Preprint
Article

This version is not peer-reviewed.

Measuring the Economic Impact of the Bio-Economy: A Nowcasting Approach

Submitted:

04 March 2026

Posted:

05 March 2026

You are already at the latest version

Abstract
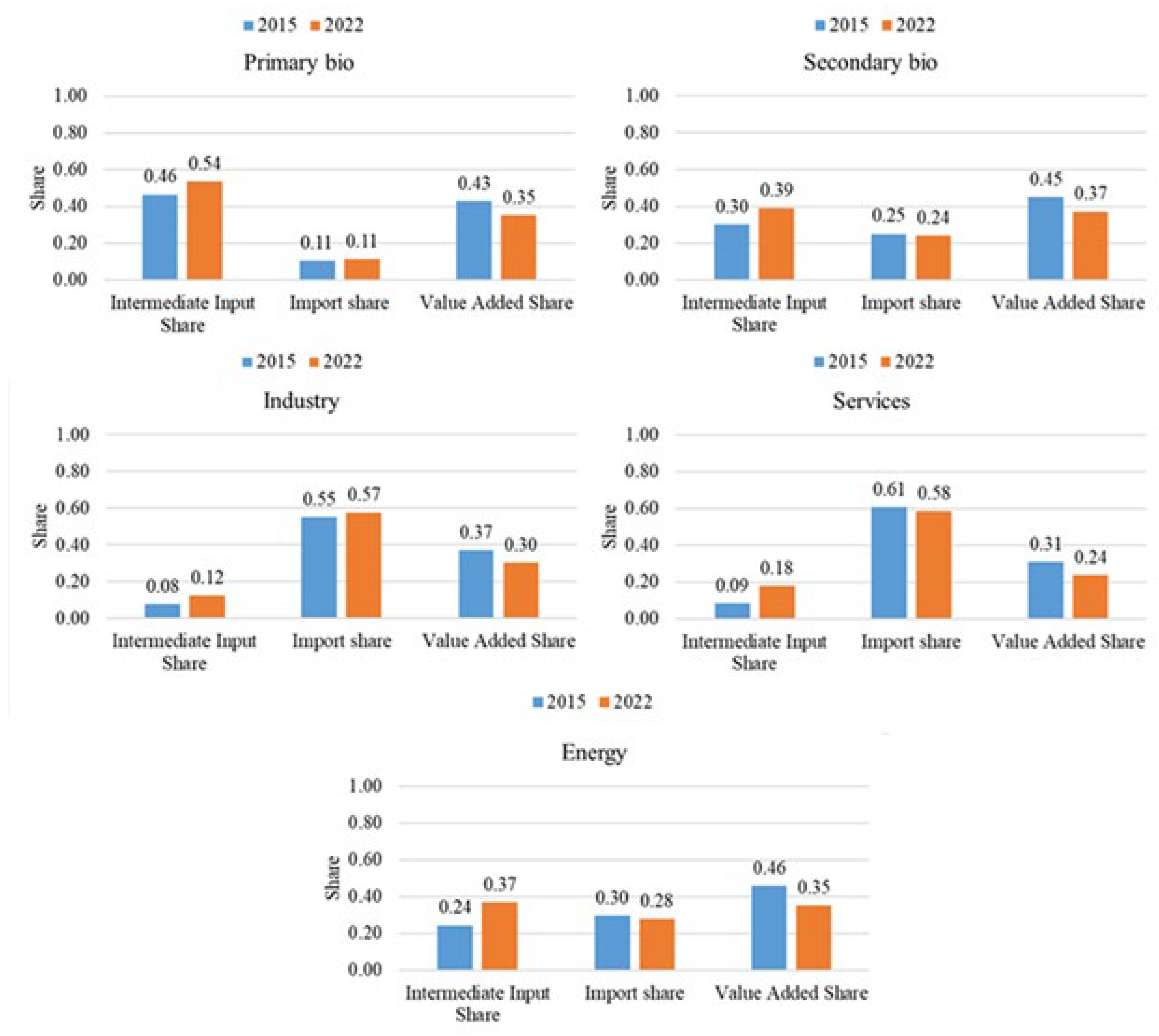
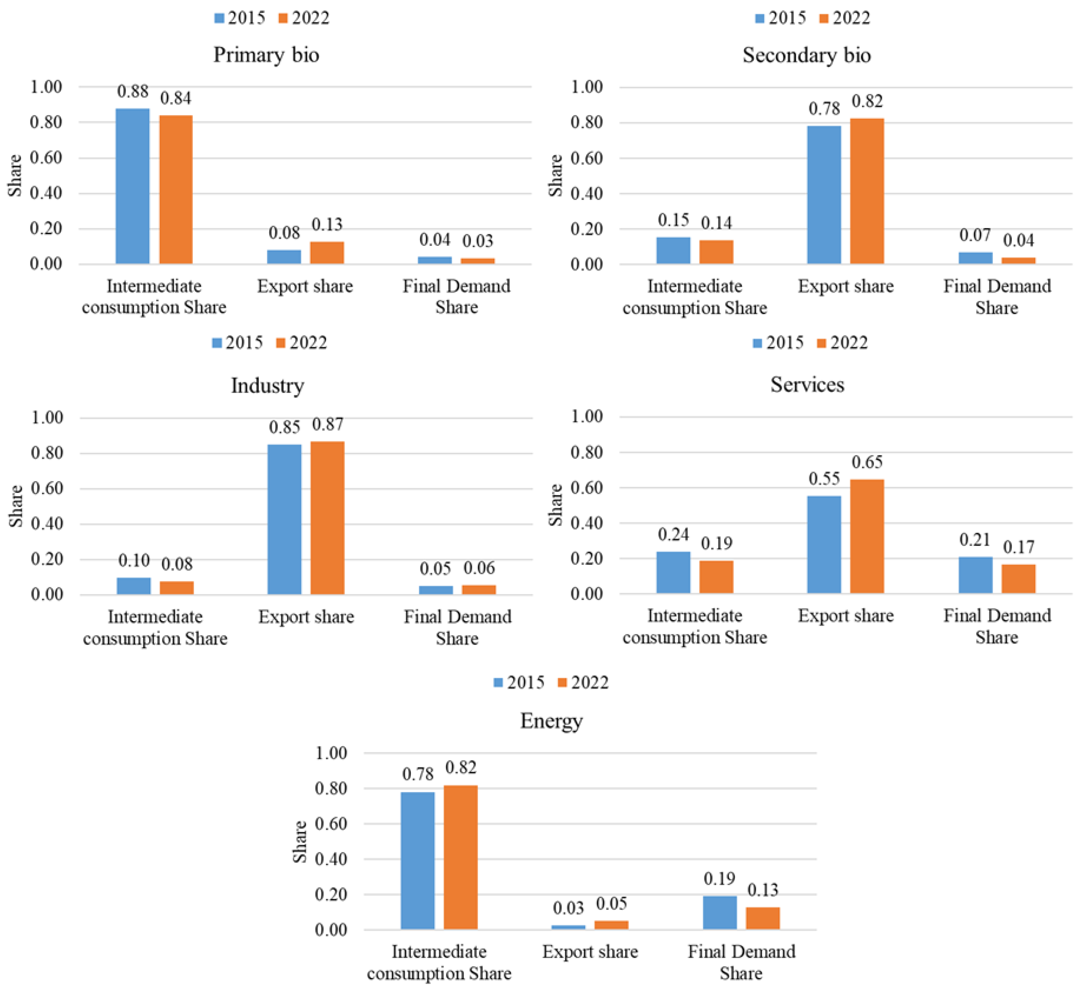
Bioeconomy policy requires timely, economy-wide evidence; however, two persistent measurement constraints remain: official input–output (IO) tables are published with substantial time lags, novel start-up and novel prospective or hybrid bio-based activities are rarely identified as separate sectors in national accounts. This paper develops an applied methodology that addresses both limitations by combining IO nowcasting with a reduced-dimensional sector-embedding procedure. Using Ireland’s national IO system and an existing bioeconomy IO framework as the accounting backbone, we update the 2015 table to 2022 through calibration to macroeconomic control totals, providing a timely structural baseline. We then introduce a transparent method for constructing new bioeconomy sectors based on dominant input shares, import intensity, and output allocation, while preserving national accounting identities. The approach is demonstrated for aquaculture systems, anaerobic digestion scenarios, and plant-based protein value chains. Demand-driven Leontief multipliers reveal substantial heterogeneity in domestic propagation effects across activities and development stages. The framework offers a resource-efficient and replicable tool for evaluating bioeconomy strategies under real-world data constraints.
Keywords: 
;  ;  ;  
Copyright: This open access article is published under a Creative Commons CC BY 4.0 license, which permit the free download, distribution, and reuse, provided that the author and preprint are cited in any reuse.
Prerpints.org logo

Preprints.org is a free preprint server supported by MDPI in Basel, Switzerland.

Subscribe

Disclaimer

Terms of Use

Privacy Policy

Privacy Settings

© 2026 MDPI (Basel, Switzerland) unless otherwise stated