Submitted:
03 March 2026
Posted:
04 March 2026
You are already at the latest version
Abstract
Keywords:
1. Introduction
2. Measurement Principle
3. Experimental Details
3.1. Measurement Apparatus
3.2. Materials
3.3. Procedure
4. Experimental Results
5. Discussion
5.1. Validity of Assuming Surface Height Distribution as a Parallel-Plate Model
5.2. Validity of Assuming Oil Film Thickness Distribution as a Gamma Distribution
5.3. Inverse Determination of Surface Roughness from Film Thickness Measurements
6. Conclusions
Author Contributions
Funding
Data Availability Statement
Acknowledgments
Conflicts of Interest
Nomenclature
| a | Gamma distribution shape parameter | [–] |
| b | Gamma distribution rate parameter | [–] |
| c | Hertzian contact radius | [m] |
| h | Oil film thickness | [m] |
| Mean oil-film thickness in the contact area | [m] | |
| Mean oil film thickness in the contact area obtained by the conventional method | [m] | |
| Mean oil film thickness in the contact area obtained by the proposed method | [m] | |
| h1 | Mean oil film thickness within the contact area that behaves as a capacitor | [m] |
| h1,flat | Mean oil film thickness within the contact area that behaves as a capacitor obtained by the conventional method | [m] |
| h1,rough | Mean oil film thickness within the contact area that behaves as a capacitor obtained by the proposed method | [m] |
| hH-D | Central oil film thickness calculated by the Hamrock-Dowson equation | [m] |
| hmin | Minimum oil film thickness within the contact area | [m] |
| hmax | Maximum oil film thickness within the contact area | [m] |
| n | Length of the array | [–] |
| p | Realizations of the observed distribution | [–] |
| q | Realizations of the predicted distribution | [–] |
| rb | Ball radius | [m] |
| u | Electrostatic energy density | [J/m3] |
| v | Entrainment speed | [m/s] |
| C | Capacitance | [F] |
| C1 | Capacitance in lubricated area within the contact area | [F] |
| C2 | Capacitance in surrounding area | [F] |
| DKL | Kullback–Leibler divergence | [–] |
| FN | Normal force | [N] |
| P | Observed distribution | [–] |
| Q | Predicted distribution | [–] |
| Rt | Track radius | [m] |
| S | Area of the Hertzian contact region | [m2] |
| E | Electric field | [V/m] |
| [・] | Expectation operator | |
| H | Random variable of oil film thickness on a rough surface | [m] |
| M | Torque | [Nm] |
| U | Electrostatic energy | [J] |
| V | Voltage | [V] |
| Z | Complex impedance | [Ω] |
| |Z| | Magnitude of complex impedance | [Ω] |
| α | Oil film breakdown ratio | [–] |
| γ1 | Skewness of surface roughness | [–] |
| γ2 | Kurtosis of the surface roughness | [–] |
| Γ(・) | Gamma function | |
| ε0 | Permittivity of vacuum | [F/m] |
| εr | Relative permittivity of oil | [–] |
| ε | Permittivity of oil | [F/m] |
| θ | Phase angle of impedance | [rad] |
| σ | Standard deviation of surface roughness | [m] |
| ω | Angular frequencies of the applied voltage | [rad/s] |
| Lambert W function |
Abbreviations
| EHD | Elastohydrodynamic |
| EIM | Electrical impedance method |
| ITO | Indium tin oxide |
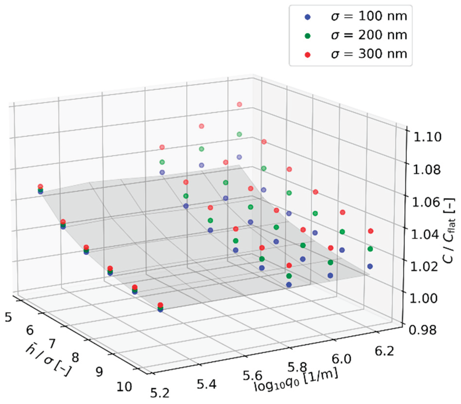
Appendix A Analysis of the Wavenumber-Dependent Effect of Surface Roughness on Capacitance




Appendix B Approximation of [1/H] Using a Taylor Expansion
Appendix C Effect of macroscopic EHD film geometry on roughness estimation


References
- Dowson, D.; Higginson, G.R. A numerical solution to the elasto-hydrodynamic problem. J. Mech. Eng. Sci. 1959, 1, 6–14. [Google Scholar] [CrossRef]
- Hamrock, B.J.; Dowson, D. Isothermal elastohydrodynamic lubrication of point contacts. Part III—Fully flooded results. ASME J. Lubr. Technol. 1977, 99, 264–275. [Google Scholar] [CrossRef]
- Dyer, D.; Stewart, R.M. Detection of rolling element bearing damage by statistical vibration analysis. J. Mech. Des. 1978, 100, 229–235. [Google Scholar] [CrossRef]
- Kiral, Z.; Karagülle, H. Simulation and analysis of vibration signals generated by rolling element bearing with defects. Tribol. Int. 2003, 36, 667–678. [Google Scholar] [CrossRef]
- Saruhan, H.; Sarıdemir, S.; Çiçek, A.; Uygur, Ö. Vibration Analysis of Rolling Element Bearings Defects. J. Appl. Res. Technol. 2014, 12, 384–395. [Google Scholar] [CrossRef]
- Cambow, R.; Singh, M.; Bagha, A.K.; Singh, H. To compare the effect of different level of self-lubrication for bearings using statistical analysis of vibration signal. Mater. Today Proc. 2018, 5, 28364–28373. [Google Scholar] [CrossRef]
- Mba, D. Acoustic emissions and monitoring bearing health. Tribol. Trans. 2003, 46, 447–451. [Google Scholar] [CrossRef]
- Johnston, G.J.; Wayte, R.; Spikes, H.A. The Measurement and Study of Very Thin Lubricant Films in Concentrated Contacts. Tribol. Trans. 1991, 34, 187–194. [Google Scholar] [CrossRef]
- Kaneta, M.; Sakai, T.; Nishikawa, H. Effects of Surface Roughness on Point Contact EHL. Tribol. Trans. 1993, 36, 605–612. [Google Scholar] [CrossRef]
- Sugimura, J.; Jones, W.R., Jr.; Spikes, H.A. EHD film thickness in non-steady state contacts. J. Tribol. 1998, 120, 442–449. [Google Scholar] [CrossRef]
- Guegan, J.; Kadiric, A.; Gabelli, A.; Spikes, H. The relationship between friction and film thickness in EHD point contacts in the presence of longitudinal roughness. Tribol. Lett. 2016, 64, 33. [Google Scholar] [CrossRef]
- Czichos, H. Influence of asperity contact conditions on the failure of sliding elastohydrodynamic contacts. Wear 1977, 41, 1–14. [Google Scholar] [CrossRef]
- Lugt, P.M.; Severt, R.W.M.; Fogelström, J.; Tripp, J.H. Influence of surface topography on friction, film breakdown and running-in in the mixed lubrication regime. Proc. Inst. Mech. Eng., Part J 2001, 215, 519–533. [Google Scholar] [CrossRef]
- Lord, J.; Larsson, R. Film-forming capability in rough surface EHL investigated using contact resistance. Tribol. Int. 2008, 41, 831–838. [Google Scholar] [CrossRef]
- Jablonka, K.; Glovnea, R.; Bongaerts, J. Evaluation of EHD films by electrical capacitance. J. Phys. D-Appl. Phys. 2012, 45, 385301. [Google Scholar] [CrossRef]
- Jablonka, K.; Glovnea, R.; Bongaerts, J.; Morales-Espejel, G. The effect of lubricant polarity upon capacitance measurements of EHD contacts. Tribol. Int. 2013, 61, 95–101. [Google Scholar] [CrossRef]
- Gonda, A.; Paulus, S.; Graf, S.; Koch, O.; Götz, S.; Sauer, B. Basic experimental and numerical investigations to improve the modeling of the electrical capacitance of rolling bearings. Tribol. Int. 2024, 193, 109354. [Google Scholar] [CrossRef]
- Maruyama, T.; Nakano, K. In Situ Quantification of Oil Film Formation and Breakdown in EHD Contacts. Tribol. Trans. 2018, 61, 1057–1066. [Google Scholar] [CrossRef]
- Maruyama, T.; Maeda, M.; Nakano, K. Lubrication Condition Monitoring of Practical Ball Bearings by Electrical Impedance Method. Tribol. Online 2019, 14, 327–338. [Google Scholar] [CrossRef]
- Maruyama, T.; Radzi, F.; Sato, T.; Iwase, S.; Maeda, M.; Nakano, K. Lubrication Condition Monitoring in EHD Line Contacts of Thrust Needle Roller Bearing Using the Electrical Impedance Method. Lubricants 2023, 11, 223. [Google Scholar] [CrossRef]
- Iwase, S.; Maruyama, T.; Momozono, S.; Maegawa, S.; Itoigawa, F. Studies on dielectric spectroscopy of oxidatively degraded poly(α-olefin). Front. Mech. Eng. 2024, 10, 1504347. [Google Scholar] [CrossRef]
- Maruyama, T.; Kosugi, D.; Iwase, S.; Maeda, M.; Nakano, K.; Momozono, S. Application of the electrical impedance method to steel/steel EHD point contacts. Front. Mech. Eng. 2024, 10, 1489311. [Google Scholar] [CrossRef]
- Furtmann, A.; Poll, G. Evaluation of Oil-Film Thickness Along the Path of Contact in a Gear Mesh by Capacitance Measurement. Tribol. Online 2016, 11, 189–194. [Google Scholar] [CrossRef]
- Watanabe, A.; Okubo, H.; Nakano, K. In-situ electrical impedance observation for lubrication conditions of gears under actual operation. Tribol. Int. 2025, 210, 110777. [Google Scholar] [CrossRef]
- Zhao, Y.-P.; Wang, G.-C.; Lu, T.-M.; Palasantzas, G.; De Hosson, J.Th.M. Surface-roughness effect on capacitance and leakage current of an insulating film. Phys. Rev. B 1999, 60, 9157–9164. [Google Scholar] [CrossRef]
- Albina, A.; Taberna, P.L.; Cambronne, J.P.; Simon, P.; Flahaut, E.; Lebey, T. Impact of the surface roughness on the electrical capacitance. Microelectron. J. 2006, 37, 752–758. [Google Scholar] [CrossRef]
- Torabi, S.; Cherry, M.; Duijnstee, E.A.; Le Corre, V.M.; Qiu, L.; Hummelen, J.C.; Palasantzas, G.; Koster, L.J.A. Rough Electrode Creates Excess Capacitance in Thin-Film Capacitors. ACS Appl. Mater. Interfaces 2017, 9, 27290–27297. [Google Scholar] [CrossRef]
- Greenwood, J.A.; Williamson, J.B.P. Contact of nominally flat surfaces. Proc. R. Soc. A 1966, 295, 300–319. [Google Scholar] [CrossRef]
- Nayak, P.R. Random Process Model of Rough Surfaces. J. Lubr. Technol. 1971, 93, 398–407. [Google Scholar] [CrossRef]
- Patir, N.; Cheng, H.S. An Average Flow Model for Determining Effects of Three-Dimensional Roughness on Partial Hydrodynamic Lubrication. J. Lubr. Technol. 1978, 100, 12–17. [Google Scholar] [CrossRef]
- Morris, S.A.; Leighton, M.; Morris, N.J. Electrical Field Strength in Rough Infinite Line Contact Elastohydrodynamic Conjunctions. Lubricants 2022, 10, 87. [Google Scholar] [CrossRef]
- Sunahara, K.; Yamashita, S.; Yamamoto, M.; Ikeda, M.; Nishikawa, H.; Matsuda, K.; Kaneta, M. Development of Grease Film Breakdown Observing Device. Tribol. Online 2008, 3, 40–43. [Google Scholar] [CrossRef]
- Kant, R.; Goel, H. In Situ Electrochemical Impedance Spectroscopic Method for Determination of Surface Roughness and Morphological Convexity. J. Phys. Chem. Lett. 2021, 12, 10025–10033. [Google Scholar] [CrossRef] [PubMed]
- Jensen, J.L.W.V. Sur les fonctions convexes et les inégalités entre les valeurs moyennes. Acta Math. 1906, 30, 175–193. [Google Scholar] [CrossRef]
- Kullback, S.; Leibler, R.A. On Information and Sufficiency. Ann. Math. Stat. 1951, 22, 79–86. [Google Scholar] [CrossRef]











| Parameter | Disc | Ball 0 | Ball 1 | Ball 2 |
|---|---|---|---|---|
| σ [nm] | 0.89 | 2.37 | 382.79 | 478.44 |
| γ1 [–] | -0.285 | -0.666 | -1.218 | -0.548 |
| γ2 [–] | 106.5* | 4.167 | 4.844 | 2.960 |
Disclaimer/Publisher’s Note: The statements, opinions and data contained in all publications are solely those of the individual author(s) and contributor(s) and not of MDPI and/or the editor(s). MDPI and/or the editor(s) disclaim responsibility for any injury to people or property resulting from any ideas, methods, instructions or products referred to in the content. |
© 2026 by the authors. Licensee MDPI, Basel, Switzerland. This article is an open access article distributed under the terms and conditions of the Creative Commons Attribution (CC BY) license (http://creativecommons.org/licenses/by/4.0/).
