Preprint
Article

This version is not peer-reviewed.

Research on the Decision-Making of Technological Transformation and Pollution Reduction and Carbon Emission Reduction of Energy Enterprises under the Reputation Incentive Mechanism

Submitted:

09 March 2026

Posted:

10 March 2026

You are already at the latest version

Abstract

This paper addresses the practical challenge of inadequate motivation for energy enterprises to reduce pollution and carbon emissions in the context of increasing environmental pollution and carbon emissions. From the perspective of the informal institution of reputation incentives, this paper constructs a tripartite evolutionary game model involving energy enterprises, the public and the government. Through theoretical derivation and numerical simulation, the paper systematically analyzes the influence path of reputational gains and losses on enterprises' technological transformation decisions, and examines the moderating effects of key parameters such as transformation costs and government subsidies. The conclusions are as follows: (1) The reputation incentive mechanism regulates the cost-profit structure of enterprises through the dual effects of reputation gains and losses, and has a significant driving effect on the technological transformation and pollution reduction and carbon emission reduction of energy enterprises. (2) The three-party strategy exhibits dynamic dependence and collaborative evolution characteristics. The system converges to the ideal equilibrium of enterprise transformation, public participation, and government empowerment, depending on the relative magnitudes and coupling relationships of key parameters such as transformation costs. (3) Government subsidies provide short-term incentives for enterprises to undergo transformation, but they also impose long-term constraints. Therefore, government subsidies need to be combined with the reputation incentive mechanism to achieve sustainable governance. These findings provide a theoretical foundation and practical reference for designing incentive-compatible policy combinations and promoting the deep low-carbon transformation of energy enterprises.

Keywords: 
;  ;  ;  ;  

1. Introduction

Currently, environmental pollution and excessive carbon emissions are core bottlenecks constraining global ecological security and sustainable socioeconomic development. These issues not only trigger a series of ecological crises, such as frequent extreme weather events and sharp declines in biodiversity[1], but also pose severe threats to the foundations of human production and daily life [2]. Advancing the coordinated development of pollution reduction and carbon emission reduction is an urgent priority. As major sources of pollution and carbon emissions, energy enterprises’ traditional models of energy production and consumption can no longer satisfy the requirements of high-quality development. To break through development bottlenecks, such enterprises urgently need technological transformation. This need will deliver synergistic benefits for pollution reduction and carbon emission reduction [3]. The technological transition enables energy enterprises to optimize production processes, boost energy efficiency, and deploy low-carbon technologies, thus accomplishing synergistic governance of pollution reduction and carbon abatement [4]. At present, a large number of energy enterprises are actively promoting transformation and implementing pollution and carbon reduction practices. For instance, BYD's production bases have achieved 100% green electricity supply. Leveraging core technologies like blade batteries and super hybrid systems, the enterprise develops low-consumption new energy products, cumulatively reducing societal carbon emissions by over 22 million tons. Through full-lifecycle technological innovation, BYD is driving deep implementation of pollution reduction and carbon reduction. In the practical advancement of technological transformation and pollution reduction efforts within energy enterprises, policy constraints and economic incentives alone are no longer sufficient to support long-term corporate development [5]. Reputation incentive mechanisms, as a soft governance approach, offer new logic and pathways for enterprises' pollution reduction and carbon mitigation decision-making.
Reputation incentive mechanisms, as quintessential informal institutions, directly influence the cost-benefit calculations of corporate technological innovation by transforming social evaluations and market signals into core corporate assets. Such a mechanism guides energy enterprises to optimize their energy structures, upgrade production processes, invest in low-carbon technology R&D, and drive comprehensive technological transformation across the board [6]. Technological transformation enables enterprises to establish a sound environmental reputation. This positive environmental reputation elevates enterprises’ competitive standing in market transactions, cuts financing costs for green technologies and helps enterprises gain access to favorable policy incentives [7]. These advantages form stable external support and internal motivation for implementing pollution reduction and carbon emission reduction initiatives. Simultaneously, the spillover effects of the reputation incentive mechanisms can also guide governments to optimize green governance models and enhance policy implementation efficiency, further strengthening the synergistic effects of technological transformation and pollution reduction/carbon emission reduction. Integrating formal regulations with informal reputation incentive mechanisms can drive energy enterprises to shift from passive compliance to proactive innovation, ensuring that the outcomes of technological transformation are fully translated into tangible pollution reduction and carbon emission reduction results, thereby achieving synergistic benefits between the two. Therefore, reputation incentive mechanisms serve not only as a crucial driver for accelerating technological transformation in energy enterprises, but also function as an informal institutional support system. By leveraging technological transformation as a connecting link, these mechanisms help energy enterprises achieve pollution reduction and carbon emission reduction targets, thereby realizing green, low-carbon, and high-quality development [8].
Based on the above analysis, this paper, from the perspective of the tripartite evolutionary game, focuses on reputation incentives as the core variable, constructing a strategic interaction framework among energy enterprises, the public, and the government, to explore the impact pathways of reputation gains and losses on energy enterprises' technological transformation decisions. Through numerical simulations, this paper validates the regulatory effects of key parameters such as costs and subsidies. Ultimately, this paper provides theoretical support and practical references to optimize strategic choices for all three parties and to advance the deep low-carbon transformation of energy enterprises.

2. Literature Review

2.1. Research on the Technological Transformation and Pollution Reduction-Carbon Emission Mitigation of Energy Enterprises

The technological transformation of energy enterprises and the reduction of pollution and carbon emissions are the key paths for promoting the green development of the industry. Meng and Hu pointed out that the low-carbon transformation of enterprises not only enables them to reduce pollution emissions, promote internal technological innovation, but also enhances the enterprise value and improves the overall productivity [9]. Additionally, Zeng and He added that synergies between pollution reduction and carbon emission reduction can ease China's dual pressures in improving environmental quality and reducing greenhouse gas emissions [10].
The synergistic benefits of pollution reduction, carbon emission reduction, and green transformation in energy enterprises require feasible technical pathways to achieve. Existing research consistently indicates that technological transformation, exemplified by digitalization and artificial intelligence (AI), serves as the core driving force enabling energy enterprises to meet their pollution reduction and carbon emission reduction objectives. Chen et al. revealed a U-shaped relationship between artificial intelligence computing power and the green transformation of energy enterprises in their research, highlighting the importance of technological maturity [11]. Zhao and Li focused on how AI can mitigate the negative effects of public pressure, thereby driving green innovation and transformation in energy enterprises [12]. Zhou et al.[13] and Liu Y and Song [14] both confirmed the positive impact of digitalization on green transformation and green innovation, and pointed out that green innovation played a crucial mediating role in this process. Ran et al. [15] and Sun et al. [16] further emphasized the critical role of digitalization in mitigating information asymmetry. Digitalization is regarded as a key mechanism for effectively reducing information asymmetry between governments and enterprises and promoting corporate green transformation.
However, the effects of the technological transformation are not isolated. The government, as a key driver, plays multiple roles in this process. Firstly, as environmental regulators, the government directly imposes external constraints through command-and-control policies. However, as Wang and Zhang pointed out, such regulation may encourage enterprises to increase green investment, but it may not necessarily drive their overall transformation [17]. To enhance internal motivation, the government then acts as an incentive provider and offers support through economic means such as subsidies. Guo et al. founded that this not only alleviates financial pressure but also conveys positive signals to the market, stimulating enterprises to take the initiative in transformation [18]. Based on this, the government further assumes the role of a market builder. The carbon trading mechanism has been demonstrated by Chen et al. [19] and Zhang et al. [20] to effectively promote the low-carbon transformation of high-energy-consuming enterprises and generate significant synergistic effects in reducing pollution and carbon emissions. At the governance system level, as the designer of the system, the government's policy intensity has an impact on the effectiveness of the transformation. Zhou and Han pointed out that command-and-control policies need to reach a certain intensity to be effective [21].

2.2. Related Research on Multi-Agent Decision-Making Under Reputation Incentive Mechanisms

Reputation incentive mechanisms, as a typical medium-to-long-term incentive approach [22], fundamentally leverage individuals' self-preservation instincts regarding their public image to generate self-regulatory forces and actions under conditions of information asymmetry. This mechanism enables cost-effective and self-disciplined regulation of organizational behavior, serving dual roles of motivation and constraint [23].
For enterprises, embedding reputation incentive mechanisms into regulatory frameworks can guide corporate decision-making. Guo et al. demonstrated through an evolutionary game model that the risk of reputational damage serves as a significant motivator for enterprises to opt for genuine green transitions [24]. Bal-Domańska et al. specifically addressed this point, noting that reputation is a key determinant in the adoption of eco-innovation for enterprises of all sizes. For large enterprises in particular, reputation holds equal importance alongside legal requirements and incentive mechanisms [25]. Furthermore, Ji et al. [26]and Cao et al. [27]focused on the strategic interactions between governments and energy enterprises. Both teams emphasized that government-imposed subsidies and penalties must be integrated with enterprises' reputational considerations to more effectively incentivize green innovation or compliance-driven emissions reductions. Wang and Zhang revealed from the perspective of manufacturing capacity sharing that, based on blockchain technology ensuring trustworthy information, an increase in the reputation gain coefficient can effectively promote active cooperation among enterprises [28]. This supports the "reputation incentive" path proposed by Shahab et al., which states that social trust, when transformed into an enterprise's reputation capital, can motivate it to consciously regulate its environmental behavior [29]. Therefore, the technological transformation and pollution reduction-carbon emission reduction decisions of enterprises essentially represent strategic choices made after weighing the short-term costs and the long-term market advantages and social recognition brought about by reputation capital.
As a key stakeholder in environmental governance, the public's decision-making behavior is also influenced by reputation incentive mechanisms [30]. Jordan proposed a "pull and push" theoretical framework, suggesting that the public, acting as "evaluators", may be drawn toward cooperation by the reciprocated benefits signaled by reputable actors or compelled to engage through social normative pressure [31]. This framework provides a theoretical foundation for understanding public sensitivity to reputation. On the behavioral level, Yao and Li further revealed through an evolutionary game model that reputation can guide individuals to imitate those with high reputation, thereby acting as a "social amplifier" to promote cooperation and stabilize social order [32]. At the same time, combining reputation incentives with other approaches can effectively guide public decision-making. For instance, studies by Guo et al. [33] and Han et al. [34] respectively confirmed that in carbon credit programs and rural waste sorting initiatives, "economic-reputation" composite incentives most effectively enhance public willingness to participate and behavioral engagement. Moreover, digital technologies have amplified the public's capacity for reputation oversight. The online reputation assessment framework developed by Zhong et al. demonstrated that public sentiment can be transformed into systematic, visualizable reputation signals, thereby exerting more direct influence on corporate and governmental behavior [35].

2.3. Shortcomings and Implications of Existing Research

The existing research provides important insights and directions for this paper: Firstly, this paper can delve deeply into how technological transformation serves as an infrastructure to restructure the accumulation path and incentive transmission mechanism of reputation capital, thereby revealing the intrinsic principle of the collaborative driving force of green transformation of enterprises. Second, through simulation analysis, future research could determine the critical values of variables, such as reputation gains and losses, in relation to enterprises' transformation choices and public consumption decisions. At the same time, quantify the synergistic or contradictory effects of subsidies and reputation incentives, thereby enhancing the practical guidance of the research. Third, academia and policymakers must address how digital technologies, while enhancing information transparency, may also generate new risks of information noise and manipulation. It is essential to ensure that reputation incentives function healthily and effectively within the digital environment.
However, the existing literature has the following shortcomings: Firstly, the existing literature does not integrate the reputation incentive mechanism with the technological transformation and pollution reduction and carbon emission reduction of energy enterprises for analysis, and lacks an analysis of how reputation interacts with formal policy tools to drive the transformation of energy enterprises. Secondly, the existing research fails to clearly define the specific thresholds of the key variables such as reputation gains and losses in relation to enterprises' transformation choices and public consumption decisions. The explanation of the endogenous driving force of transformation is not comprehensive enough and cannot be directly applied to guide the specific decisions of enterprises and the public. Finally, the existing research fails to adequately explore the new issues arising from the accelerated dissemination of reputation information in technological environments such as social media and blockchain, including the increased risk of "green whitening" and the potential loss of focus in public opinion supervision.

3. Problem Description and Model Assumptions

3.1. Problem Description

Under the dual pressures of global climate change and environmental pollution, promoting technological transformation in energy enterprises and achieving coordinated pollution reduction and carbon emission reduction have become strategic priorities for national sustainable development. Reputation incentive mechanisms can guide corporate behavior through market and social signals. Energy enterprises, the public, and governments are core stakeholders. Each plays a critical role and engages in deep interaction during the transformation and pollution reduction and carbon reduction process. The government, as institutional designer and regulator, plays a coordinating and guiding role through policy regulation, economic incentives, and the development of information platforms. The public, as both market drivers and social supervisors, generate social pressure and send signals of choice through green consumption preferences and environmental discourse. Energy enterprises, as core implementers and primary agents of transformation, make decisions on whether to undertake deep low-carbon technological transformation after weighing the costs and benefits. These three actors form a mutually influential, dynamically interacting collaborative system, with their fundamental relationships shown in Figure 1.
Specifically, the reputation incentive mechanism, as an informal institutional arrangement, provides a new pathway for behavioral interactions among enterprises, the public, and the government through soft constraints such as social evaluation, public oversight, and market signals. Under the influence of reputation incentive mechanisms, public consumption preferences, perceptions of environmental welfare, and social oversight collectively form market demand signals. Government-designated reward and punishment mechanisms, refined regulatory frameworks, and the enabling power of reputation incentive mechanisms collectively establish institutional constraints. Meanwhile, energy enterprises' environmental information disclosure and reputation management trigger reputation signals. These signals and constraints collectively drive energy enterprises to optimize their energy structures, upgrade production processes, and advance low-carbon technology R&D, ultimately achieving technological transformation and reducing pollution and carbon emissions. Thus, energy enterprises, the public, and the government form a dynamic, interactive, and strategically interdependent evolutionary game system, with its game mechanism pathway shown in Figure 2.

3.2. Model Assumptions

Based on the behavioral logic among energy enterprises, the public, and the government, this paper proposes the following assumptions:
Assumption 1: The game involves three players—energy enterprises, the public, and the government—all operating with bounded rationality and limited information. Each seeks to maximize its own interests or utility. Through continuous learning, imitation, and strategy adjustment during the game, they strive to achieve their respective goals of maximizing self-interest or utility.
Assumption 2: In reputation-driven synergistic governance for pollution reduction and carbon emission reduction, energy enterprises adopt the strategy {low-carbon transformation reputation disclosure, traditional production reputation concealment}. The probability of choosing the low-carbon transformation reputation disclosure strategy is x , while the probability of choosing the traditional production reputation concealment strategy is 1 x ( 0 < x < 1 ) . The public's strategic choices are {preference for green energy products, reliance on traditional products}. The probability of choosing the green product preference strategy is y , and the probability of choosing the indifference consumption strategy is 1 y ( 0 < y < 1 ) . The government's strategy choice is {reputation-driven supervision, uniform supervision}. The probability of choosing the reputation-driven supervision strategy is z , and the probability of choosing the uniform supervision strategy is 1 z ( 0 < z < 1 ) .
Assumption 3: The cost of proactive transformation for energy enterprises is C e 1 , while the cost of passively maintaining the status quo is C e 2 ( C e 2 < C e 1 ) . If energy enterprises proactively transform and exceed pollution reduction and carbon emission reduction targets, they gain reputation premium benefits of R e and carbon emission rights sale revenue of T . Passively maintaining the status quo, however, leads to excess carbon emissions, resulting in reputation damage losses of L e and carbon emission rights purchase costs of C e 3 .
Assumption 4: When consumers opt for green energy products, they bear a higher purchase cost C p . Simultaneously, they gain reputational benefits R p for supporting the green transition. If consumers choose indifference consumption—that is, not distinguishing the green attributes of energy products—they may save some consumption costs in the short term but risk reputational loss L p 1 , such as facing social pressure.
Assumption 5: The government actively implements a reputation incentive mechanism, incurring regulatory costs of C g 1 . To incentivize energy enterprises to proactively transition, the government provides subsidies of S . Enterprises that refuse to transition or passively maintain the status quo are fined F , and their environmental performance is publicly disclosed. If the government adopts a non-differentiated regulatory strategy, the regulatory costs amount to C g 2 ( C g 2 < C g 1 ) .
Assumption 6: When energy enterprises proactively implement low-carbon transformation, the government gains environmental benefits E g , including improved air quality, ecosystem restoration, and enhanced green image, while the public receives environmental welfare E p , such as improved health conditions and enhanced quality of life. Conversely, if enterprises passively maintain traditional production methods, the government will bear environmental losses L g , including pollution control costs and international pressure to reduce emissions, while the public will incur health losses L p 2 , such as increased medical expenses due to pollution and diminished quality of life.

3.3. Payment Matrix

Based on the model assumptions and parameter settings, this paper constructs a three-party entity evolution game payment matrix as shown in Table 1. This matrix systematically integrates all the parameters and game strategies set in the previous text, and completely depicts the eight strategy combinations formed when energy enterprises choose "low-carbon transformation reputation disclosure" or "traditional production reputation concealment", and when the public chooses "preference for green energy products" or "reliance on traditional products", under the two government strategies of " reputation-driven supervision " and "uniform supervision". This payment matrix serves as the basis for subsequent analysis of the interaction of various strategies, solving the replicative dynamic equation, and studying the evolutionary equilibrium of the system.

3.4. Evolutionary Game Replicator Dynamic Equation

Construct the replicating dynamic equations for the three entities. Let E 11 denote the expected return for energy enterprises choosing to disclose low-carbon transition reputations, E 12 denote the expected return for choosing to conceal traditional production reputations, and E 1 ¯ denote the average expected return, as shown in Eqs. (1)-(3).
E 11 = y z ( R e C e 1 + T + S ) + ( 1 y ) z ( C e 1 + R e + T + S ) + y ( 1 z ) ( C e 1 + R e + T ) + ( 1 y ) ( 1 z ) ( C e 1 + R e + T )
E 12 = y z ( C e 2 L e C e 3 F ) + ( 1 y ) z ( F C e 2 L e C e 3 ) + y ( 1 z ) ( C e 2 L e C e 3 ) + ( 1 y ) ( 1 z ) ( C e 2 L e C e 3 )
E 1 ¯ = x E 11 + ( 1 x ) E 12
The replicating dynamic equation F ( x ) for energy enterprises' strategic choices is shown in Eq. (4).
F ( x ) = d x d t = x ( E 11 E 1 ) = x ( 1 x ) ( E 11 E 12 ) = x ( x 1 ) ( C e 2 C e 1 + C e 3 + L e + R e + T + F z + S z )
F ' ( x ) = ( C e 2 C e 1 + C e 3 + L e + R e + T + F z + S z ) ( 2 x + 1 )
According to the principle of stability in differential equations, the strategic choices of energy enterprises must satisfy F ( x ) = 0 and F ( x ) < 0 to remain in a stable state.
Let the expected utility of choosing green energy products be denoted as E 21 , and the expected utility of choosing traditional products be denoted as E 22 . The average expected utility is denoted as E 2 ¯ , as shown in Eqs. (6)-(8).
E 21 = x z ( R p C p + E p ) + ( 1 x ) z ( L p 2 C p + R p ) + x ( 1 z ) ( E p C p + R p ) + ( 1 x ) ( 1 z ) ( R p C p L p 2 )
E 22 = x z ( L p 1 + E p ) + ( 1 x ) z ( L p 1 L p 2 ) + x ( 1 z ) ( L p 1 + E p ) + ( 1 x ) ( 1 z ) ( L p 1 L p 2 )
E 2 = y E 21 + ( 1 y ) E 22
The replicating dynamic equation F ( y ) for public strategy selection is shown in Eq. (9).
F ( y ) = d y d t = y ( E 21 E 2 ) = y ( 1 y ) ( E 21 E 22 ) = y ( y 1 ) ( L p 1 C p + R p )
F ' ( γ ) = ( L p 1 C p + R p ) ( 2 γ + 1 )
According to the principle of stability in differential equations, the public's strategy selection must satisfy F ( y ) = 0 and F ( y ) < 0 for the equilibrium to be stable.
Let the expected return of choosing reputation-based regulation be E 31 , and the expected return of choosing indiscriminate regulation be E 32 , with the average expected return being E 3 ¯ , as shown in Eqs. (11)-(13).
E 31 = x y ( E g C g 1 S ) + ( 1 x ) y ( C g 1 + F L g ) + x ( 1 y ) ( C g 1 S + E g ) + ( 1 x ) ( 1 y ) ( C g 1 + F L g )
E 32 = x p ( C g 2 + E g ) + ( 1 x ) p ( C g 2 L g ) + x ( 1 y ) ( C g 2 + E g ) + ( 1 x ) ( 1 y ) ( C g 2 L g )
E 3 = z E 31 + ( 1 z ) E 32
The replicating dynamic equation F ( z ) for government strategy selection is shown in Eq. (14).
F ( z ) = d z d t = z ( E 31 E 3 ) = z ( 1 z ) ( E 31 E 32 ) = z ( z 1 ) ( C g 1 C g 2 F + F x + S x )
F ' ( z ) = ( C g 1 C g 2 F + F x + S x ) ( 2 z 1 )
According to the principle of stability in differential equations, for the government's strategy selection to be in a stable state, it must satisfy F ( z ) = 0 and F ( z ) < 0 .

4. Evolutionary Stable Strategy Analysis

Setting F ( x ) = F ( y ) = F ( z ) = 0 , eight equilibrium points can be obtained, namely (0,0,0), (0,1,0), (0,0,1), (0,1,1), (1,0,0), (1,1,0), (1,0,1), (1,1,1). By combining with the replicator dynamic equation of the game entities, the Jacobian matrix J can be calculated. The equilibrium points and their corresponding eigenvalues are shown in Table 2.
Situation 1: When C e 2 C e 1 + C e 3 + F + L e + R e + S + T < 0 , and C p L p 1 R p < 0 , C p < L p 1 + R p ,the game system reaches a stable state at the equilibrium point E 4 ( 0,1 , 1 ) . That is, the strategy choices of the game subjects converge to a balanced state of "energy enterprises concealing their traditional production reputation, the public having a preference for green energy products, and the government enabling regulatory reputation".
At this point, _ C e 1 > C e 2 + C e 3 + F + L e + R e + S + T ,indicating that despite facing multiple pressures such as fines, carbon allowance purchases, and reputational damage, and despite enjoying incentives like subsidies, reputational gains, and carbon trading, the total cost of voluntary transformation for enterprises still exceeds the sum of all external incentives and avoidance costs. The reason lies in the prohibitively high costs of green technologies or initial investments. Consequently, even under a scenario combining government penalties and market incentives, energy enterprises find transformation uneconomical. Thus, they opt for "traditional production reputation concealment". C g 1 < C g 2 + F indicates that when the additional cost borne by the public for purchasing green energy products is less than the sum of the potential loss of social reputation from choosing traditional energy products and the personal reputation gains from supporting green consumption, opting for green consumption becomes more advantageous in terms of individual utility. This mechanism reveals that in a socially conscious environment, green preferences in consumption behavior are driven not only by environmental benefits but also by strong influences from social norms and personal reputation. C g 1 < C g 2 + F indicates that when enterprises are reluctant to transform while the public demands greener solutions, the government adopts a "reputation-driven supervision" strategy. Although this approach entails higher regulatory costs, the fines imposed on non-compliant enterprises and the potential reduction in environmental damage (or increased environmental benefits) from strengthened oversight sufficiently cover and exceed these additional costs. The government plays a pivotal role in correcting market failures and responding to public expectations. Through mandatory penalties and information disclosure, it seeks to exert pressure on enterprises while safeguarding public environmental rights.
Situation 2: When C e 1 C e 2 C e 3 L e R e T < 0 and C p L p 1 R p < 0 , the game system reaches a stable equilibrium at the point E 6 ( 1,1 , 0 ) . This means the players' strategy choices converge to a balanced state characterized by: "energy enterprises disclosing their low-carbon transition reputation, the public preferring green energy products, and the government implementing non-discriminatory regulation".
At this point, R e + T > C e 1 C e 2 C e 3 L e , indicating that when the sum of the reputation premium gains and carbon trading revenues obtained by enterprises through transformation exceeds the net costs (including penalties, carbon credit purchase costs, etc.) incurred compared to maintaining the status quo, the expected net benefit of transformation is positive. Under this mechanism, market incentives are sufficiently strong to cover transformation costs, driving energy enterprises to voluntarily adopt a "low-carbon transformation reputation disclosure" strategy even without direct government intervention through additional subsidies or penalties. C p < L p 1 + R p , identical to Situation 1. This indicates that the public's motivation for green consumption primarily stems from a robust social reputation mechanism, with their behavioral choices relatively independent of the actual pace of corporate transformation. Even when enterprises have not transformed, the public tends to choose green products to gain reputational benefits, avoid reputational losses, or obtain environmental welfare. This may reflect consumer choices under information asymmetry (where enterprises "conceal their reputation") or indicate that public demand for green products possesses a degree of rigidity or ethical attributes.

5. Simulation Analysis

5.1. Initial Assignment

The effectiveness of the evolutionary game model involving energy enterprises, the public, and the government is validated through numerical simulation. Specifically, simulation software is employed to model the influence patterns of key parameters on the system's evolutionary stable strategies. In the parameter assignment section, this paper analyzes data on energy consumption and environmental governance from the National Energy Administration's China Energy Development Report (2024), publicly available annual reports of energy enterprises such as State Grid, and the China Statistical Yearbook. It also draws upon the parameter assignment logic of Cui B Q et al. [36]and Ning J et al. [37], and made adaptive adjustments based on practical contexts. This was achieved through in-depth analysis of financial reports, official website disclosures, and sustainability reports from representative energy enterprises such as Petro China and Huaneng Group. By synthesizing policy texts and practical cases, we assign preliminary values to key parameters in the tripartite game involving energy enterprises, the public, and the government. The initial willingness of all three parties is set at 0.5, with specific values shown in Table 3. Based on this, we conduct a parameter sensitivity analysis to validate the effectiveness of the evolutionary stability analysis. The initial evolutionary simulation result is shown in Figure 3.
Under the initial assignment, the game system converges toward the E 6 ( 1,1 , 0 ) stable point, as shown in Figure 3. This equilibrium corresponds to the following stable strategy combination: energy enterprises opt for low-carbon transition reputation disclosure, the public chooses green energy product preference, and the government selects non-discriminatory regulation. This equilibrium outcome reveals that, under the current parameter conditions, the reputation incentive mechanisms at both market and societal levels have already formed effective self-governance, propelling the system toward autonomous evolution toward a green and low-carbon direction.

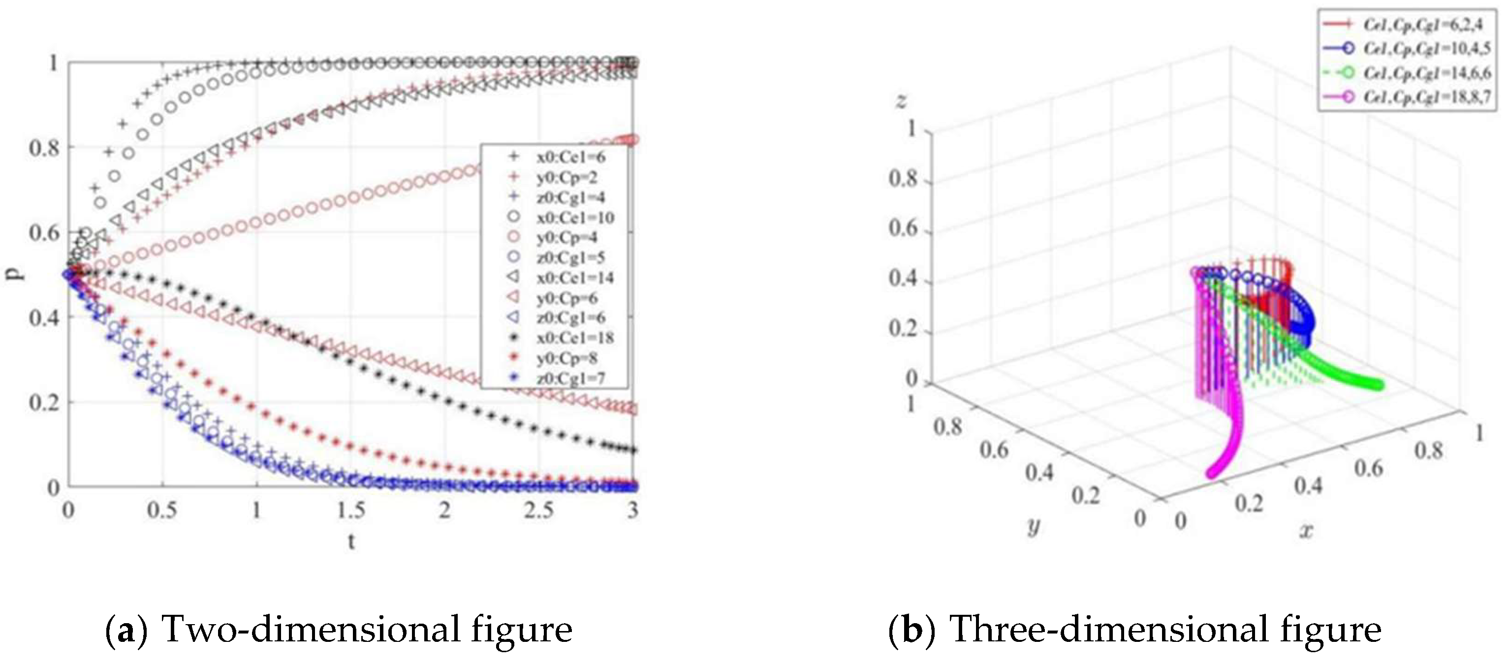
5.2. Cost Sensitivity Analysis of All Parties

The rising costs of low-carbon transition for energy enterprises and public green consumption exert a significant inhibitory effect on system evolution, as shown in Figure 4. When C e 1 is lower, enterprises actively pursue transformation; as costs rise, their willingness to transform declines. When costs become excessively high ( C e 1 = 18 ), they revert to traditional production, shifting the system from (1,1,0) to (0,1,0). When C p is lower, the public tends toward green consumption; as costs rise, willingness to consume diminishes. When costs become excessively high (e.g., C p = 6 , 8 ), consumption shifts to conventional patterns. If both C e 1 and C p are at high levels, the system will fall into a low-level equilibrium at (0,0,0), where enterprises refrain from transformation, the public abstains from consumption, and the government maintains weak regulation. Under these conditions, reputation incentives tend to become ineffective.
The fundamental cause of systems deviating from their ideal equilibrium due to rising costs lies in the imbalance of incentive structures among key stakeholders. For enterprises, excessively high transformation costs undermine the ability of reputational and market gains to offset these costs, trapping them in a "transformation is uneconomical" decision-making dilemma. For the public, increased costs of green consumption diminish its net utility. When costs exceed the combined value of reputational and environmental benefits, consumption patterns reverse. If both businesses and the public face high costs simultaneously, the system slides toward a (0,0,0) strategy where enterprises refuse to transform, the public ceases consumption, and government oversight weakens. Governments can substantially reduce the initial costs of enterprise transformation through subsidies for green technology R&D, tax incentives, and carbon revenue rebates, thereby incentivizing transition. By implementing consumer subsidies, green credit systems, and carbon benefits programs, they can lower the actual payment costs for the public. Meanwhile, strengthening environmental awareness campaigns enhances public perception of reputational gains, thereby bolstering the resilience of green consumption.

5.3. Benefit Sensitivity Analysis for All Parties

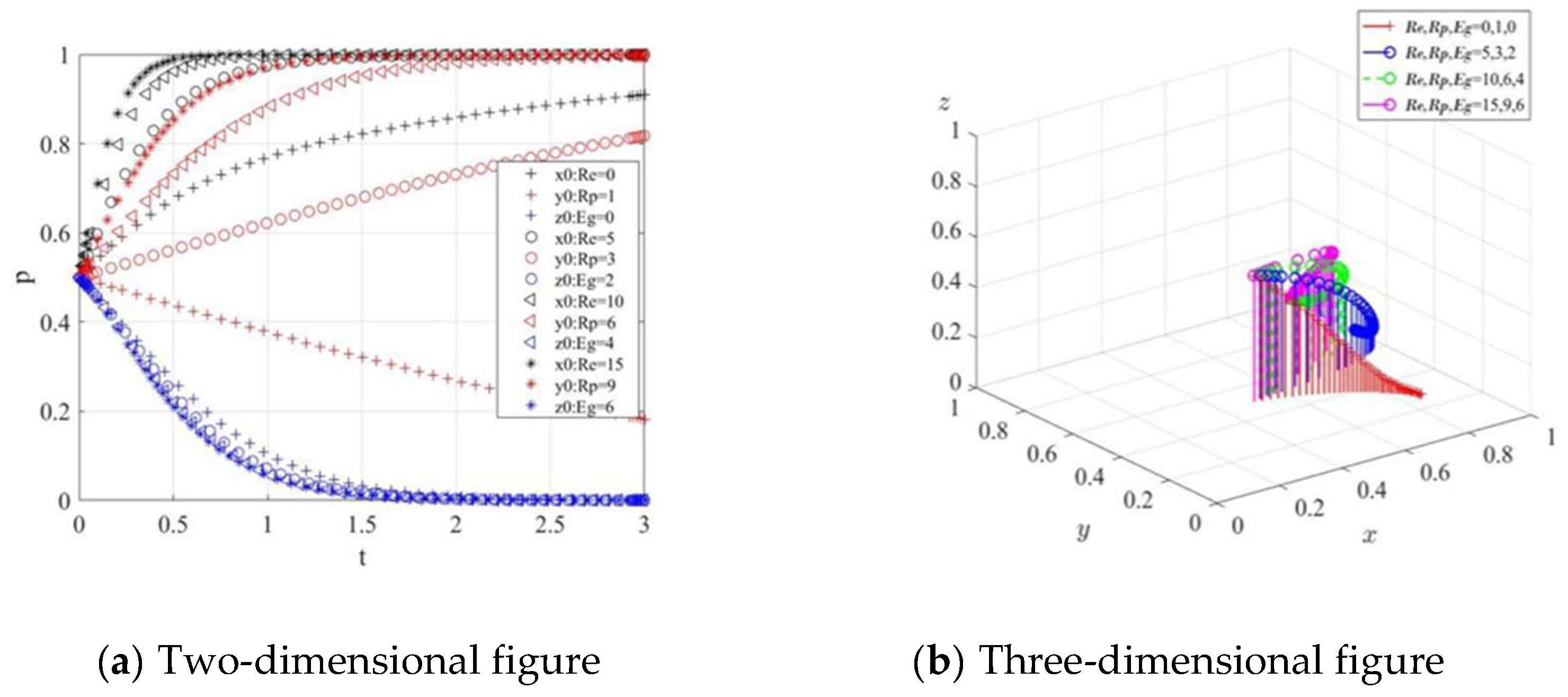
The magnitude of reputation gains significantly influences the strategic evolution of various agents, as shown in Figure 5. When enterprises lack reputational gains ( | R e = 0 ), their willingness to transform converges most slowly; as R e increases, the pace of transformation accelerates significantly. Public behavior is also sensitive to reputation gains R p : When R p is lower, the public tends to favor traditional products; after R p increases, the public's willingness to choose green products grows stronger and converges more rapidly. Government strategies are relatively less affected by changes in environmental benefits, indicating that their regulatory actions are driven more by cost structures.
Reputation gains can effectively influence strategic choices made by enterprises and the public. The underlying mechanism lies in reputation signals directly increasing the net benefits of adopting green behaviors through social evaluation and market feedback, thereby accelerating the system's convergence toward an ideal equilibrium. This finding demonstrates that establishing a visible, credible, and measurable reputation incentive mechanism is crucial in promoting the technological transformation of energy enterprises and advancing coordinated governance for pollution reduction and carbon emission reduction. Policies can further enhance the efficiency and incentive strength of reputation value transmission by strengthening corporate environmental information transparency, establishing personal carbon credit systems linked to consumption behavior, and creating social recognition frameworks. This approach will accelerate the formation of stable green behavioral orientation among enterprises and the public, reduce government regulatory costs, and propel the entire system toward a low-carbon sustainable development trajectory.

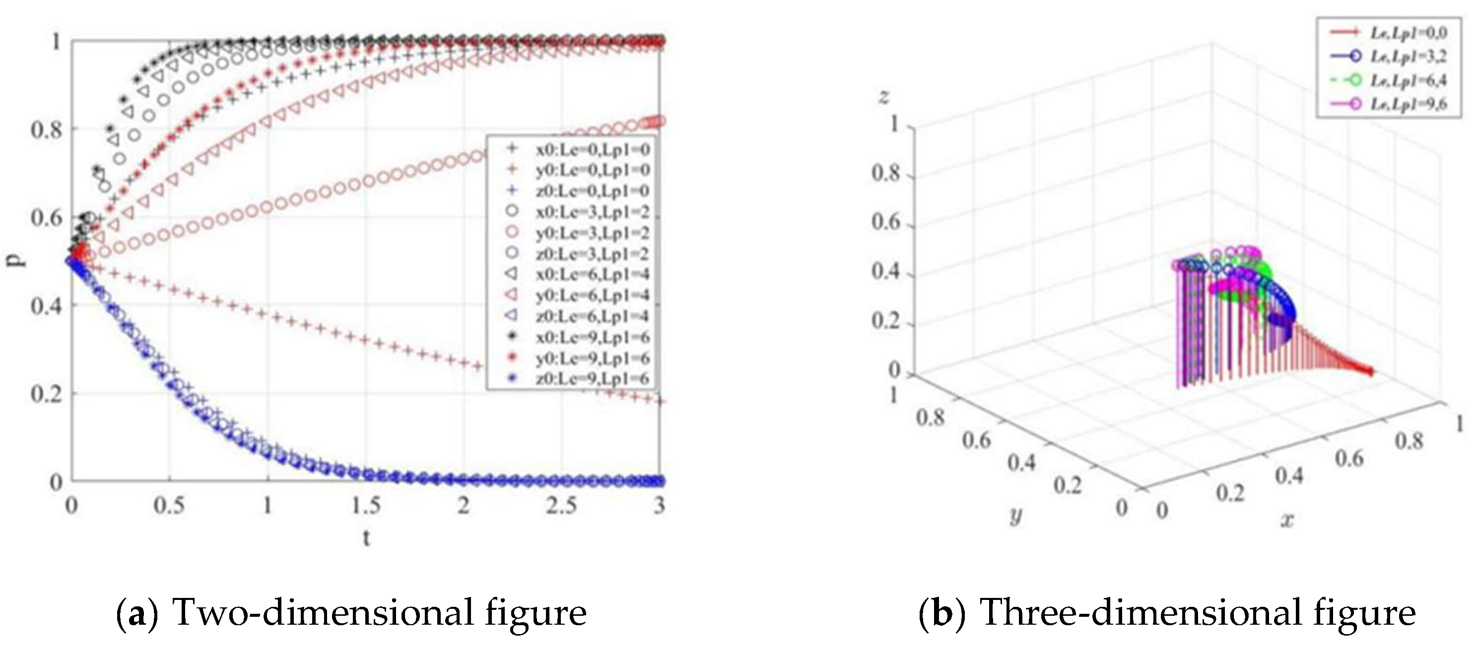
5.4. Sensitivity Analysis of Energy Enterprise and Public Reputation Losses

The magnitude of reputational losses significantly influences the strategic evolution paths of energy enterprises and the public, as shown in Figure 6. When there is no reputational loss, the public lacks incentive to purchase green products, and enterprises' willingness to transform converges slowly (t>2). As reputational losses gradually increase, the public shifts toward green consumption under pressure, and the convergence rate accelerates. Meanwhile, enterprises' willingness to transform accelerates as reputational losses increase, converging most rapidly at L p 1 = 9 (t≈1).
Reputational loss effectively alters the cost-benefit structure of actors' behavior by creating social pressure and market constraints: the public opts for green consumption to avoid reputational loss, while enterprises accelerate transformation to preserve their reputation. This reveals that social supervision and public opinion constraints can serve as powerful forces driving the green transformation. Therefore, policy design should focus on establishing transparent and timely environmental information disclosure and public supervision channels, moderately strengthening the social evaluation pressure on high-emission and high-pollution behaviors, thereby leveraging the reverse incentive effect of reputational loss to jointly stimulate the transformation drive of energy enterprises and the green choice intentions of the public, forming a "social supervision - enterprise response" virtuous governance cycle.

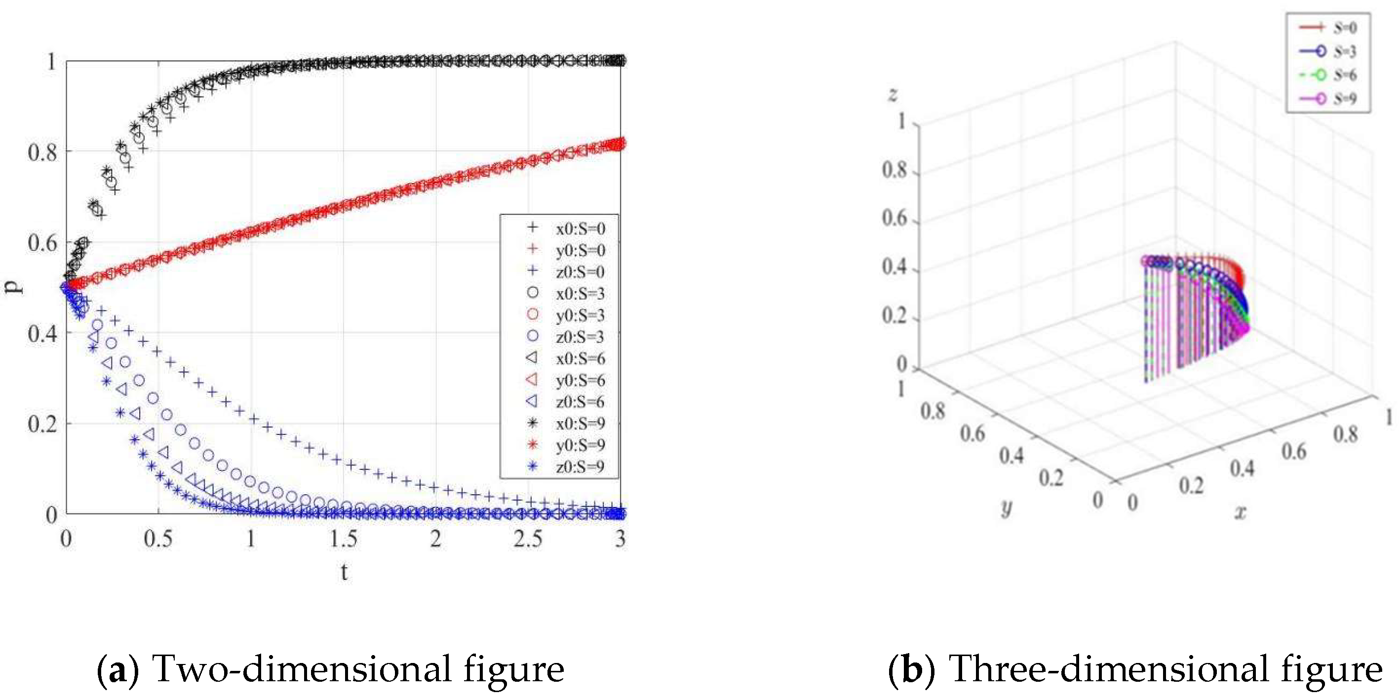
5.5. Subsidy Sensitivity Analysis for All Parties

Government subsidies have a significant impact on the low-carbon transformation behavior of energy enterprises, as shown in Figure 7. With no subsidies ( S = 0 ), enterprises may still choose to transform, but their strategy convergence rate is slower. As subsidy levels gradually increase, enterprises' willingness to transform significantly strengthens, and the speed at which they converge to stable strategies also accelerates. However, increased subsidies have also brought about corresponding shifts in government strategy: the willingness to adopt “reputation-empowered regulation” has gradually diminished, accelerating the pace at which this approach is being phased out. This reflects that substantial subsidies may exacerbate both fiscal and regulatory burdens on the government.
This phenomenon indicates that subsidy policies can effectively incentivize corporate transformation in the short term. However, long-term reliance on subsidies alone may weaken the government's motivation for sustained regulation and could induce dependency or moral hazard among enterprises. Therefore, policy design should emphasize balancing incentives with constraints, promoting the establishment of a subsidy mechanism featuring dynamic adjustments and conditional linkages. For instance, subsidies could be tied to enterprises' actual emission reduction performance and technological innovation investments, while gradually integrating diverse incentive mechanisms such as carbon markets and green finance. This approach would reduce excessive reliance on direct subsidies, thereby achieving synergistic development between sustainable government regulation and endogenous enterprise transformation.

6. Research conclusions and Implications

6.1. Research conclusions

This paper constructs and solves an evolutionary game model involving energy enterprises, the public, and the government, combined with numerical simulation analysis, to draw the following core conclusions:
First, the reputation incentive mechanism significantly drives energy enterprises' technological transformation decisions, influencing strategic choices through the dual effects of reputation gains and losses. Reputation gains and losses effectively regulate enterprises' cost-benefit structures through market signals and social evaluations, thereby serving as crucial complements to traditional administrative and economic tools.
Second, the strategic choices of all three parties exhibit characteristics of dynamic interdependence and co-evolution. Whether the system reaches the ideal equilibrium of "enterprises transformation, public participation, and government enabling" depends on the relative magnitudes and coupling relationships among key parameters such as transformation costs, subsidy levels, and reputational incentives.
Third, government subsidies provide short-term incentives for energy enterprises' transformation but impose long-term constraints. While increasing subsidy levels can accelerate the convergence of enterprise transformation strategies, it simultaneously weakens the government's willingness to implement "reputation-empowered regulation. " This could increase fiscal burdens and trigger moral hazard issues among enterprises. Relying solely on subsidies is insufficient for achieving sustainable governance; synergistic mechanisms such as reputation incentives must be integrated.

6.2. Research Implications

6.2.1. Theoretical Implications

The theoretical implications of this paper primarily lie in expanding and deepening our understanding of the role and mechanisms of informal institutions in multi-stakeholder environmental governance.
First, this paper demonstrates that reputation incentives can influence the cost-benefit structure of enterprises and public behavior preferences, thereby promoting technological transformation and pollution reduction and carbon emission reduction in energy enterprises. This differs from most previous research, which mainly focuses on policy regulations and economic subsidies [38]. The paper thus provides a new perspective for understanding the multiple driving mechanisms of enterprises' green transformation.
Second, the paper uses dynamic simulation to identify the critical thresholds and conditions governing key variables such as reputation gains and losses. This approach advances related research from qualitative descriptions toward quantitative and contextualized analysis [39], enabling the theory to more concretely explain the differences in strategic choices among agents and their evolutionary trends under varying cost-benefit structures.
Third, this paper reveals the dynamic transmission pathways and synergistic evolution mechanisms of reputation incentives within the complex "government-enterprise-public" system. It deepens theoretical understanding of the synergistic effects between informal institutions and formal regulations from the perspectives of strategic interaction and equilibrium stability [40].

6.2.2. Practical Implications

Based on the decision-making logic of energy enterprises' technological transformation and pollution reduction and carbon emission reduction, combined with the transmission rules of reputation incentives, the following practical implications are proposed:
First, establish a targeted reputation incentive system to enhance policy coordination effectiveness. It is recommended that the government align reputation ratings directly with policies such as fiscal subsidies, guided by energy conservation and carbon reduction targets. High-reputation enterprises should be granted priority in project approvals and tax breaks to reduce the costs of technological transformation. At the same time, a unified national reputation information disclosure platform will be established based on blockchain technology. This platform will dynamically link emissions reduction data with reputation ratings, transforming "reputation assets" into "drivers of transformation. " It will guide enterprises to shift from short-term compliance to long-term green development.
Second, establish a conversion pathway linking reputation to market value. Promote the integration of enterprise reputation ratings into green investment screening criteria within capital markets, guiding public funds and ESG asset management products toward high-reputation energy enterprises. Meanwhile, support high-reputation enterprises in converting pollution reduction and carbon emission reduction achievements into green brand premiums, enabling them to gain pricing advantages in end-use energy product markets (such as green electricity and green hydrogen). This approach amplifies the traction of reputation incentives by explicitly enhancing market value.
Third, enhance the green innovation responsiveness of energy enterprises and the public's rational participation capacity. Encourage enterprises to incorporate reputational risks into strategic investment decisions and increase R&D investment in key low-carbon technologies such as AI-enabled energy conservation and carbon capture. For the public, strengthen awareness of the long-term value of green consumption through environmental education, enabling reputational incentives to effectively drive behavioral changes on both the supply and demand sides.

Author Contributions

Conceptualization, X.Y. and Y.X.; methodology, X.Y.; software, X.Y.; validation, A.Q. and Y.X.; formal analysis, A.Q.; investigation, X.Y.; resources, Y.X.; data curation, X.Y.; writing—original draft preparation, Y.X.; writing—review and editing, Y.X.; visualization, X.Y.; supervision, A.Q.; project administration, Y.X.; funding acquisition, X.Y. All authors have read and agreed to the published version of the manuscript.

Funding

This work was supported by 2022 National Social Science Fund of China " Research on the In-fluence Mechanism and Promotion Strategy of Digital Service Trade on the Green Transformation of China's Manufacturing Industry" (Project number: 22BJY015).

Data Availability Statement

All data generated or analyzed during this study are included in this published article.

Acknowledgments

The authors thank the participants for their support to this study.

Conflicts of Interest

The authors declare no conflicts of interest.

References

  1. Fu, B.; Liu, Y.; Meadows, M. E. Ecological restoration for sustainable development in China. N. S. R. 2023, 10.7, nwad033. [Google Scholar]
  2. Aldoseri, M.; Khana, M. Sustainable Development and Environmental Harmony: An Investigation of the Elements Affecting Carbon Emissions Risk. Sustainability 2025, 17, 9468. [Google Scholar] [CrossRef]
  3. Xiong, F.; Mo, H. How can new energy development reduce CO2 emissions: Empirical evidence of inverted U-shaped relationship in China. PLoS One 2023, 18, e0294947. [Google Scholar] [CrossRef]
  4. Jin, L.; Duan, K.; Shi, C.; Ju, X. The impact of technological progress in the energy sector on carbon emissions: an empirical analysis from China. Int. J. Environ. Res. Public Health 2017, 14, 1505. [Google Scholar]
  5. Borowski, P. F. Economic and technological challenges in zero-emission strategies for energy companies. Energies 2025, 18, 898. [Google Scholar] [CrossRef]
  6. Tan, W.; Yan, E. H.; Chen, X. H. Positive press, greener progress: the role of ESG media reputation in corporate energy innovation. Sustain. Dev. 2025, 33, 5162–5184. [Google Scholar] [CrossRef]
  7. Zhou, L.; Tang, C.; Bao, Z.; Liu, Y.; Yu, X. A reputation-based blockchain scheme for sustained carbon emission reduction. Sci. China Inf. Sci. 2024, 67, 159202. [Google Scholar] [CrossRef]
  8. Sun, X.; Cifuentes-Faura, J.; Xiao, Y.; Liu, X. A good name is rather to be chosen: The impact of CEO reputation incentives on corporate green innovation. Bus. Strateg. Environ. 2024, 33.3, 2413–2431. [Google Scholar] [CrossRef]
  9. Meng, Y.; Hu, J. Does China’s Low-Carbon City Pilot Facilitate Firm Productivity? An Analysis of Industrial Firms. Sustainability 2025, 17, 1224. [Google Scholar]
  10. Zeng, Q. H.; He, L. Y. Study on the synergistic effect of air pollution prevention and carbon emission reduction in the context of" dual carbon": Evidence from China's transport sector. Energ. Policy 2023, 173, 113370. [Google Scholar]
  11. Chen, Y.; Huang, X.; Liu, C. Can AI computing power promote the green transformation of energy enterprises? Evidence from the nonlinear moderating effect of public environmental awareness. J. Environ. Manage. 2025, 391, 126455. [Google Scholar] [CrossRef] [PubMed]
  12. Zhao, X.; Li, S. Artificial intelligence and public environmental concern: impacts on green innovation transformation in energy-intensive enterprises. Energ. Policy 2025, 198, 114469. [Google Scholar] [CrossRef]
  13. Zhou, H.; Wu, M.; He, S.; Peng, Z. Digitalization, Green Innovation, and Green Transformation of Energy Enterprises in China. Sustainability 2025, 17, 10619. [Google Scholar] [CrossRef]
  14. Liu, Y.; Song, P. Digital transformation and green innovation of energy enterprises. Sustainability 2023, 15, 7703. [Google Scholar] [CrossRef]
  15. Ran, Q.; Yang, X.; Yan, H.; Xu, Y.; Cao, J. Natural resource consumption and industrial green transformation: does the digital economy matter? Resour. Policy 2023, 81, 103396. [Google Scholar] [CrossRef]
  16. Sun, C.; Zhang, Z.; Vochozka, M.; Vozňáková, I. Enterprise digital transformation and debt financing cost in China's A-share listed companies. Oecon. Copernic. 2022, 13, 783–829. [Google Scholar] [CrossRef]
  17. Wang, L.; Zhang, B. Research on the green investment of traditional energy enterprises and its effectiveness under environmental regulation. Sustainability 2025, 17, 590. [Google Scholar] [CrossRef]
  18. Guo, C.; Li, R.; Yuan, B. Mathematical models of digital transformation asymmetric information game in energy enterprises. Alexandria Eng. J. 2025, 113, 584–592. [Google Scholar] [CrossRef]
  19. Chen, P.; He, Y.; Yue, K.; Fang, G. Can carbon trading promote low-carbon transformation of high energy consumption enterprises? —The Case of China. Energies 2023, 16, 3438. [Google Scholar] [CrossRef]
  20. Zhang, C.; Zhang, X. Evolutionary game analysis of air pollution co-investment in emission reductions by steel enterprises under carbon quota trading mechanism. J. Environ. Manage. 2022, 317, 115376. [Google Scholar] [CrossRef]
  21. Zhou, C.; Han, Y.; Zhang, R. Can command-and-control policy drive low-carbon transition in energy-intensive enterprises?-a study based on evolutionary game theory. Front. Energy Res. 2023, 11, 1247780. [Google Scholar] [CrossRef]
  22. Luo, Z.; Xu, J.; Zhao, P.; Yang, D.; Xu, L.; Luo, J. Towards high quality mobile crowdsensing: Incentive mechanism design based on fine-grained ability reputation. Comput. Commun. 2021, 180, 197–209. [Google Scholar] [CrossRef]
  23. Ding, J.; Huang, J.; Li, Y.; Meng, M. Is there an effective reputation mechanism in peer-to-peer lending? Evidence from China. Financ. Res. Lett. 2019, 30, 208–215. [Google Scholar] [CrossRef]
  24. Guo, J.; Lin, O.; Ye, K.; Guan, J.; Lei, X. Research on regulatory strategies of green finance and optimization of corporate green behavior under the framework of circular economy. Global NEST J. 2024, 26, 1–4. [Google Scholar]
  25. Bal-Domańska, B.; Stańczyk, E.; Szewczyk, M. Empirical Evidence on Pro-Environmental Activities of Companies in Times of Energy Transformation: A Case Study of Poland. Energies 2025, 18, 2703. [Google Scholar] [CrossRef]
  26. Ji, G.; Wang, Q.; Chang, Q.; Fang, Y.; Bi, J.; Chen, M. Evolutionary Game Analysis of Government Regulation on Green Innovation Behavior Decision-Making of Energy Enterprises. Sustainability 2024, 16, 7542. [Google Scholar] [CrossRef]
  27. Cao, F.; Zhang, L.; Wu, W.; Han, S.; Wu, Z.; Wu, Y. Challenging the nexus of power: The gaming dilemma of collaboration between government and enterprises in environmental management. Heliyon 2024, 10, e23472. [Google Scholar] [CrossRef] [PubMed]
  28. Wang, T. Y.; Zhang, H. Blockchain-based tripartite evolutionary game study of manufacturing capacity sharing. Adv. Prod. Eng. Manag. 2023, 18, 225–236. [Google Scholar] [CrossRef]
  29. Shahab, Y.; Ye, Z.; Liu, J.; Nadeem, M. Social trust, environmental violations, and remedial actions in China. J. Bus. Ethics. 2025, 198, 637–654. [Google Scholar] [CrossRef]
  30. Hu, Q.; Jin, T.; Jiang, Y.; Liu, X. Reputation incentives with public supervision promote cooperation in evolutionary games. Appl. Math. Comput. 2024, 466, 128445. [Google Scholar] [CrossRef]
  31. Jordan, J. J. A pull versus push framework for reputation. Trends Cognit. Sci. 2023, 27, 852–866. [Google Scholar] [CrossRef]
  32. Yao, J.; Li, D. Evolutionary game analysis of individual behaviors with reputation-driven dynamics. Chaos, Solitons Fractals 2025, 201, 117439. [Google Scholar] [CrossRef]
  33. Guo, D.; Su, M.; Zheng, X.; Zou, S. Do economic and reputation incentives matter in the carbon generalized system of preferences? Empirical evidence from China's new tier-one cities. J. Environ. Manage. 2025, 382, 125321. [Google Scholar] [CrossRef]
  34. Han, G.; Zhai, P.; Zhu, L.; Li, K. Economic incentives, reputation incentives, and rural residents’ participation in household waste classification: Evidence from Jiangsu, China. Agriculture 2023, 13, 1931. [Google Scholar] [CrossRef]
  35. Zhong, B.; Tian, J.; Pan, X.; Shen, L. An online housing reputation assessment framework based on text mining and visualization technologies. J. Constr. Eng. M. 2024, 150, 04024076. [Google Scholar] [CrossRef]
  36. Cui, B.; Shui, Z.; Yang, S.; Lei, T. Evolutionary game analysis of green technology innovation under the carbon emission trading mechanism. Front. Env. Sci-Switz. 2022, 10, 997724. [Google Scholar] [CrossRef]
  37. Ning, J.; Xiong, L. Analysis of the dynamic evolution process of the digital transformation of renewable energy enterprises based on the cooperative and evolutionary game model. Energy 2024, 288, 129758. [Google Scholar] [CrossRef]
  38. Li, L.; Wang, Y.; Tan, M.; Sun, H.; Zhu, B. Effect of environmental regulation on energy-intensive enterprises’ green innovation performance. Sustainability 2023, 15, 10108. [Google Scholar] [CrossRef]
  39. Hossain, M. M.; Wang, L.; Yu, J. The reputational costs of corporate environmental underperformance: evidence from China. Bus. Strateg. Environ. 2024, 33, 930–948. [Google Scholar] [CrossRef]
  40. Chu, Z.; Bian, C.; Yang, J. How can public participation improve environmental governance in China? A policy simulation approach with multi-player evolutionary game. Environ. Impact Asses. 2022, 95, 106782. [Google Scholar] [CrossRef]
Figure 1. Tripartite Logical Relationship Diagram.
Figure 1. Tripartite Logical Relationship Diagram.
Preprints 202099 g001
Figure 2. Tripartite Logical Relationship Diagram.
Figure 2. Tripartite Logical Relationship Diagram.
Preprints 202099 g002
Figure 3. Initial Evolution Simulation Results.
Figure 3. Initial Evolution Simulation Results.
Preprints 202099 g003
Figure 4. Cost Sensitivity Analysis.
Figure 4. Cost Sensitivity Analysis.
Preprints 202099 g004
Figure 5. Profit Sensitivity Analysis.
Figure 5. Profit Sensitivity Analysis.
Preprints 202099 g005
Figure 6. Reputation Loss Sensitivity Analysis.
Figure 6. Reputation Loss Sensitivity Analysis.
Preprints 202099 g006
Figure 7. Subsidy Sensitivity Analysis.
Figure 7. Subsidy Sensitivity Analysis.
Preprints 202099 g007
Table 1. Payment Matrix of the Evolutionary Game among the Three Parties.
Table 1. Payment Matrix of the Evolutionary Game among the Three Parties.
Players Energy enterprises
low-carbon transformation reputation disclosure ( x ) traditional   production   reputation   concealment 1 x
Public Public
preference for green energy products ( y ) reliance   on   traditional   products 1 y preference for green energy products ( y )( reliance   on   traditional   products 1 y
Government reputation-driven supervision ( z ) R e C e 1 + T + S
R p C p + E p
E g C g 1 S
C e 1 + R e + T + S
L p 1 + E p
C g 1 S + E g
C e 2 L e C e 3 F
L p 2 C p + R p
C g 1 + F L g
F C e 2 L e C e 3
L p 1 L p 2
C g 1 + F L g
uniform   supervision 1 z C e 1 + R e + T
E p C p + R p
C g 2 + E g
C e 1 + R e + T
L p 1 + E p
C g 2 + E g
C e 2 L e C e 3
R p C p L p 2
C g 2 L g
C e 2 L e C e 3
L p 1 L p 2
C g 2 L g
Table 2. Characteristic Values of System Equilibrium Points and Stability Judgments.
Table 2. Characteristic Values of System Equilibrium Points and Stability Judgments.
Equilibrium Point Eigenvalue Symbol Stability
(0,0,0) C e 2 C e 1 + C e 3 + L e + R e + T L p 1 C p + R p C g 2 C g 1 + F (N,N,N) Asymptotic stability
(0,1,0) C e 2 C e 1 + C e 3 + L e + R e + T C p L p 1 R p C g 2 C g 1 + F (N,N,N) Asymptotic stability
(0,0,1) C e 2 C e 1 + C e 3 + F + L e + R e + S + T L p 1 C p + R p C g 1 C g 2 F (N,N,N) Asymptotic stability
(0,1,1) C e 2 C e 1 + C e 3 + F + L e + R e + S + T C p L p 1 R p C g 1 C g 2 F (N,N,N) Asymptotic stability
(1,0,0) C e 1 C e 2 C e 3 L e R e T L p 1 C p + R p C g 2 C g 1 S (N,N,-) Asymptotic stability
(1,1,0) C e 1 C e 2 C e 3 L e R e T C p L p 1 R p C g 2 C g 1 S (N,N,-) Asymptotic stability
(1,0,1) C e 1 C e 2 C e 3 F L e R e S T L p 1 C p + R p C g 1 C g 2 + S (N,N,+) Unstable
(1,1,1) C e 1 C e 2 C e 3 F L e R e S T C p L p 1 R p C g 1 C g 2 + S (N,N,+) Unstable
Table 3. Initial Assignments.
Table 3. Initial Assignments.
Parameters Assignment Parameters Assignment Parameters Assignment Parameters Assignment
C e 1 10 C e 3 2 S 3 L ε 3
C e 2 3 C p 4 F 2 L p 2 3
R e 5 R p 3 C g 2 2
T 3 L p 1 2 E g 2
L e 3 C g 1 5 E p 2
Disclaimer/Publisher’s Note: The statements, opinions and data contained in all publications are solely those of the individual author(s) and contributor(s) and not of MDPI and/or the editor(s). MDPI and/or the editor(s) disclaim responsibility for any injury to people or property resulting from any ideas, methods, instructions or products referred to in the content.
Copyright: This open access article is published under a Creative Commons CC BY 4.0 license, which permit the free download, distribution, and reuse, provided that the author and preprint are cited in any reuse.
Prerpints.org logo

Preprints.org is a free preprint server supported by MDPI in Basel, Switzerland.

Subscribe

Disclaimer

Terms of Use

Privacy Policy

Privacy Settings

© 2026 MDPI (Basel, Switzerland) unless otherwise stated