Submitted:
06 March 2026
Posted:
09 March 2026
You are already at the latest version
Abstract

Keywords:
1. Introduction
2. Area of Study, Data and Methodology
2.1. Area of Study
2.2. Data
2.3. Methodology
3. Results
3.1. Selection of the Events
3.2. Categorization of the Observations
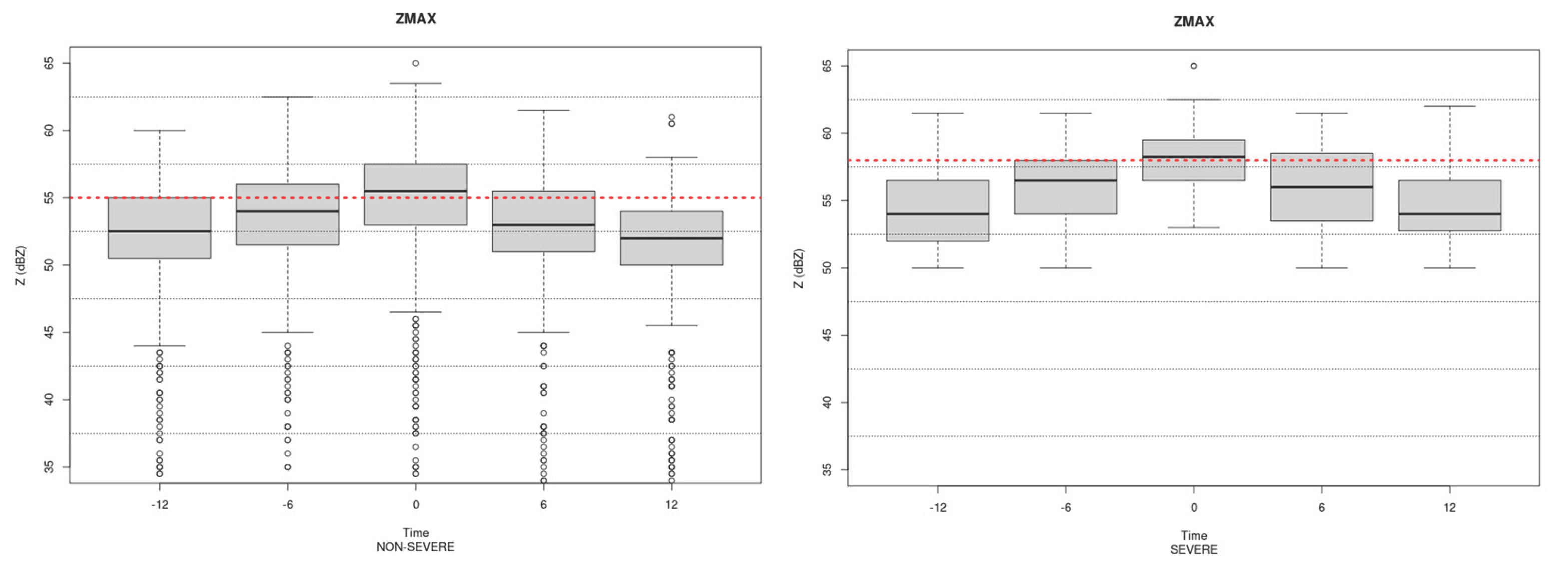
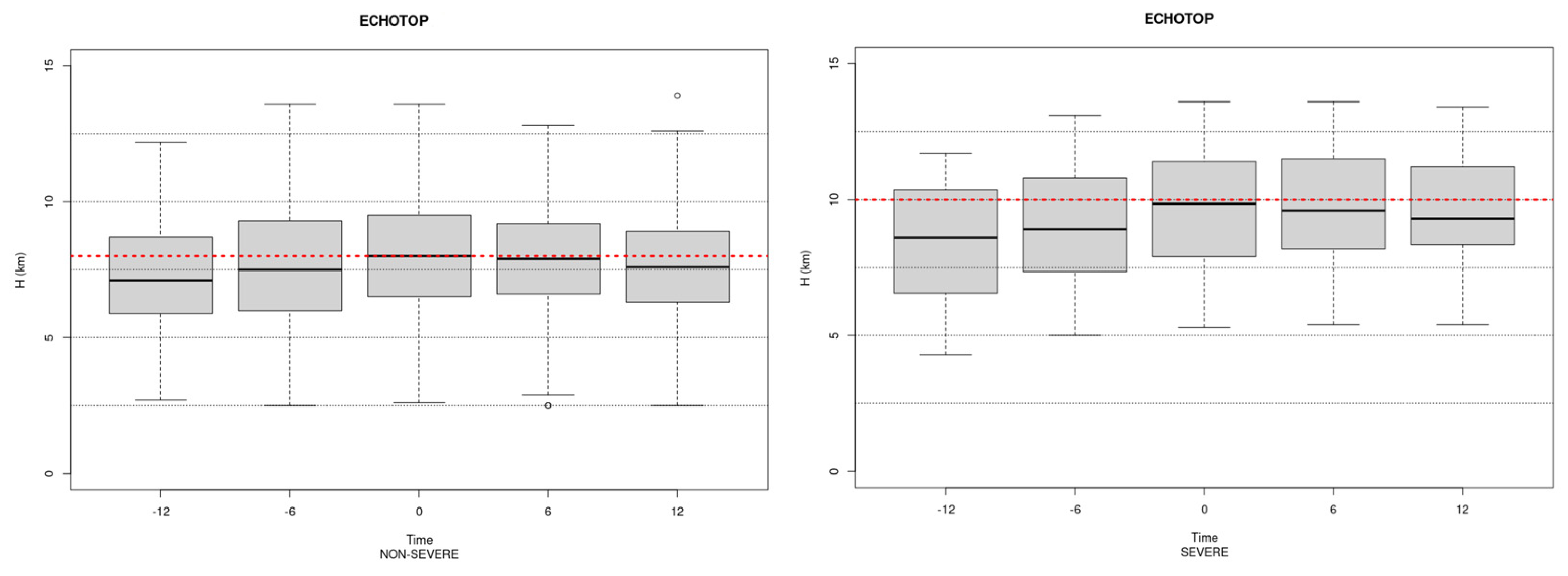
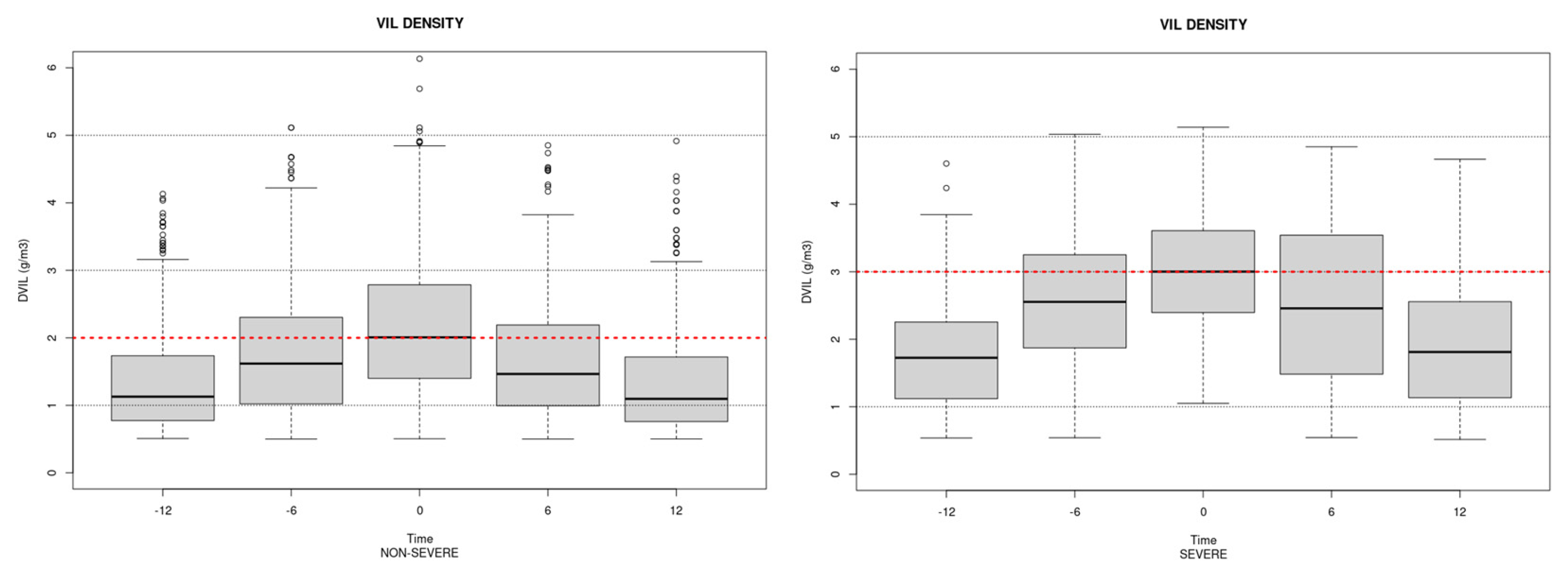
3.3. Weather Radar Variables: Discrimination Between Hail Sizes
3.4. Examples of Thunderstorms That Produce Large Hailstones
4. Discussion
5. Conclusions
Funding
Institutional Review Board Statement
Informed Consent Statement
Data Availability Statement
Acknowledgments
Conflicts of Interest
Abbreviations
| ZMAX | Maximum reflectivity |
| DVIL | VIL Density |
| TOP | Echo top for a certain reflectivity threshold |
| MESH | Maximum Expected Size of Hail |
| POSH | Probability of Severe Hail |
| SMC | Servei Meteorologic de Catalunya |
| VIL | Vertically Integrated Liquid |
| VII | Vertically Integrated Ice |
| HKE | Hail Kinetic Energy |
| POH | Probability of Hail |
| TBSS | Three-Body Scattering Signature |
| BWE | Bounded Weak Echo |
| XRAD | Radar network of the SMC |
| CAPPI | Constant Altitude Plan Position Indicator |
References
- Allen, J. T.; Giammanco, I. M.; Kumjian, M. R.; Punge, H. J.; Zhang, Q.; Groenemeijer, P.; Kunz, M.; Ortega, K. Understanding hail in the Earth system. Reviews of Geophysics 2020, 58, e2019RG000665. [Google Scholar] [CrossRef]
- Allen, J. T.; Tippett, M. K. The characteristics of United States hail reports: 1955-2014. E-Journal of Severe Storms Meteorology 2015, 10(3), 1–31. [Google Scholar] [CrossRef]
- Etkin, D.; Brun, S. E. A note on Canada's hail climatology: 1977–1993. International Journal of Climatology: A Journal of the Royal Meteorological Society 1999, 19(12), 1357–1373. [Google Scholar] [CrossRef]
- Mezher, R. N.; Doyle, M.; Barros, V. Climatology of hail in Argentina. Atmospheric research 2012, 114, 70–82. [Google Scholar] [CrossRef]
- Hulton, F.; Schultz, D. M. Climatology of large hail in Europe: characteristics of the European Severe Weather Database. Natural Hazards and Earth System Sciences 2024, 24(4), 1079–1098. [Google Scholar] [CrossRef]
- Li, X.; Zhang, Q.; Zou, T.; Lin, J.; Kong, H.; Ren, Z. Climatology of hail frequency and size in China, 1980–2015. Journal of Applied Meteorology and Climatology 2018, 57(4), 875–887. [Google Scholar] [CrossRef]
- Raupach, T. H.; Soderholm, J. S.; Warren, R. A.; Sherwood, S. C. Changes in hail hazard across Australia: 1979–2021. npj Climate and Atmospheric Science 2023, 6(1), 143. [Google Scholar] [CrossRef]
- Prein, A. F.; Holland, G. J. Global estimates of damaging hail hazard. Weather and Climate Extremes 2018, 22, 10–23. [Google Scholar] [CrossRef]
- Púčik, T.; Castellano, C.; Groenemeijer, P.; Kühne, T.; Rädler, A. T.; Antonescu, B.; Faust, E. Large hail incidence and its economic and societal impacts across Europe. Monthly Weather Review 2019, 147(11), 3901–3916. [Google Scholar] [CrossRef]
- Palencia, C.; Berthet, C.; Massot, M.; Castro, A.; Dessens, J.; Fraile, R. On the individual calibration of hailpads. Atmospheric research 2007, 83(2-4), 493–504. [Google Scholar] [CrossRef]
- Battaglia, M.; Lee, C.; Thomason, W.; Fike, J.; Sadeghpour, A. Hail damage impacts on corn productivity: A review. Crop Science 2019, 59(1), 1–14. [Google Scholar] [CrossRef]
- Farnell, C.; Batalla, E.; Rigo, T.; Pineda, N.; Sole, X.; Mercader, J.; Martin-Vide, J. Reanalysis of giant hail event in Catalonia (NE of the Iberian Peninsula). Atmospheric Research 2023, 296, 107051. [Google Scholar] [CrossRef]
- Rigo, T.; Llasat, M. C. Forecasting hailfall using parameters for convective cells identified by radar. Atmospheric research 2016, 169, 366–376. [Google Scholar] [CrossRef]
- Klaus, V.; Krause, J. Investigating hailstorm updrafts and nowcasting hail size using a novel radar-based updraft detection. Weather and Forecasting 2024, 39(12), 1795–1815. [Google Scholar] [CrossRef]
- Blair, S.F.; Laflin, J.M.; Cavanaugh, D.E.; Sanders, K.J.; Currens, S.R.; Pullin, J.I.; Cooper, D.T.; Deroche, D.R.; Leighton, J.W.; Fritchie, R.V.; Mezeul, M.J., II; Goudeau, B.T.; Kreller, S.J.; Bosco, J.J.; Kelly, C.M.; Mallinson, H.M. High-Resolution Hail Observations: Implications for NWS Warning Operations. Weather and Forecasting 2017, 32(3), 1101–1119. [Google Scholar] [CrossRef]
- Blair, S. F.; Deroche, D. R.; Boustead, J. M.; Leighton, J. W.; Barjenbruch, B. L.; Gargan, W. P. A radar-based assessment of the detectability of giant hail. E-Journal of Severe Storms Meteorology 2011, 6(7), 1–30. [Google Scholar] [CrossRef]
- Ortega, K. L.; Krause, J. M.; Ryzhkov, A. V. Polarimetric radar characteristics of melting hail. Part III: Validation of the algorithm for hail size discrimination. Journal of Applied Meteorology and Climatology 2016, 55(4), 829–848. [Google Scholar] [CrossRef]
- Kumjian, M. R.; Lombardo, K.; Loeffler, S. The evolution of hail production in simulated supercell storms. Journal of the Atmospheric Sciences 2021, 78(11), 3417–3440. [Google Scholar] [CrossRef]
- Jayaratne, E. R.; Saunders, C. P. R. The interaction of ice crystals with hailstones in wet growth and its possible role in thunderstorm electrification. Quarterly Journal of the Royal Meteorological Society 2016, 142(697), 1809–1815. [Google Scholar] [CrossRef]
- Phillips, V. T.; Khain, A.; Benmoshe, N.; Ilotoviz, E. Theory of time-dependent freezing. Part I: Description of scheme for wet growth of hail. Journal of the Atmospheric Sciences 2014, 71(12), 4527–4557. [Google Scholar] [CrossRef]
- Ziegler, C. L.; Ray, P. S.; Knight, N. C. Hail growth in an Oklahoma multicell storm. Journal of Atmospheric Sciences 1983, 40(7), 1768–1791. [Google Scholar] [CrossRef]
- Farnell Barqué, C.; Rigo, T.; Martin-Vide, J.; Úbeda, X. Internal structure of giant hail in a catastrophic event in Catalonia (NE Iberian Peninsula). Frontiers in Environmental Science 2024, 12, 1479824. [Google Scholar] [CrossRef]
- Farley, R. D. Numerical modeling of hailstorms and hailstone growth. Part II: The role of low-density riming growth in hail production. Journal of Applied Meteorology and Climatology 1987, 26(2), 234–254. [Google Scholar] [CrossRef]
- Manzato, A.; Riva, V.; Tiesi, A.; Miglietta, M. Observational analysis and simulations of a severe hailstorm in northeastern Italy. Quarterly Journal of the Royal Meteorological Society 2020, 146(732), 3587–3611. [Google Scholar] [CrossRef]
- Farnell, C.; Rigo, T.; Martin-Vide, J. Application of cokriging techniques for the estimation of hail size. Theoretical and applied climatology 2018, 131(1), 133–151. [Google Scholar] [CrossRef]
- Brown, T. M.; Pogorzelski, W. H.; Giammanco, I. M. Evaluating hail damage using property insurance claims data. Weather, Climate, and Society 2015, 7(3), 197–210. [Google Scholar] [CrossRef]
- Fonseca-Cerda, M.d.S.; de Moel, H.; van Ederen, D.; Schmid, T.; Wouters, L.; Aerts, J.C.J.H.; Botzen, W.J.W.; Haer, T. Hailstorm prediction and loss assessment using high-resolution hazard and claims data. Atmospheric Research 2026, 329, 108501. [Google Scholar] [CrossRef]
- Dieling, C.; Smith, M.; Beruvides, M. Review of impact factors of the velocity of large hailstones for laboratory hail impact testing consideration. Geosciences 2020, 10(12), 500. [Google Scholar] [CrossRef]
- Marcos, J. L.; Sánchez, J. L.; Merino, A.; Melcón, P.; Mérida, G.; García-Ortega, E. Spatial and temporal variability of hail falls and estimation of maximum diameter from meteorological variables. Atmospheric Research 2021, 247, 105142. [Google Scholar] [CrossRef]
- Rigo, T.; Farnell, C. A Comparison between Radar Variables and Hail Pads for a Twenty-Year Period. Climate 2024, 12(10), 158. [Google Scholar] [CrossRef]
- Sánchez, J. L.; Fraile, R.; De La Madrid, J. L.; De La Fuente, M. T.; Rodríguez, P.; Castro, A. Crop damage: The hail size factor. Journal of Applied Meteorology and Climatology 1996, 35(9), 1535–1541. [Google Scholar] [CrossRef]
- Sánchez, J. L.; Gil-Robles, B.; Dessens, J.; Martin, E.; Lopez, L.; Marcos, J. L.; Berthet, C.; Fernández, J.T.; García-Ortega, E. Characterization of hailstone size spectra in hailpad networks in France, Spain, and Argentina. Atmospheric Research 2009, 93(1-3), 641–654. [Google Scholar] [CrossRef]
- Trapero, L.; Bech, J.; Rigo, T.; Pineda, N.; Forcadell, D. Uncertainty of precipitation estimates in convective events by the Meteorological Service of Catalonia radar network. Atmospheric Research 2009, 93(1-3), 408–418. [Google Scholar] [CrossRef]
- Ortega, K.L. Evaluating multi-radar, multi-sensor products for surface hail-fall diagnosis. Electronic J. Severe Storms Meteor. 2018, 13(1), 1‒36. [Google Scholar] [CrossRef]
- Cică, R.; Burcea, S.; Bojariu, R. Assessment of severe hailstorms and hail risk using weather radar data. Meteorological Applications 2015, 22(4), 746–753. [Google Scholar] [CrossRef]
- Pilorz, W.; Zięba, M.; Szturc, J.; Łupikasza, E. Large hail detection using radar-based VIL calibrated with isotherms from the ERA5 reanalysis. Atmospheric Research 2022, 274, 106185. [Google Scholar] [CrossRef]
- Ryzhkov, A. V.; Kumjian, M. R.; Ganson, S. M.; Zhang, P. Polarimetric radar characteristics of melting hail. Part II: Practical implications. Journal of Applied Meteorology and Climatology 2013, 52(12), 2871–2886. [Google Scholar] [CrossRef]
- Rigo, T.; Farnell, C. A Summary of Hail Events during the Summer of 2022 in Catalonia: A Comparison with the Period of 2013–2021. Remote Sensing 2023, 15(4), 1012. [Google Scholar] [CrossRef]
- Aran, M.; Pena, J.; Torà, M. Atmospheric circulation patterns associated with hail events in Lleida (Catalonia). Atmospheric research 2011, 100(4), 428–438. [Google Scholar] [CrossRef]
- Farnell, C.; Rigo, T.; Heymsfield, A. Shape of hail and its thermodynamic characteristics related to records in Catalonia. Atmospheric Research 2022, 271, 106098. [Google Scholar] [CrossRef]
- Aran, M.; Sairouni, A.; Bech, J.; Toda, J.; Rigo, T.; Cunillera, J.; Moré, J. Pilot project for intensive surveillance of hail events in Terres de Ponent (Lleida). Atmospheric research 2007, 83(2-4), 315–335. [Google Scholar] [CrossRef]
- Rigo, T.; Farnell Barqué, C. Evaluation of the radar echo tops in Catalonia: Relationship with severe weather. Remote Sensing 2022, 14(24), 6265. [Google Scholar] [CrossRef]
- García-Ortega, E.; Fita, L.; Romero, R.; López, L.; Ramis, C.; Sánchez, J. L. Numerical simulation and sensitivity study of a severe hailstorm in northeast Spain. Atmospheric Research 2007, 83(2-4), 225–241. [Google Scholar] [CrossRef]
- Rigo, T.; Farnell, C. Characterisation of thunderstorms with multiple lightning jumps. Atmosphere 2022, 13(2), 171. [Google Scholar] [CrossRef]
- Rigo, T.; Farnell, C. Using maximum Vertical Integrated Liquid (VIL) maps for identifying hail-affected areas: An operative application for agricultural purposes. J. Mediterr. Meteorol. Climatol 2019, 16, 15–24. [Google Scholar] [CrossRef]
- Rigo, T.; Llasat, M. C. Forecasting hailfall using parameters for convective cells identified by radar. Atmospheric research 2016, 169, 366–376. [Google Scholar] [CrossRef]













| Time | ZMAX (NSv) | ZMAX (Sev) | TOP (NSv) | TOP (Sev) | DVIL (NSv) | DVIL (Sev) |
|---|---|---|---|---|---|---|
| -12 | 18(2) | 3(3) | 66(7) | 9(8) | 48(5) | 9(8) |
| -6 | 91(10) | 10(9) | 135(14) | 15(14) | 157(17) | 16(15) |
| 0 | 847(88) | 95(88) | 341(36) | 31(29) | 526(56) | 55(51) |
| 6 | 0(0) | 0(0) | 288(31) | 33(31) | 160(17) | 22(20) |
| 12 | 0(0) | 0(0) | 111(22) | 20(18) | 48(5) | 6(6) |
Disclaimer/Publisher’s Note: The statements, opinions and data contained in all publications are solely those of the individual author(s) and contributor(s) and not of MDPI and/or the editor(s). MDPI and/or the editor(s) disclaim responsibility for any injury to people or property resulting from any ideas, methods, instructions or products referred to in the content. |
© 2026 by the author. Licensee MDPI, Basel, Switzerland. This article is an open access article distributed under the terms and conditions of the Creative Commons Attribution (CC BY) license.