Preprint
Article

This version is not peer-reviewed.

Microplastics in Field-Installed Bioretention Systems: Vertical Distribution and Retention from Stormwater

Submitted:

04 March 2026

Posted:

05 March 2026

You are already at the latest version

Abstract
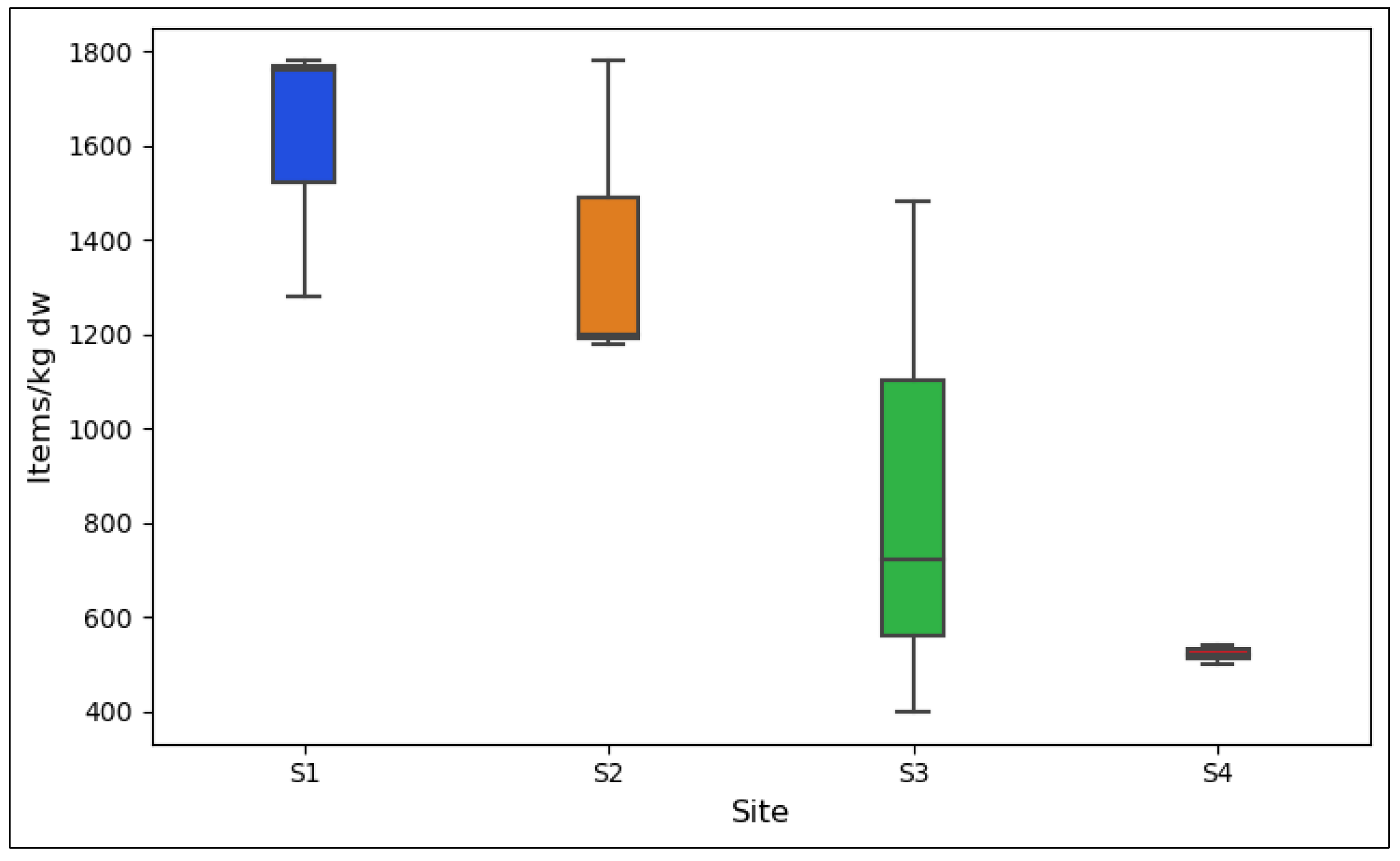
Microplastics (MPs) are emerging pollutants of global concern, posing significant ecological and human health risks. They are frequently detected in stormwater systems, with urban runoff serving as a major transport pathway into the environment. Green storm-water infrastructure, particularly bioretention systems (BRS), offers a promising approach to mitigate these risks by filtering and retaining various contaminants. However, the occurrence of MPs in BRS and their capacity in retaining these pollutants remain largely unexplored in the literature, despite being critical for stormwater management and water quality protection. Therefore, this study examines the occurrence, vertical distribution, and retention of MPs within field-installed BRS, emphasizing their role in reducing MPs transport. Field samples were collected at depths of 2, 12, and 24 inches below the surface and processed in the laboratory for MP detection and quantification. The results revealed an average concentration of 1,095 particles per kg of dried sediment, with fragments (microplastics shape) accounting for 78.54% of total MPs. Although no clear vertical distribution pattern was observed, MPs accumulated predominantly at 24 inches, indicating their transport through the media and the retention capacity of BRS (surface and mid layer) in capturing microplastics from stormwater environments. Integrating BRS into urban stormwater infrastructure provides dual benefits: improved stormwater management and reduced plastic pollution. This study highlights the importance of optimizing bioretention design and media composition to improve the removal efficiency of MPs.
Keywords: 
;  ;  ;  ;  
Copyright: This open access article is published under a Creative Commons CC BY 4.0 license, which permit the free download, distribution, and reuse, provided that the author and preprint are cited in any reuse.
Prerpints.org logo

Preprints.org is a free preprint server supported by MDPI in Basel, Switzerland.

Subscribe

Disclaimer

Terms of Use

Privacy Policy

Privacy Settings

© 2026 MDPI (Basel, Switzerland) unless otherwise stated