Preprint
Article

This version is not peer-reviewed.

Monitoring the Burden of Staphylococcus aureus: A Multi-Year Retrospective Study Using Routine Laboratory Data from a Slovak Hospital

Submitted:

04 March 2026

Posted:

05 March 2026

You are already at the latest version

Abstract
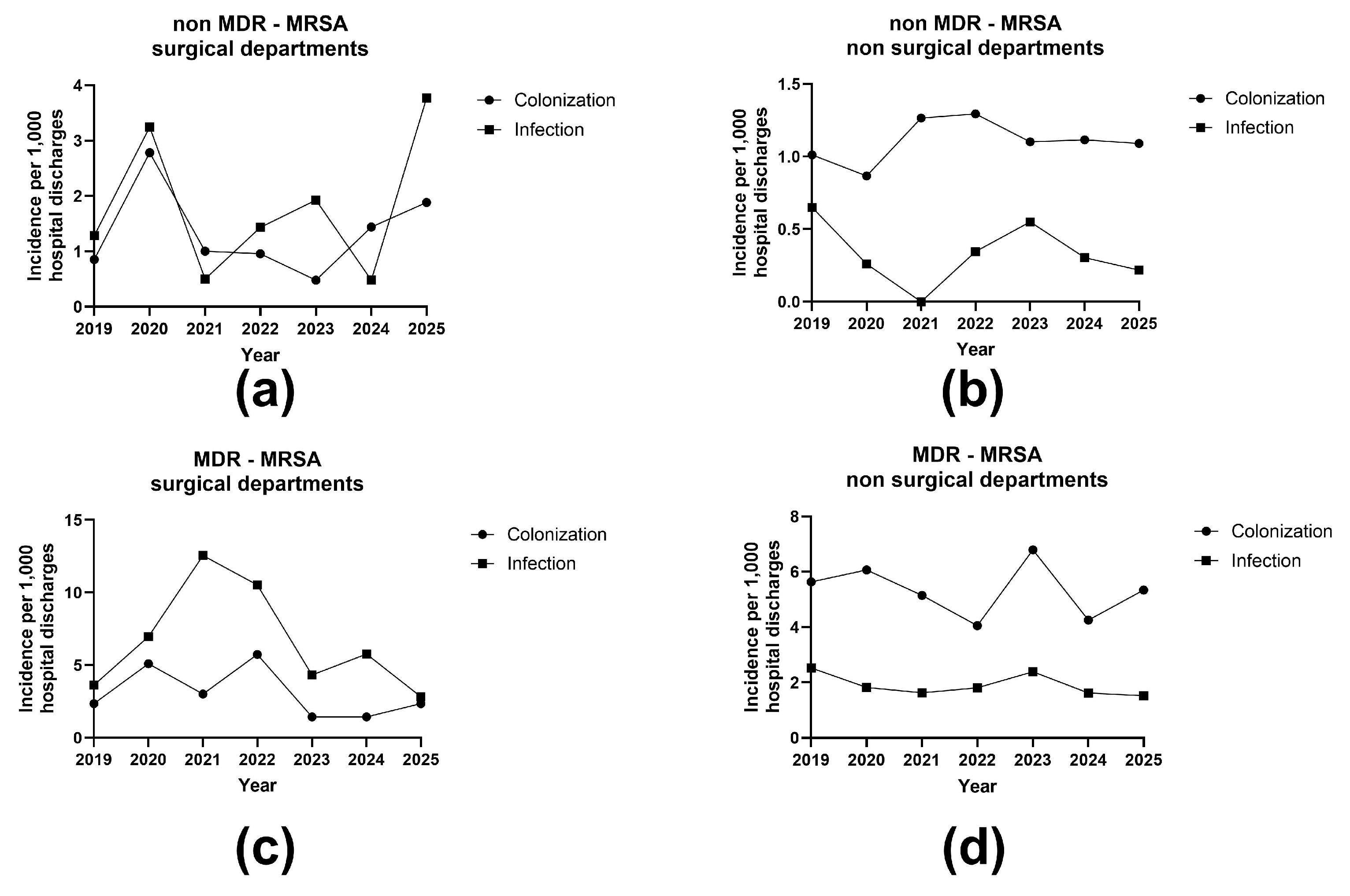
Background/Objectives: Staphylococcus aureus is one of the leading causes of bacterial infection–related mortality worldwide, with outcomes complicated by antimicrobial resistance; asymptomatic colonization (~30% of the population) increases the risk of subsequent infection, often with the colonizing strain. While high-income countries provide surveillance data, comprehensive data from LMICs are lacking, and the COVID-19 pandemic has significantly influenced the incidence and epidemiology of S. aureus infections, highlighting a critical data gap in Slovakia. Methods: We conducted data analysis using the KNIME Analytics Platform, an open-source, visual workflow environment that facilitates integration, preprocessing, and advanced analysis of complex biomedical datasets. This study analyzed 5 years of data from routine laboratory diagnostics extracted from the laboratory information system (LIS). Results: Our data reveals that the incidence of multidrug-resistant S. aureus, including MRSA, increased during 2020–2022—particularly in surgical departments—and remained elevated into the post-pandemic period, while MSSA incidence was consistently higher overall and predominantly driven by colonization rather than infection. Conclusions: This study provides essential insights into the use of big data analytics platforms. Identified missing gaps, such as information about the difference between colonization vs. infection, and their implementation in the future, together with whole genome sequencing, set a foundation for epidemiological research purposes in Slovakia.
Keywords: 
;  ;  
Copyright: This open access article is published under a Creative Commons CC BY 4.0 license, which permit the free download, distribution, and reuse, provided that the author and preprint are cited in any reuse.
Prerpints.org logo

Preprints.org is a free preprint server supported by MDPI in Basel, Switzerland.

Subscribe

Disclaimer

Terms of Use

Privacy Policy

Privacy Settings

© 2026 MDPI (Basel, Switzerland) unless otherwise stated