Submitted:
30 March 2026
Posted:
31 March 2026
You are already at the latest version
Abstract
Keywords:
1. Introduction
2. The 4-Simplex Properties
- Vertices (0-faces):
- Edges (1-face):
- Faces (2-faces):
- Cells (3-faces):
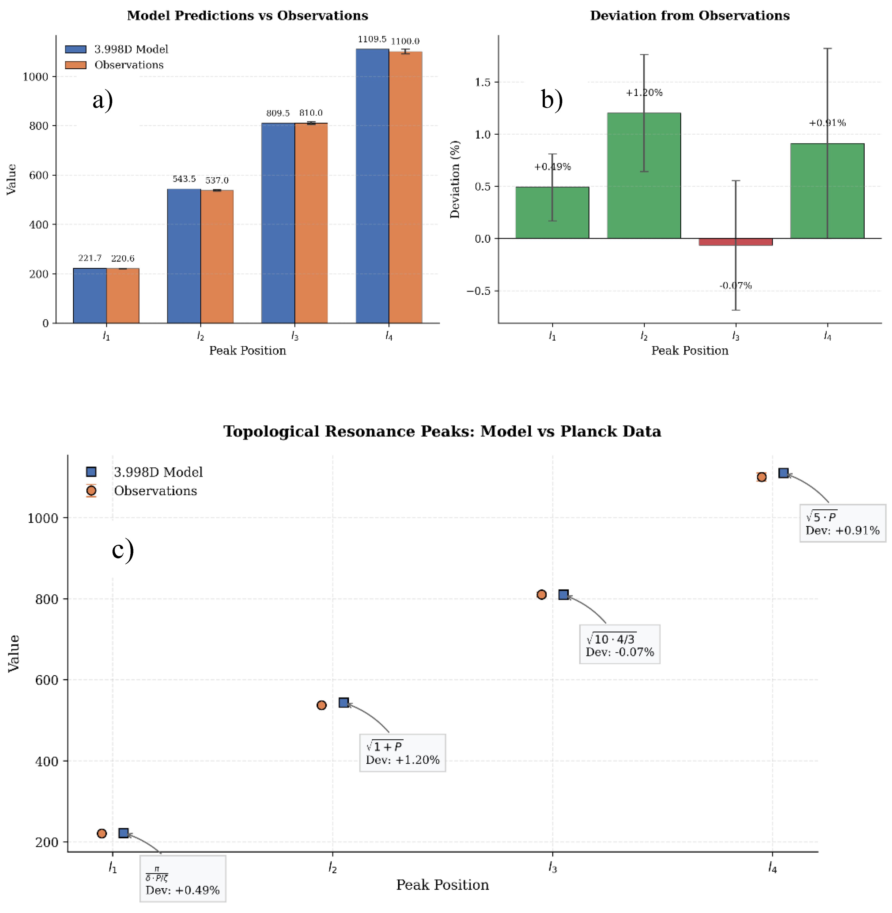
3. Derivation of ℓ₁, ℓ2; ℓ3 and ℓ4 Peak Positions
4. Theoretical Predictions vs. Empirical Observations
5. CMB Peak Amplitude ( − ) Derivation
5.1. Topological Constants and Manifold Stiffness
5.2. The Global Power Scale ()
5.3. The 4-Simplex Multipliers ()
- (Edges):
- (Vertices):
- (Faces):
- (Cells):
5.4. The Topological Dilution Factor ()
- :
- :
- :
- :
6. Conclusions
Funding
Acknowledgments
Appendix A: Table of 3.998D Manifold Framework Constants and Parameters Applied in this Paper
| Symbol | Value | Definition | Meaning |
|---|---|---|---|
| 3.998 | Spectral dimension | Fractional dimensionality of the manifold | |
| 0.002 | Dimensional deficit | Leakage channel between 3D and 4D bulk | |
| Manifold stiffness constant (resistance to curvature change) | |||
| Symmetry gate (normalisation constant) | Projects near-4D fractional plane into observable 3D | ||
| Metric compaction | Compaction of space due to stiffness | ||
| Critical vacuum density floor | Density threshold for clamping/unclamping | ||
| Lensing gain | Geometric magnification factor | ||
| Volumetric crowding factor | Geometric ratio of 4D projection into 3D | ||
| Logarithmic information capacity ratio | Extra field capacity of fractional manifold (applied only to ℓ₄) | ||
| Number of vertices in 4-simplex | Fundamental topological unit count | ||
| Binomial coefficients | Number of k-dimensional elements in n-simplex | ||
| Edges (1-faces) | Topological multiplier for | ||
| Faces (2-faces) | Topological multiplier for | ||
| Cells (3-faces) | Topological multiplier for | ||
| Vertices (0-faces) | Topological multiplier for | ||
| 2.7285 K | Observed monopole temperature of CMB |
Appendix B: Derived Quantities, Multipliers, Peak Positions, Amplitudes and Relations
| Quantity | Symbol | Relation | Numerical Value (paper) | Topological Significance |
|---|---|---|---|---|
| Fundamental angular scale | Leakage-channel scale | |||
| Primary peak position | Fundamental stiffness projection | |||
| Relaxation multiplier | Manifold relaxation speed | |||
| Second peak | First relaxation mode | |||
| Third-peak multiplier | 4-simplex face resonance (10 faces) | |||
| Third peak | Full topological resonance | |||
| Fourth-peak multiplier | Volumetric cell resonance (5 cells) | |||
| Fourth peak | 4-simplex cell resonance | |||
| Manifold stiffness | Geometric clamping force | |||
| Monopole temperature | Pure-manifold resonance temperature | |||
| Global power scale | Primitive amplitude scale | |||
| Topological multipliers |
|
Element counts of 4-simplex | ||
| Dilution factor | Power attenuation across cumulative interfaces | |||
| Peak amplitude (general) | Resonant mode amplitude | |||
| ℓ₁ amplitude | Edges resonance | |||
| ℓ₂ amplitude | Vertices resonance | |||
| ℓ₃ amplitude | Faces resonance | |||
| ℓ₄ amplitude | Cells resonance (with volumetric correction) |
Appendix C: Topological Origin of the Power-Scale Factor used in Derivation
-
Vertex Count (): 5(The point-sources of the manifold);
-
Edge Count (): 10(The propagation lines between points);
-
Phase Duality (): 2(Representing the bidirectional/time-symmetric flow in a superfluid);
- ○
- represent a one-way vector.
- ○
- represents a standing wave, ensuring equilibrium state.
- i.
- The Potential Sources ():
- ii.
- The Skeletal Structure ():
- iii.
- Recognition of the Duality ():
- iv.
- The Power Square (): In wave mechanics, the amplitude (100 states) is converted to power square law (). Thus:
References
- Plank Collaboration, “Planck 2018 results,” Astronomy & Astrophysics, vol. 641, no. A6, p. 67, 2020.
- W. Hu and N. Sugiyama, “Anisotropies in the cosmic microwave background: an analytic approach,” Astrophysical Journal, vol. 444, no. 2, pp. 489-506, 1994.
- E. Rosenberg, S. Gratton and G. Efstathiou, “CMB power spectra and cosmological parameters from Planck PR4 with CamSpec,” Monthly Notices of the Royal Astronomical Society, vol. 517, no. 3, p. 4620–4636, 2022.
- S. Capozziello, C. A. Mantica, L. G. Molinari and G. Sarracino, “Constraints on cosmological parameters and CMB first acoustic peak in conformal Killing gravity,” Physical Review D, vol. 113, no. 1, p. 14, 2026.
- Planck Collaboration, “I. Overview and the cosmological legacy of Planck,” Astronomy & Astrophysics, vol. 641, no. A1, p. 56, 2020.
- W. Hu and M. White, “Acoustic Signatures in the Cosmic Microwave Background,” The Astrophysical Journal, vol. 471, no. 1, p. 30, 1996.
- W. Hu and S. Dodelson, “Cosmic Microwave Background Anisotropies,” Annual Review of Astronomy and Astrophysics, vol. 40, pp. 171-216, 2002.
- M. Milgrom, “A modification of the Newtonian dynamics as a possible alternative to the hidden mass hypothesis,” The Astrophysical Journal, vol. 270, pp. 365-370, 1983.
- C. Opoku, “The 3.998D Manifold Framework: Assessment of Geometric Unification and the Resolution of Galactic Rotation Anomalies.,” Preprint.org, p. 16, 2026.
- C. Opoku, “Assessment of Lensing Magnification and Spatial Offset in the Bullet Cluster and Similar Galaxy Clusters Through the 3.998D Lens,” Preprints 2026, p. 12, 2026.
- J. D. Bekenstein, “Relativistic gravitation theory for the modified Newtonian dynamics paradigm,” Physical Review D, vol. 70, no. 8, p. 28, 2004.
- G. Calcagni, D. Oriti and J. Thürigen, “Spectral dimension of quantum geometries,” IOP Science home, vol. 31, no. 13, p. 135014, 2014.
- P. Hořava, “Spectral Dimension of the Universe in Quantum Gravity at a Lifshitz Point,” Physical Review Letters, vol. 102, no. 161301, p. 4, 2009.
- C. Rourke, “A geometric alternative to dark matter,” arxiv, no. 1911.08920, 2020.
- C. Opoku, “The comprehensive Audit 3.998D Framework,” ResearchGate, p. 10, 1 2026.
- H. S. M. Coxeter, Regular Polytopes, New York: The Macmillan Company, 1973.
- A. Bjorner and F. Brenti, Combinatorics of Coxeter Groups, New York: Springer, 2005.
- J. D. Bekenstein, “The modified Newtonian dynamics—MOND and its implications for new physics,” Contemporary Physics, vol. 47, no. 6, p. 387–403, 2006.


| Peak Position | Topological Significance | Multiplier | 3.998D Value | Observations | Deviation (%) |
|---|---|---|---|---|---|
| Fundamental Stiffness Projection | |||||
| Manifold Relaxation Speed | |||||
| 4-Simplex Face Count (10) | |||||
| 4-Simplex Cell Count (5) |
| ) | Component | Calculation | Theoretical ) |
) |
|---|---|---|---|---|
| Edges () | 5920.18 | ~5750–5950 | ||
| Vertices () | 1974.38 | ~1900–2100 | ||
| Faces () | 2368.07 | ~2400–2600 | ||
| Cells () | 1083.30 | ~1100–1300 |
Disclaimer/Publisher’s Note: The statements, opinions and data contained in all publications are solely those of the individual author(s) and contributor(s) and not of MDPI and/or the editor(s). MDPI and/or the editor(s) disclaim responsibility for any injury to people or property resulting from any ideas, methods, instructions or products referred to in the content. |
© 2026 by the authors. Licensee MDPI, Basel, Switzerland. This article is an open access article distributed under the terms and conditions of the Creative Commons Attribution (CC BY) license (http://creativecommons.org/licenses/by/4.0/).