Preprint
Article

This version is not peer-reviewed.

Uniform-Width Slotted Mm-Wave Antenna with Suppresed Sidelobe Level (SLL) And Enhanced Inter-Element Isolation

Submitted:

03 March 2026

Posted:

05 March 2026

You are already at the latest version

Abstract
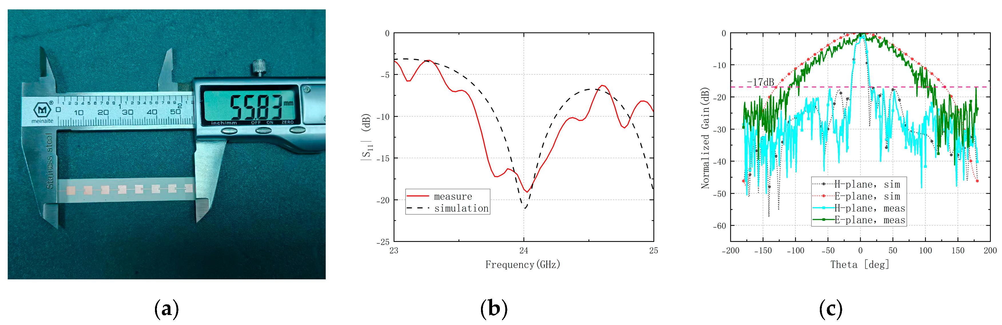
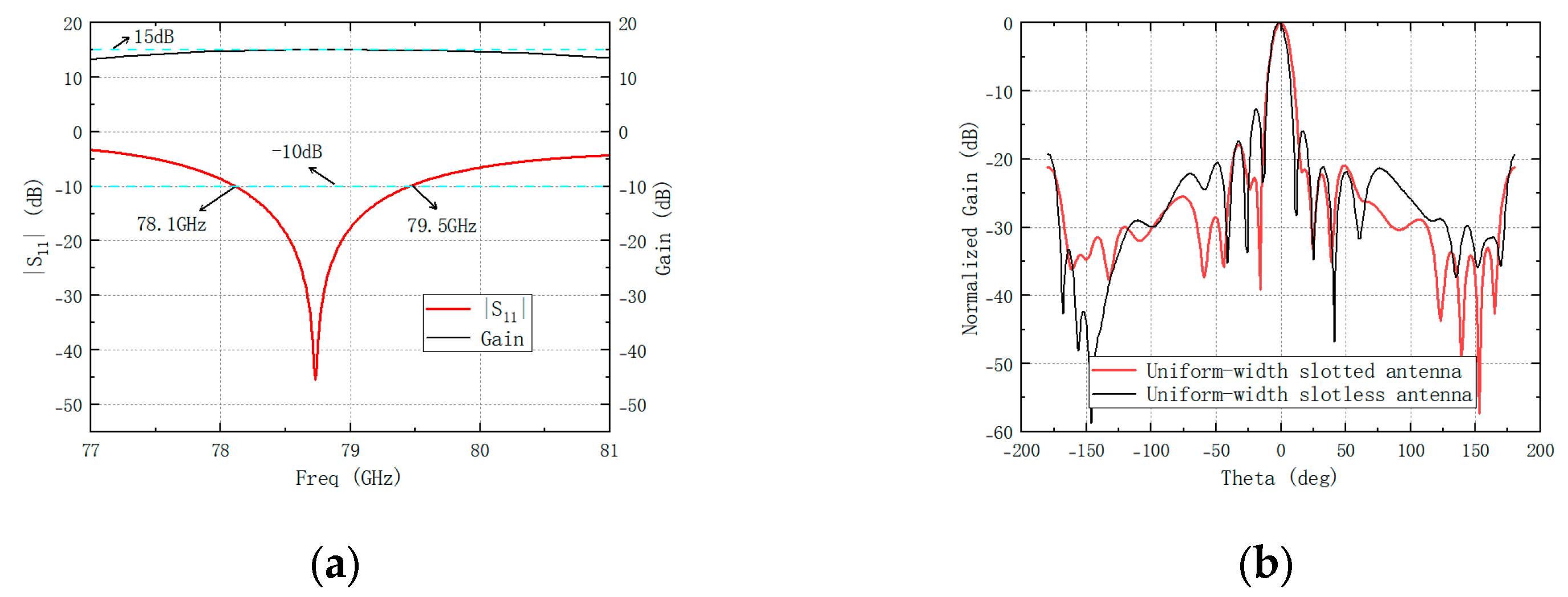
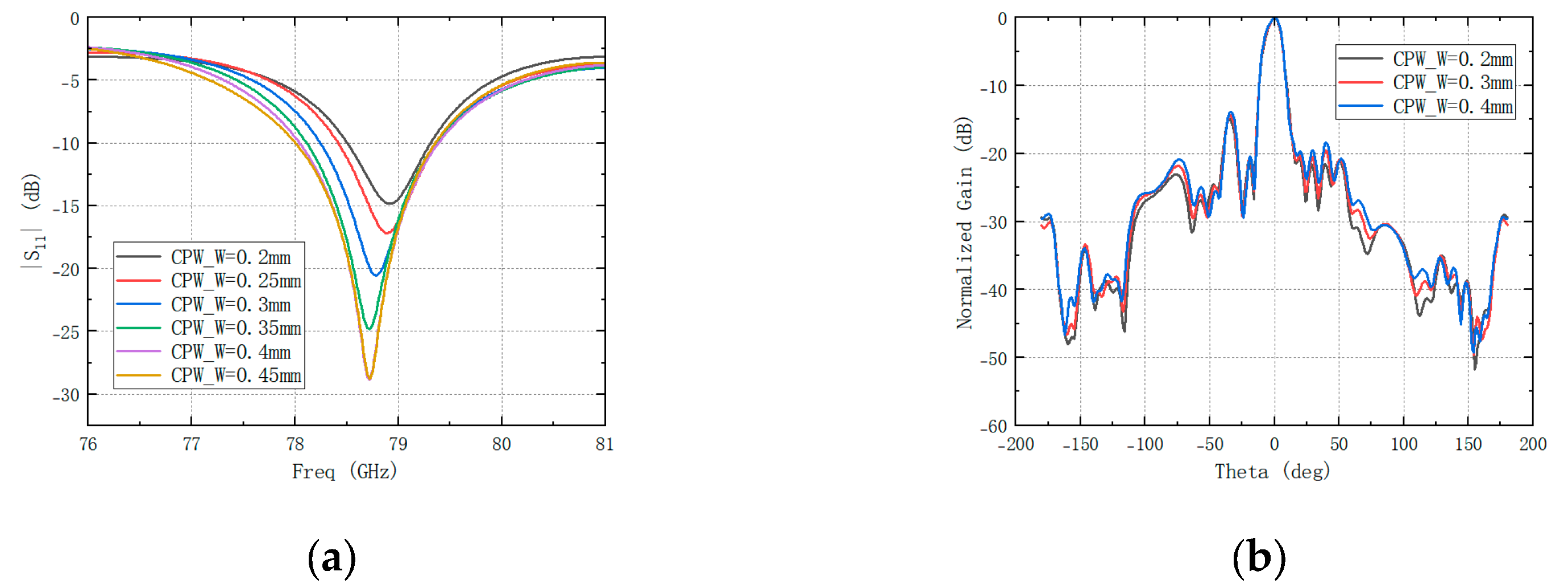
High gain and low sidelobe level remain challenges for 5G millimeter-wave antenna systems. This paper presents a low-sidelobe, high-gain microstrip array antenna based on non-uniformly slotted identical-sized radiating patch, designed to simultaneously enhance gain and suppress sidelobe levels for 5G millimeter-wave (mmWave) communication systems. The key innovation lies in the use of an intermediate-deep, edge-shallow non-uniform slotting technique to precisely control the surface current distribution of the radiating elements. thereby achieving significant sidelobe level (SLL) suppression and antenna isolation enhancement without increasing the physical footprint of each element. The final design operates at a center frequency of 78.5 GHz, achieving a maximum gain of 15 dB and suppressing the first sidelobe below −20 dB, outperforming conventional linear arrays. Notably, the patch width is reduced to only 1 mm—compared to Chebyshev-distributed arrays—resulting in a compact array layout with over 40% unit width size reduction while simultaneously improving inter-element isolation by more than 18 dB. This current-distribution engineering approach offers a novel, structure-efficient pathway for designing high-performance, densely packed mmWave antenna arrays, circumventing the need for additional decoupling structures or enlarg the antenna spacing,simulation results show that the average isolation has increased by more than 5 dB from 76 GHz to 79 GHz.
Keywords: 
;  ;  ;  ;  
Copyright: This open access article is published under a Creative Commons CC BY 4.0 license, which permit the free download, distribution, and reuse, provided that the author and preprint are cited in any reuse.
Prerpints.org logo

Preprints.org is a free preprint server supported by MDPI in Basel, Switzerland.

Subscribe

Disclaimer

Terms of Use

Privacy Policy

Privacy Settings

© 2026 MDPI (Basel, Switzerland) unless otherwise stated