Build. Environ. 2026, 292, 114294. [Google Scholar] [CrossRef]
- Wang, M.Q.; Huang, B.; Yuan, H.; Tang, Y.; Mao, J.; Xiong, L. Development of a carbon emission calculation and evaluation grading framework for public building certification schemes: Integrating BIM and LCA. Smart Sustain. Built Environ. 2025. [Google Scholar] [CrossRef]
- Chen, L.; Yang, H.-N.; Xiao, Y.; Tang, P.-Y.; Liu, S.-Y.; Chang, M.; Huang, H. Exploring spatial pattern optimization path of urban building carbon emission based on low-carbon cities analytical framework: A case study of. Sustain. Cities Soc. 2024, 111, 105551. [Google Scholar] [CrossRef]
- Al-Ahmad, A.K.; Hajar, H.A.A.; Hatamleh, M.T. Multi-Dimensional sustainability assessment of the construction sector in Jordan. Results Eng. 2026, 29, 109874. [Google Scholar] [CrossRef]
- Li, X.; Lin, C.; Lin, M.; Jim, C.Y. Drivers and spatial patterns of carbon emissions from residential buildings: An empirical analysis of Fuzhou city (China). Build. Environ. 2024, 257, 111534. [Google Scholar] [CrossRef]
- Li, M.; Chen, W.; Song, J.; Zhang, S. Research on economic and social impact of carbon emissions in the construction industry at a regional scale: A case of Shandong, China. Environ. Sci. Pollut. Res. 2023, 30, 86437–86453. [Google Scholar] [CrossRef] [PubMed]
- Han, B.; Clevenger, C.M. Augmented Reality and Mixed Reality Implementation Status Survey in the Architecture, Engineering, and Construction Industry: Benefits, Limitations, and Future Directions. J. Archit. Eng. 2025, 31. [Google Scholar] [CrossRef]
- Elsaid, M.; Albasyouni, W. Assessing the impact of infection rate on the productivity of resources in the construction industry: Lessons from covid-19 pandemic. Rev. Constr. 2025, 24, 491–504. [Google Scholar]
- Sun, X.; Zhang, X. Assessment and Driving Factors of Embodied Carbon Emissions in the Construction Sector: Evidence from 2005 to 2021 in Northeast China. Sustainability 2024, 16, 5681. [Google Scholar] [CrossRef]
- Shah, S.K.; Graham, P.; Burton, C.; Harrington, P. An Assessment of Long-Term Climate Change on Building Energy in Indonesia. Energies 2023, 16, 7231. [Google Scholar] [CrossRef]
- Assemlali, H.; Bouhsissin, S.; Sael, N. Deep learning-driven CNN model for detection and classification of dynamic obstacles. Green Energy Intell. Transp. 2026, 5, 100334. [Google Scholar] [CrossRef]
- Li, S.X.; Qin, H.G.; Xia, F.Y.; Xu, X.; Cai, Y. Application of LSTM coupled models in runoff simulation and prediction: A review. Appl. Water Sci. 2026, 16, 89. [Google Scholar] [CrossRef]
- Zhang, C.; Luo, H. Research on carbon emission peak prediction and path of China’s public buildings: Scenario analysis based on LEAP model. Energy Build. 2023, 289, 113053. [Google Scholar] [CrossRef]
- Zhang, L.Y.; Lin, X.; Hui, E.C.M.; Shen, J.F. Health resilience of green buildings in a Dense City: Evidence from COVID-19 infections in Hong Kong. Cities 2026, 173, 106975. [Google Scholar] [CrossRef]
- Zhang, S.; Wang, M.; Zhu, H.; Jiang, H.; Liu, J. Impact factors and peaking simulation of carbon emissions in the building sector in Shandong Province. J. Build. Eng. 2024, 87, 109141. [Google Scholar] [CrossRef]




| Goodness of Fit | ||
|---|---|---|
| R | R2 | Adjusted R2 |
| 0.979 | 0.958 | 0.921 |
| Model | Unstandardized Coefficient | Standardized Coefficient | Collinearity Statistics | ||
|---|---|---|---|---|---|
| B | Standard Error | Beta | Tolerance | VIF | |
| (Constant) | −81.474 | 107.394 | |||
| lnP1 | 10.732 | 14.349 | 0.39 | 0.017 | 58.544 |
| lnp2 | −0.986 | 5.883 | −0.306 | 0.001 | 714.833 |
| lnE1 | −2.743 | 1.919 | −3.375 | 0.001 | 1198.822 |
| lnE3 | 2.811 | 1.789 | 4.015 | 0.001 | 1403.267 |
| lnT1 | −0.332 | 0.995 | −0.301 | 0.006 | 174.99 |
| lnT2 | −0.263 | 0.233 | −0.172 | 0.199 | 5.019 |
| lnB1 | 0.227 | 1.446 | 0.072 | 0.022 | 44.588 |
| lnB2 | −0.416 | 0.438 | −0.183 | 0.125 | 8.011 |
| Dependent variable: lnC | |||||
| Stage | Urbanization Rate | Per Capita GDP | Gross Output Value of the Construction Industry | Added Value of the Tertiary Industry | Energy Intensity | Construction Industry Scale | |
|---|---|---|---|---|---|---|---|
| High-Carbon Scenario | 2023 −2030 |
1.00% | 6.50% | 8.00% | 6.50% | −3.00% | 2.50% |
| 2031 −2035 |
0.80% | 5.50% | 7.60% | 6.30% | −3.20% | 2.30% | |
| 2036 −2040 |
0.50% | 4.50% | 7.30% | 6.10% | −3.40% | 2.10% | |
| Baseline Scenario | 2023 −2030 |
0.7% | 6.00% | 7.50% | 6% | −3.50% | 2% |
| 2031 −2035 |
0.50% | 5.80% | 7.30% | 5.80% | −3.70% | 1.80% | |
| 2036 −2040 |
0.30% | 5.60% | 7.10% | 5.60% | −3.90% | 1.60% | |
| Low-Carbon Scenario | 2023 −2030 |
0.30% | 5.40% | 7.00% | 5.50% | −4.00% | 1.50% |
| 2031 −2035 |
0.20% | 5.30% | 6.90% | 5.30% | −4.50% | 1.30% | |
| 2036 −2040 |
0.10% | 5.20% | 6.80% | 5.00% | −5.00% | 1.00% |
| Evaluation Indicator | BP | LSTM | CNN-LSTM | CNN-LSTM-Attention |
|---|---|---|---|---|
| MSE | 0.0042 | 0.0399 | 0.0050 | 0.0006 |
| RMSE | 0.0647 | 0.1999 | 0.0706 | 0.0241 |
| R2 | 0.9649 | 0.8845 | 0.9731 | 0.9974 |
Disclaimer/Publisher’s Note: The statements, opinions and data contained in all publications are solely those of the individual author(s) and contributor(s) and not of MDPI and/or the editor(s). MDPI and/or the editor(s) disclaim responsibility for any injury to people or property resulting from any ideas, methods, instructions or products referred to in the content. |
© 2026 by the authors. Licensee MDPI, Basel, Switzerland. This article is an open access article distributed under the terms and conditions of the Creative Commons Attribution (CC BY) license (http://creativecommons.org/licenses/by/4.0/).