Preprint
Article

This version is not peer-reviewed.

The Effects of Past COVID-19 and Vaccination on Antibody Levels, Cellular Immunity, and Cytokine Production by Peripheral Blood Mononuclear Cells

Submitted:

25 February 2026

Posted:

28 February 2026

You are already at the latest version

Abstract

Background/Objective: This study Investigates long-term immune responses (up to 4–4.5 years) to SARS-CoV-2 in individuals with: Past COVID-19 infection, Vaccination, Combined exposure, with focus on immune reactivity to recombinant spike (S) and nucleocapsid (N) proteins. Materials and methods: Serum antibody responses were assessed up to 4–4.5 years after infection or immunization, including virus-specific IgG, IgA, IgM, and neutralizing antibodies. Cellular immunity was evaluated by phenotypic and functional analysis of peripheral blood mononuclear cells (PBMCs), including memory T-helper and cytotoxic T-cell subsets, as well as cytokine production following in vitro stimulation with recombinant SARS-CoV-2 proteins. Multiplex cytokine profiling was used to characterize effector and regulatory immune responses. Results: Virus-specific IgG antibodies persisted for several years after SARS-CoV-2 exposure, with anti-RBD IgG showing the strongest correlation with virus-neutralizing activity, whereas antibodies to the N- protein primarily reflected prior infection. Vaccinated individuals exhibited a distinct immunoglobulin profile characterized by a higher prevalence of IgA. No IgM detected suggesting the detected immune responses reflect immunological memory rather than active infection. PBMCs from individuals with combined COVID-19 and vaccination history demonstrated enhanced responsiveness and more memory T cells. Hybrid immunity (infection and vaccination) provides stronger and broader immune responses.. Stimulation with S- protein induces stronger cytokine production (IFN-γ, TNF-α, IL-12p70) than N- protein. Regulatory cytokines (IL-10, TGF-β) also elevated which suggests immune regulation rather than chronic inflammation.Conclusion: SARS-CoV-2 infection and vaccination induce persistent humoral and cellular immunity. Neutralizing activity correlates only with anti-RBD and anti-S IgG. Future research should focus on long-term effects, hybrid immunity, and optimizing other vaccine types, in addition to Adenovector vaccines, such as recombinant antigen-based vaccines.

Keywords: 
;  ;  ;  ;  ;  ;  ;  ;  ;  ;  ;  ;  

1. Introduction

Recombinant viral antigens are widely used in modern vaccines and diagnostic platforms, including those developed against severe acute respiratory syndrome coronavirus 2 (SARS-CoV-2) [1,2]. Although the short- and mid-term immunogenicity of SARS-CoV-2 vaccines has been extensively studied [3,4], substantially less is known about the long-term qualitative features of antigen-specific immune memory induced by natural infection, vaccination, or their combination. In particular, the long-term persistence and functional characteristics of humoral and cellular immune responses to individual viral proteins remain insufficiently characterized several years after antigen exposure [5].
Among SARS-CoV-2 structural proteins, the spike (S) and nucleocapsid (N) proteins represent immunologically distinct antigens [6,7]. The S- protein mediates viral entry via interaction with the ACE2 receptor and is the primary target of neutralizing antibodies as well as the exclusive antigen encoded by most licensed vaccines [8]. In contrast, the N- protein is highly conserved, abundantly expressed during infection, and elicits robust T-cell responses, but does not induce virus-neutralizing antibodies [9,10]. As a result, immune responses to the S and N- proteins provide complementary information regarding vaccine-induced versus infection-induced immunity and allow discrimination between different histories of antigen exposure.
Previous studies have demonstrated that SARS-CoV-2–specific IgG antibodies and antigen-responsive T cells can persist for at least 12 months after acute infection [11,12,13]. However, data on immune responses beyond this period are limited, and direct comparisons of long-term immune reactivity to S and N antigens at both the humoral and cellular levels are scarce. Moreover, most available studies focus on antibody titers, whereas fewer investigations have addressed functional cellular immunity, including memory T-cell subsets and cytokine production following antigen-specific stimulation.
The present study was designed to address these gaps by performing a comprehensive analysis of long-term immune responses to recombinant SARS-CoV-2 S and N- proteins in individuals with different exposure histories. Specifically, we compared (i) humoral immunity, including antigen-specific antibody classes and subclasses, (ii) functional cellular immunity assessed by antigen-induced activation of peripheral blood mononuclear cells (PBMCs), and (iii) cytokine production profiles following in vitro stimulation with recombinant viral proteins. Participants were stratified based on prior SARS-CoV-2 infection, vaccination, or combined exposure, enabling direct comparison of immune parameters between these groups.
By focusing on clearly defined immunological readouts and controlled antigen-specific stimulation, this study aims to delineate qualitative differences in long-term immune memory associated with distinct modes of SARS-CoV-2 antigen exposure. The results are intended to provide a mechanistic basis for interpreting persistent immune responses to individual viral proteins and to inform the evaluation of recombinant antigen–based vaccines and immunopharmaceutical formulations.

2. Materials and Methods

2.1. Reagents

PerCP/Cyanine 5.5 anti-human CD197 (CCR7) (cat. 353220, clone G043H7), PE/Cyanine7 anti-human CD45RA (cat. 304126, clone HI100), APC anti-human CD4 Antibody (cat. 300514, clone RPA-T4), Alexa Fluor® 700 anti-human CD8 Antibody (cat. 344724, clone SK1), APC/Fire™ 750 anti-human CD3 Antibody (cat. 344840, clone SK7), and Zombie Aqua™ Fixable Viability Kit (cat. 423102) for detection live/dead cells. Fixation and permeabilization were conducted using Cyto-Fast™ Fix/Perm Buffer Set (Biolegend, San Diego, CA, USA), according to the manufacturer’s recommendations, followed by staining of PBMC samples with FITC anti-human IFN-γ (cat. 502506, clone 4S.B3), PE anti-human IL-2 (cat. 310610, cat. W19046A), Brilliant Violet 421™ anti-human TNF-α (cat. 502932, clone MAb11).

2.2. Bioinformatics Analysis

Amino acid sequence analysis was performed using Ugene [14]. MHC class I binding predictions were performed using the NetMHC 4.0 web server (DTU Health Tech; https://services.healthtech.dtu.dk/services/NetMHC-4.0/) [15,16]. Analysis was restricted to 9-mer peptides against a reference set of 12 HLA supertype representatives (HLA-A01:01, A02:01, A03:01, A24:02, A26:01, B07:02, B08:01, B15:01, B27:05, B39:01, B40:01, B58:01). Only peptides classified as strong binders (SB) were selected, using the default threshold of %Rank < 0.5. Structure prediction was performed using AlphaFold 3 [17].

2.3. Patients

The study included two cohorts of patients. The first cohort covered a period of on average from one year to 4.5 years post-COVID-19 infection, and the second cohort covered a period of 0.5 to 3 years post-COVID-19 infection. The study participants were grouped based on their medical history as follows:
Group 1 - were not vaccinated;
Group 2 - vaccinated individuals who have not had acute COVID-19
Group 3 - vaccinated and had acute COVID-19;
Patients in groups 2 and 3 had COVID-19 with unknown severity. Group 3 included vaccinated individuals who, according to their medical history, had not had COVID-19. The control group included healthy volunteers who, according to their medical history, had not had COVID-19. The medical history also showed that there were no symptoms of post-COVID syndrome in patients who had recovered from acute COVID-19 (groups 2 and 3). All patients signed informed consent forms. The study was approved by the Ethics Committee of the Institute of Experimental Medicine (protocol 1/23 dated April 20, 2023).
Handling of time since infection/vaccination. Time since SARS-CoV-2 infection or vaccination was treated as a retrospective categorical and continuous variable based on documented medical history. All blood samples were collected during a single sampling period (November 2024). Therefore, immune parameters reflect cross-sectional measurements obtained at different intervals after exposure rather than longitudinal follow-up of the same individuals.

2.4. Vaccine

The patients were vaccinated using the GAM-Covid-Vac vaccine (also known as Sputnik V), an adenovirus, produces the full-length glycosylated S- protein of the SARS - CoV -2 coronavirus. Its effectiveness, determined by the induction of specific antibodies on the 42nd day after vaccination, is 91% [18].

2.5. Obtaining Blood Serum Samples

Serum samples were obtained from venous blood collected from patients during November 2024 using a standard method. After clot formation, the samples were centrifuged for 20 min at 1000 x g, and the supernatant was frozen and stored at -70 °C.

2.6. Determination of the Level of Antibodies to SARS-CoV-2

The level of antibodies (IgG, IgA, IgM) to the SARS-CoV-2 virus in blood serum samples was determined by ELISA using the SARS-CoV-2-IgG-ELISA-BEST kit manufactured by Vector-BEST, Novosibirsk, Russia. Commercial enzyme-linked immunosorbent assay kits for the detection of IgG/M/A antibodies to SARS-CoV-2 from "Vector-Best" were used. These kits are designed for the qualitative detection of IgG/M/A antibodies to SARS-CoV-2 in human serum or plasma using solid-phase ELISA. Catalog number: IgG detection kit - D-5501; IgM detection kit - D-5502; IgA detection kit - D-5503. Each kit included: 96 well polystyrene microplate with immobilized monoclonal antibodies to human IgG/IgM/IgA (Vector-best, Novosibirsk, Russia); Positive Control containing IgG/IgM/IgA to SARS-CoV-2 and ProClin 300 (0.03%) (Vector-best, Novosibirsk, Russia); Negative Control containing ProClin 300 (0.03%) without IgG/IgM/IgA to SARS-CoV-2 (Vector-best, Novosibirsk, Russia); Conjugate: HRP labeled recombinant SARS-CoV-2 antigen that also contain sodium thimerosal (0.0008%), ProClin 150 (0.004%), ProClin 300 (0.027%), phenol (0.004%) (Vector-best, Novosibirsk, Russia); Serum diluent (Vector-best, Novosibirsk, Russia); Pre-diluting solution containing ProClin 300 (0.02%) (Vector-best, Novosibirsk, Russia); Wash Buffer containing ProClin 300 (0.25%) (Vector-best, Novosibirsk, Russia); Color Reagent TMB (0.025%) (Vector-best, Novosibirsk, Russia); Stop Solution containing sulfuric acid (4.9%) (Vector-best, Novosibirsk, Russia). The manufacturer states: for the IgM detection reagent kit: diagnostic sensitivity – 100% (interval 95.2% - 100%, with a confidence level of 95%); diagnostic specificity – 100% (interval 98.6% - 100%, with a confidence level of 95%). For the IgA detection reagent kit: diagnostic sensitivity: 100% (96.9% - 100% range, 95% confidence level); diagnostic specificity: 100% (98.8% - 100% range, 95% confidence level). For the IgG detection reagent kit: diagnostic sensitivity – 100% (interval 95.7% - 100%, with a confidence level of 95%); diagnostic specificity – 100% (interval 98.5% - 100%, with a confidence level of 95%).To calculate the positivity coefficient (PC), the critical value of optical density (OD) was calculated using the formula: ODcrit = ODav K( -) + 0.2, where ODavK ( -) is the average optical density of the negative control samples. The antibody level in the sample was expressed as an optical density (OD) using the formula: OD = ODbr / ODcrit, where ODbr is the optical density of the analyzed sample. The test result was considered positive if OD ≥ 1.1, negative if OD < 0.8, and borderline of 0.8 ≤ OD < 1.1.

2.7. Concurrent Microneutralization Assay

The SARS-CoV-2 Surrogate Virus Neutralization Assay (AtaGenix, Wuhan, China) is a variant of a competitive ELISA in which the protein-protein interaction between the receptor-binding domain of the viral glycoprotein (RBD) and the cell surface receptor ACE2 can be blocked by neutralizing antibodies against the SARS-CoV-2 RBD. The assay detects circulating SARS-CoV-2 antibodies that block the interaction between the RBD and ACE2. Neutralization percentage was calculated based on the OD450 according to the manufacturer's instructions.

2.8. Microneutralization (MN) Assay in Cell Culture

Protocol of mictoneutralizaton was approved and published previously [19]. Vero CCL-81 cells were seeded in 96-well plates at 4 × 104 cells/well with 150 µl of DMEM supplemented with 10% FBS and incubated at 37°C and 5% CO2 overnight. The next day, monolayer confluency was checked; if it reached 95-100%, the experiment continued. Serum samples (64 µl) were heated at 56°C for 30 minutes and stored at 4°C if necessary. A 2% serum solution was prepared by mixing 10 ml of PBS, 5 ml of antibiotic-antifungal, and 50 ml of DMEM, then filtering through a 0.2 μm syringe filter. In 96-well plates, 288 µl of conditioned medium was added to the first row and 150 µl to rows 2-8. Preheated serum or positive control (32 µl) was added to the first row for a 1:10 dilution. The mixture was then titrated twofold to rows 2-7. Control rows contained only conditioned medium. The SARS-CoV-2 isolate hCoV-19/St_Petersburg-3524S/2020 (GISAID EPI_ISL_415710) was used in the study, that belonged to Wuhan-lineage, work stock of virus was tittered by standard method to determine 50% tissue culture infection dose by sequential 10-fold viral dilutions, which viral titer reached 107 TCID50/ml, CPE was detected by ELISA with N-specific monoclonal antibody [20]. A coronavirus dilution with a titer of 300 TCID50/50 µl was prepared by mixing 300 µl of virus with 200 µl of conditioned medium. Subsequent tenfold dilutions were made to achieve a final titer of 300 TCID50/50 µl. Serum dilutions (55 µl) were transferred to round-bottomed immunoassay plates, with an additional 55 µl of conditioned medium added to negative control wells. Virus (300 TCID50/50 µl) was added to remaining wells. Plates were incubated for 1 hour at 37°C. After incubation, virus/serum mixtures (100 µl) were added to cell culture plates, which were then incubated for 1 hour at 37°C and 5% CO2. Following incubation, 100 µl of serum dilutions were transferred to culture plates, and the plates were incubated for 48 hours at 37°C and 5% CO2. After 48 hours, wells were examined under a microscope for cell monolayer quality and viral cytopathic effect (CPE), followed by cell-ELISA detection. Wells with nonspecific cell lysis were marked separately and excluded from results. The medium was removed, and 100 µl of 10% formalin in PBS was added. Plates were incubated at 4°C for 24 hours, then washed with PBS and transferred to a BSL-2 laboratory for further analysis. Then, plates were washed with PBS, permeabilized with 100 µl of 1:1000 Triton X-100 in PBS for 15 minutes at room temperature. After washing, 100 µl of 3% skim milk in PBS was added for 1 hour at 37°C. Primary mouse antibodies against the N- protein of SARS-CoV-2 (50 µl, 2.0 µg/ml) were added for 1 hour at 37°C, followed by washing and addition of secondary antibodies (50 µl, 1:2000) for 1 hour at 37°C. Plates were washed again, dried, and incubated with TMB-Ultra substrate (50 µl) for up to 20 minutes in the dark. The reaction was stopped with 25 µl of 1 M sulfuric acid.
Results were analyzed using a BIORAD xMark Microplate spectrophotometer at 450 nm. IC50 values were calculated using four-parameter nonlinear regression analysis.

2.9. Recombinant Proteins of SARS-CoV-2

Recombinant proteins of SARS-CoV-2 coronavirus were obtained using Escherichia coli strains DH5a and BL21 as recipients for transformation as described earlier [21,22]. The recombinant fragment corresponds to a conserved central region of the N- protein and differs from the Wuhan-Hu-1 reference sequence only by a single Asn insertion outside the core SR-rich immunodominant region. Therefore, no substantial alteration of antigenic determinants is expected [21]. The S- protein sequence corresponded to the XBB.1.5" (Kraken) variant and included part of the RBD domain [22].

2.10. Enzyme-Linked Immunosorbent Assay (ELISA) for the Determination of IgG Subclasses in Blood Serum Using Recombinant Peptides

Determination of antibody subclasses to recombinant peptides of the SARS-CoV-2 coronavirus was performed as described previously [23]. For the experiment, 96-well Nunc MaxiSorp plates (Thermo Fisher Scientific, Waltham, USA) were coated with 2 μg/mL of recombinant proteins. Before antibody detection, serum samples were heated to 56°C for 30 minutes. Following three rounds of washing, serial dilutions of the sera were added to the coated wells in 1:4 increments. After a 1.5-hour incubation at 37°C, the wells were washed again to remove unbound antibodies. To detect the bound antibodies, horseradish peroxidase-conjugated rabbit anti-human IgG antibodies (Polygnost, Leningrad Region, Russia) were used. The final ELISA titers were determined by identifying the highest dilution where the optical density at 450 nm (OD450) surpassed the mean OD450 plus 3 standard deviations (SD) of the negative control wells. The mean values for the control wells were calculated for each dilution using 4 to 6 pre-SARS-CoV-2 negative blood sera.

2.11. Obtaining and Incubating PBMCs

Blood collection and isolation of peripheral blood mononuclear cells (PBMCs) were performed during November 2024 using a standard method [24]. Heparinized (10 U /mL) whole blood was diluted 1:2 with phosphate-buffered saline (PBS) without calcium and magnesium. Aliquots of approximately 20 mL of the diluted cell preparations were transferred to sterile 50 mL conical tubes. Then, 12 mL of Histopac-1077 was applied to the diluted cell preparation and the tubes were centrifuged without braking at 2400 rpm (~800 × g ) for 20 min at room temperature. PBMCs were removed using a sterile pipette and transferred to a sterile 50 mL conical tube. The cells were washed twice to a volume of 50 ml with PBS and centrifuged at 1700 rpm (~500 × g) for 5 min. The cell pellet was resuspended in RPMI 1640 medium containing 10% fetal calf serum with antibiotics.

2.12. Stimulation of PBMC with Recombinant SARS-CoV-2 Virus Proteins

A fraction of mononuclear cells was isolated from peripheral blood and diluted in complete RPMI-1640 culture medium (BioloT LLC, Russia) supplemented with 10% inactivated fetal bovine serum (FBS, Gibco Life Technologies), 50 μg/ml gentamicin (BioloT LLC, Russia), and 2 mM L-glutamine (BioloT LLC, Russia). 100 μl of the cell suspension (at a concentration of 1-2 × 10 7 cells/ml) were added to the wells of a 96-well plate. Purified protein derivative (PPD) of mycobacteria at a final concentration of 5 μg/ml served as a biological control. To stimulate the cells, the antigens under study (N- and S- proteins from SARS-CoV-2 virus) were used at a final concentration of 5 μg/ml. In addition, sterile PBS was added to some wells as controls since sterile PBS was used for PPD and N- and S-proteins dilution. The samples were then incubated at 37°C in an atmosphere of 5% CO2 for 18 hours.

2.13. The T Cell Antigen-Specific Immune Response

The T cell antigen-specific immune response was assessed using an ICS (intracellular cytokine staining) assay. After 18 hours incubation at 37 °C and 5% CO2, 50 µL of RPMI-1640 medium with Brefeldin A (cat. 420601, Biolegend, San Diego, CA, USA), diluted 1:250 were added to each well. Following 5 hours incubation at 37 °C and 5% CO2, the cells were centrifuged at 500g, 4 °C for 5 min, and the cells were stained with the following surface antibody cocktail at 4 °C for 20 min in the dark (all antibodies were manufactured by Biolegend, San Diego, CA, USA): PerCP/Cyanine 5.5 anti-human CD45RA (cat. 304122, clone HI100), PE/Cyanine7 anti-human CD197 (CCR7) (cat. 353204, clone G043H7), APC anti-human CD4 Antibody (cat. 300514, clone RPA-T4), Alexa Fluor® 700 anti-human CD8 Antibody (cat. 344724, clone SK1), APC/Fire™ 750 anti-human CD3 Antibody (cat. 344840, clone SK7), and Zombie Aqua™ Fixable Viability Kit (cat. 423102) for detection live/dead cells. Fixation and permeabilization were conducted using Cyto-Fast™ Fix/Perm Buffer Set (Biolegend, San Diego, CA, USA), according to the manufacturer’s recommendations, followed by staining of PBMC samples with FITC anti-human IFN-γ (cat. 502506, clone 4S.B3), PE anti-human IL-2 (cat. 310610, cat. W19046A), and Brilliant Violet 421™ anti-human TNF-α (cat. 502932, clone MAb11) antibodies for another 20 min. Finally, after two wash steps (500g, 4 °C for 5 min) the cells were fixed in 100 µL of Cyto-Last™ Buffer (Biolegend, San Diego, CA, USA) and stored in a dark cool place prior to the flow cytometric analysis. Data acquisition was performed with a Navios flow cytometer (Beckman Coulter, Brea, CA, USA), and at least 500,000 events were measured per each sample. The results were analyzed using Kaluza Analysis 2.1 (Beckman Coulter, Brea, CA, USA). The proportion of antigen-specific T cells was calculated by subtracting the negative control from the cytokine-positive CD4+ and CD8+ T cells. The gating strategies for antigen-specific CD4+ and CD8+ T cells are shown in Supplementary Figures S1 and S2.

2.14. Determination of Cytokine Concentrations

Cytokine concentrations ( pg /ml) were determined using a multiplex flow cytometer assay with the LEGENDplex ™ HU (13-Plex Panel ) kit from Biolegend (USA), which allows for the determination of concentrations of 13 human cytokines ( IL-4, IL-2, CXCL10 (IP-10), IL-1β, TNF, CCL2 (MCP-1), IL-17A, IL-6, IL-10, IFN-γ, IL-12p70, CXCL8 (IL-8), and free active TGF-β1) according to the manufacturer's protocol. The high sensitivity of this method allows for the determination of the cytokines in a wide concentration range. The LEGENDplex ™ data software package was used to analyze the results. analysis software " (BioLegend, Inc, USA). When stimulated with SARS-CoV-2 coronavirus proteins, individuals who responded to stimulation were defined as samples in which antigen-induced cytokine-positive T-cell frequencies exceeded the corresponding unstimulated control above a predefined threshold, accounting for background variability.

2.15. Statistical Analysis

Statistical data processing was carried out using the Prism 8 software package (GraphPad software, v10.4.0, San Diego, CA, USA). Medians (Me) and lower and upper quartiles (Q1; Q3) were calculated and used to present the antibody response and blood test levels. The geometric mean titers (GMT) were used to express the average values of antibody titers. The normality of distribution was studied using D’Agostino & Pearson omnibus normality test. When comparing samples that did not meet the assumptions of normal distribution of the dependent variable within each group and homogeneity of variance, a nonparametric criteria were used: for multiple comparisons, Friedman’s test (F-test (ANOVA) or Kruskal–Wallis (Kruskal–Wallis ANOVA) and Mann–Whitney (Mann–Whitney U test) to assess intragroup differences. In the case of nominal data, a two-sided version of Fisher’s exact test was used. A nonparametric measure of the statistical relationship between two variables was performed using Spearman’s rank correlation coefficient (r). A p-value of <0.05 is considered statistically significant.

3. Results

Bioinformatic analysis of the genetic sequence of the N-protein and Kraken variant of S-protein (Table 1).
All identified epitopes are peptides presented by major histocompatibility complex class I (MHC-I) molecules and may be presented to CD8+ T cells (Table 2, Table 3).
This means that these epitopes intended for recognition by cytotoxic CD8⁺ T lymphocytes, which destroy infected cells [25]. Thе recombinant N- protein is characterized by narrow allelic coverage as its epitopes are limited to only two alleles (HLA-B*07:02 and B*39:01), which reduces population effectiveness—protection will be strong only in carriers of these alleles [26]. The recombinant S- protein is characterized by broad allelic coverage. Epitopes are expressed through multiple common alleles (HLA-A and HLA-B), providing protection for a large proportion of the population, and clusters of overlapping epitopes in the 112-129 region create a robust target for viral recognition [6]. The two sequences presented by HLA-B*07:02 occur on two different proteins (N and S), which may increase the likelihood of encountering the target by the immune system.
Table 4 presents the characteristics of the examined patient groups.
Determination of the level of different classes of antibodies (IgG, IgA, and IgM) to the SARS-CoV-2 coronavirus in blood serum samples was performed using commercial test systems as described in the Materials and Methods. The period from COVID-19 illness to examination was 2 to 4.5 years. Seropositivity levels were expressed in arbitrary units as specified by the manufacturer. It has been shown that patients without a history of COVID-19 have significantly lower levels of virus-specific IgG than those who have had acute COVID-19 (Figure 1, А).
IgG levels among participants in the group of those patients who did not have COVID-19 was low – below the seropositivity threshold (1.2), which may confirm the absence of previous contact with SARS-CoV-2 (Figure 1, A). Differences in serum IgG levels between patients which had not COVID-19 or patients after COVID-19 were statistically significant (P=0.0135). The presence of IgA antibodies to the coronavirus among those who presumably have not exposed with SARS-CoV-2 is explained by the high proportion of individuals immunized with coronavirus vaccines (84.5%).
We used the recombinant N and S- proteins of the coronavirus to identify subclasses of antibodies to the SARS-CoV-2 virus (Figure 1, В, C). Elevated mean levels of the IgG subclasses of to the N-protein were found among individuals who had COVID-19, with IgG3 levels being particularly elevated (Figure 1, B). The highest levels of IgG2 to the S-protein were found in those who had not COVID-19. This may be explained by the fact that coronavirus vaccines target the S- protein of the SARS-CoV-2 coronavirus, which was present in the majority of those who did not have COVID-19 (Figure 1, B). IgG4 to the N and S- proteins did not differ between individuals who had COVID-19 and those who had not (Figure 1, B, C).
The second cohort consisted of patients with a post-disease period ranging from six months to three 2.5 years. In this cohort, only four individuals had no history of COVID-19. We compared antibody levels in unvaccinated persons and in vaccinated individuals. Mean levels of IgG, IgA, IgG and anti-RBD antibodies were higher among vaccinated persons compared to non-vaccinated (Figure 2, A-D) as well as other types of antibodies, such as IgG to N- and S-protein or neutralizing antibodies (Figure 2, E, F).
A statistically significant relationship of moderate strength was observed between neutralizing antibodies with anti-SARS-CoV-2 IgG, and anti-RBD (Figure 2, G). This may indicate that only these antibodies have the potential to neutralize the infectious virus.
PBMCs from 43 patients in 1st cohort were stimulated with N- and S-proteins for 24 hours, and immune cell response and cytokine production was estimated. The number of patients from the 1st cohort who responded to PBMCs stimulation with N and S recombinant proteins are presented in Table 5 and Table 6.
In regard to cytotoxic CD8+ memory T cells, this cell population was more pronounced stimulated among patients who had recovered from COVID-19 and were vaccinated compared non-vaccinated persons (Table 6).
Figure 3 presents the results of a study of spontaneous cytokine production by peripheral blood mononuclear cells among three groups of patients from the 1st cohort. For technical reasons, 10 samples from the previously analyzed cohort of patients were excluded from the analysis.
Past COVID-19 in combination with vaccination cause prolonged production of cytokines associated with immune activation and regulation, including IL-2 and IL-17A, as well as regulatory cytokines IL-10 and TGF-β, by peripheral blood mononuclear cells and a decrease in the production of TNF - α, IL -1 β, IL -6, MCP -1 (Figure 3).
Interestingly, a statistically significant positive association of moderate strength was found between months since COVID-19 and spontaneous production of the proinflammatory cytokine IL-6 and the regulatory cytokine IL-10 (Figure 4).
Spearman correlation analysis data of several demographic parameters, IgG subclasses, and spontaneous cytokine production by PBMCs in patients from the first cohort are presented in the supplementary data, Figure S3. A moderately positive connection was found between age and spontaneous production of IL-1β, TNF-α, IFN-γ, and IL-12P70 (Figure S3). A significant negative relationship was found between gender and THF-β release. Indeed, women showed statistically significantly higher spontaneous production of free active THF-β than men (Figure S4). This cytokine release also showed a moderately positive correlation with previous COVID-19, while a moderate to significant negative correlation was found with IgG2 levels to N and S- proteins. Previous vaccination with coronavirus vaccines did not correlate with any of the parameters. IgG3 to the N- protein correlated moderately positively with the release of IL-2 and TNF-α, and anti-S IgG3 also correlated moderately positively with TNF-α (Figure S3).
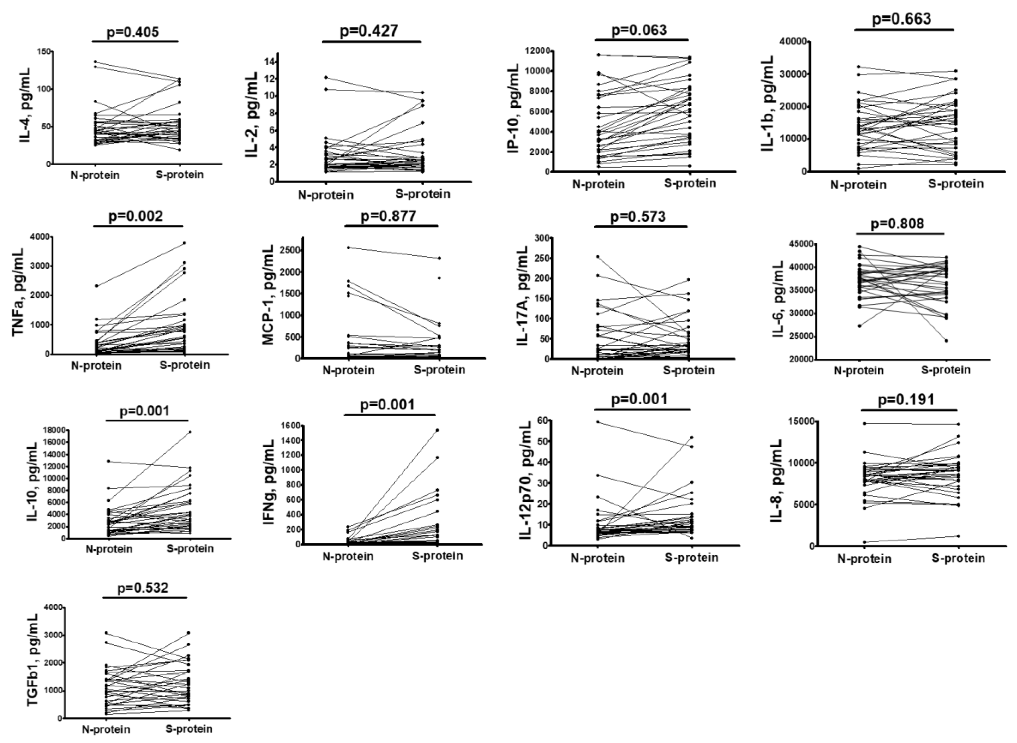
Stimulation of PBMCs with S- protein of SARS-Cov-2 leads to a significant increase in the production of the vast majority of cytokines compared to the N-protein (Figure 5). The most pronounced increase in s production levels is observed for IL-10, TNF-α, IFN-γ, and IL-12p70 (Figure 5).
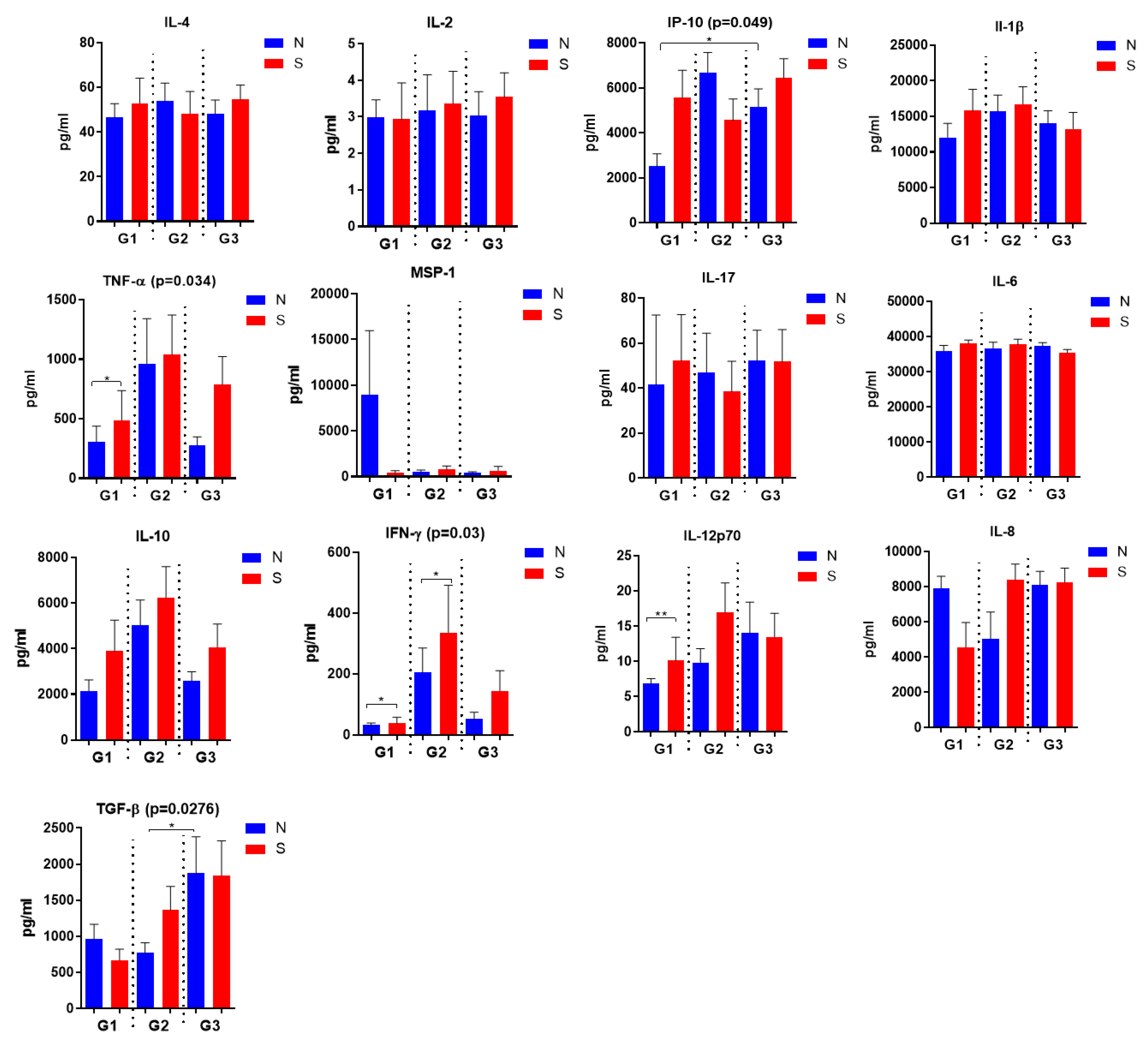
If, in general, among the examined patients, the most pronounced production of a number of cytokines in response to stimulation with S-protein was obtained (Figure 5, Figure 6), then among those who did not have COVID-19 but were vaccinated, the levels of IL-4IP-10, IL-17 to the S-protein were, on the contrary, reduced (Figure 6). And among those who had COVID-19 and were vaccinated, there were lower levels of IL-1-β, IL-6 and IL-12p70 in response to S-protein compared to stimulation of N-protein (Figure 6).

4. Discussion

The present study provides a miscellaneous analysis of long-term humoral and cellular immune responses to SARS-CoV-2 in individuals who experienced COVID-19, vaccination, or a combination of both. Unlike most previous studies, which were limited to observation periods of up to 12 months, our work extends the analysis to 4–4.5 years after infection or immunization, thereby offering new insights into the long-term detectability and functional characteristics of post-infectious and post-vaccination immunity.
Our results demonstrate that virus-specific IgG antibodies persist for several years after SARS-CoV-2 exposure. In particular, antibodies directed against the RBD region of the S- protein show a consistent correlation with virus-neutralizing activity, confirming their functional relevance. In contrast, antibodies against the N- protein, while indicative of previous infection, do not correlate with neutralization capacity. These findings are consistent with previous reports demonstrating that neutralizing activity is primarily mediated by anti-S and anti-RBD antibodies, whereas anti-N antibodies mainly serve as markers of natural infection [27,28]. Long-term persistence of IgG antibodies after SARS-CoV-2 infection has been linked to the formation of long-lived plasma cells in the bone marrow, supporting the concept of durable humoral immune memory [29].
The observed predominance of IgA antibodies in vaccinated individuals further supports the notion that vaccination induces a distinct immunoglobulin profile compared to natural infection. This difference likely reflects the nature of antigen presentation and immune priming induced by vaccine platforms expressing the S- protein. Importantly, the absence of virus-specific IgM in all examined groups indicates that the detected immune responses reflect immunological memory rather than active infection [30].
At the cellular level, we observed sustained functional activity of peripheral blood mononuclear cells in individuals with prior SARS-CoV-2 exposure. PBMCs from patients who had recovered from COVID-19 and subsequently received vaccination demonstrated the highest frequency of antigen-responsive memory T-helper and cytotoxic T-cell populations. This finding is in line with the concept of hybrid immunity, in which sequential exposure to viral antigens through infection and vaccination results in enhanced magnitude and breadth of adaptive immune responses [31].
A key finding of this study is the differential immune activation induced by recombinant S and N- proteins in vitro. Stimulation with the S- protein resulted in a more pronounced cytokine response compared to the N- protein, including increased production of IFN-γ, TNF-α, and IL-12p70. These cytokines are characteristic of Th1-type immune responses and cytotoxic T-cell activation, which play a central role in antiviral immunity [9,29,30]. At the same time, stimulation with the S- protein was accompanied by increased production of IL-10, indicating activation of regulatory mechanisms that may serve to limit excessive inflammation and maintain immune homeostasis [32,33].
Notably, individuals who experienced both COVID-19 and vaccination exhibited prolonged spontaneous cytokine production by PBMCs, including IL-2 and IL-17A, suggesting sustained functional preparedness of T-cell populations [34]. Concurrent elevation of regulatory cytokines such as IL-10 and TGF-β indicates the presence of compensatory immune-regulatory pathways [35]. Similar mixed effector–regulatory cytokine profiles have been described in studies analyzing cytokine-producing capacity of PBMCs from COVID-19 patients after nonspecific or antigen-specific stimulation [34,35,36]. Elevated spontaneous intracellular TGF-β production observed in post-COVID individuals may reflect long-term regulatory immune remodeling following natural infection [37,38]. In individuals with persistent anti-N IgM and limited cross-reactivity to XBB.1.5 RBD, increased TGF-β levels could indicate regulatory constraints on germinal center maturation, potentially contributing to prolonged IgM persistence and suboptimal variant-adapted humoral immunity [39]. In our study, no one was found to have serum IgM and in this case elevated spontaneous intracellular TGF-β production likely reflects long-term regulatory immune remodeling following SARS-CoV-2 infection rather than ongoing immune activation. The higher levels observed in women are consistent with known sex-dependent differences in immune regulation, although may indicate that it might be worth further investigation in these female patient cohorts.
The stronger cytokine response induced by the S- protein compared to the N- protein should be interpreted in the context of the in vitro experimental model used in this study. While this approach enables standardized comparison of antigen-specific immune responses, it does not fully recapitulate the complexity of antigen exposure and immune regulation in vivo. Importantly, none of the participants included in the present study exhibited clinical manifestations of post-COVID syndrome or post-vaccination inflammatory conditions at the time of sample collection. Therefore, the observed prolonged immune activation is more likely to reflect adaptive immune remodeling rather than pathological chronic inflammation.
In the context of distinguishing between individuals with and without prior SARS-CoV-2 infection, antibodies directed against the N- protein remain useful serological markers. In particular, elevated IgG3 responses to the N- protein may serve as an indicator of natural infection, consistent with previous observations that anti-N antibodies do not significantly contribute to virus neutralization but reliably reflect prior viral exposure [27,28]. The nanoformulated state of vaccine can influence the proinflammatory cytokine activity [40].
This study has several limitations that should be considered when interpreting the results. Due to the cross-sectional design, the study does not allow assessment of intra-individual immune persistence or temporal trajectories. The term “long-term” in this context refers to the detection of immune responses in individuals examined several years after exposure rather than to direct evidence of continuous immune maintenance within the same individuals. While longitudinal studies are required to define individual immune trajectories, cross-sectional analyses at extended post-exposure intervals provide valuable information on the range and variability of immune parameters present in the population several years after antigen encounter.

5. Conclusions

Overall, our findings indicate that SARS-CoV-2 infection and vaccination induce long-lasting and functionally active immune responses characterized by detectable immune responses at late time points and sustained cellular responsiveness. IgG antibodies persist for several years post-infection or vaccination. Anti-RBD IgG correlates strongly with virus-neutralizing activity. Anti-N antibodies indicate prior infection but do not neutralize the virus. Vaccinated individuals show higher IgA prevalence. No IgM was found among the examined patients.
PBMCs from individuals with combined infection and vaccination show enhanced responsiveness and more memory T cells. Hybrid immunity (infection and vaccination) provides stronger and broader immune responses.
Stimulation with S protein induces stronger cytokine production (IFN-γ, TNF-α, IL-12p70) than N- protein. Regulatory cytokines (IL-10, TGF-β) also elevated which suggests immune regulation, rather than chronic inflammation. S protein plays a dominant immunostimulatory role, therefore critical for vaccine design. Whilst long-lasting immunity supports durable immune memory there are some differences between infection and vaccination responses that highlight the need for tailored immunization strategies.
Future research should focus on long-term effects, hybrid immunity, and optimizing other vaccine types, in addition to Adenovector vaccines, such as recombinant antigen-based vaccines such as protein-based vaccines.

Supplementary Materials

The following supporting information can be downloaded at the website of this paper posted on Preprints.org.

Author Contributions

Conceptualization, Y.D. and A.S.; methodology, T.G. and E.B.; software, D.G.; validation, P.K., G.L and IK.; formal analysis, B.N.; investigation, I.K., A.T., and V.M; data curation, D.S. and G.M.; writing—original draft preparation, Y.D.; writing—review and editing, G.L., B.N.; supervision, A.S. All authors have read and agreed to the published version of the manuscript.

Funding

This reseach was funded by a subsidy from the Ministry of Science and Hihger Education of RF; grant FGWG -2026-0007.

Institutional Review Board Statement

The study was approved by the Ethics Committee of the Institute of Experimental Medicine (protocol 1/23 dated April 20, 2023).

Informed Consent Statement

Written informed consent was obtained from all subjects involved in the study.

Data Availability Statement

All data are presented in the text of the article.

Conflicts of Interest

The authors declare no conflicts of interest.

Abbreviations

The following abbreviations are used in this manuscript:
COVID-19 coronavirus disease 19
IFN-γ interferon-γ
IL interleukin
MCP-1 monocyte chemotactic protein
Me medians
N- protein Nucleocapsid coronavirus protein
Q1; Q3 lower and upper quartiles
PBMCs peripheral mononuclear cells
SARS-CoV-2 severe acute respiratory syndrome coronavirus 2
S- protein Spike coronavirus protein
TGF-β transforming growth factor-beta
TNF-α tumor necrosis factor alpha

References

  1. Kovalenko, A.; Ryabchevskaya, E.; Evtushenko, E.; Nikitin, N.; Karpova, O. Recombinant protein vaccines against human betacoronaviruses: strategies, approaches and progress. International Journal of Molecular Sciences 2023, 24(2), 1701. [Google Scholar] [CrossRef]
  2. Asadbeigi, A.; Razavirad, A.; Khajehahmadi, F.; Eghtedari, M.; Shirkoohi, R. Expanding SARS-CoV-2 antigen targets beyond spike using a baculovirus expression system. Scientific Reports 2026. [Google Scholar] [CrossRef]
  3. Claro, F.; Silva, D.; Bogado, J. A. P.; Rangel, H. R.; de Waard, J. H. Lasting SARS-CoV-2 specific IgG Antibody response in health care workers from Venezuela, 6 months after vaccination with Sputnik V. International Journal of Infectious Diseases 2022, 122, 850–854. [Google Scholar] [CrossRef] [PubMed]
  4. Sette, A.; Crotty, S. Immunological memory to SARS-CoV-2 infection and COVID-19 vaccines. Immunological reviews 2022, 310(1), 27–46. [Google Scholar] [CrossRef]
  5. Cohen, K. W.; Linderman, S. L.; Moodie, Z.; Czartoski, J.; Lai, L.; Mantus, G.; McElrath, M. J. Longitudinal analysis shows durable and broad immune memory after SARS-CoV-2 infection with persisting antibody responses and memory B and T cells. Cell Reports Medicine 2021, 2(7). [Google Scholar] [CrossRef]
  6. Yang, Y.; Du, L. SARS-CoV-2 spike protein: a key target for eliciting persistent neutralizing antibodies. Signal transduction and targeted therapy 2021, 6(1), 95. [Google Scholar] [CrossRef]
  7. Chen, B.; Farzan, M.; Choe, H. SARS-CoV-2 spike protein: structure, viral entry and variants. Nature Reviews Microbiology 2025, 1–14. [Google Scholar] [CrossRef] [PubMed]
  8. Magalhaes, B. D. A. P.; Medeiros Minasi, J.; Lobato, R. C.; Lemos, L. C.; de Britto, L. S.; Barros, R. M.; da Hora, V. P. Globally approved vaccines for COVID-19: a systematic review. Brazilian Journal of Microbiology 2025, 56(1), 511–527. [Google Scholar] [CrossRef] [PubMed]
  9. Edalat, F.; Khakpour, N.; Heli, H.; Letafati, A.; Ramezani, A.; Hosseini, S. Y.; Moattari, A. Immunological mechanisms of the nucleocapsid protein in COVID-19. Scientific Reports 2024, 14(1), 3711. [Google Scholar] [CrossRef]
  10. López-Muñoz, A. D.; Kosik, I.; Holly, J.; Yewdell, J. W. Cell surface SARS-CoV-2 nucleocapsid protein modulates innate and adaptive immunity. Science Advances 2022, 8(31), eabp9770. [Google Scholar] [CrossRef]
  11. Duysburgh, E.; Mortgat, L.; Barbezange, C.; Dierick, K.; Fischer, N.; Heyndrickx, L.; Desombere, I. Persistence of IgG response to SARS-CoV-2. The Lancet Infectious Diseases 2021, 21(2), 163–164. [Google Scholar] [CrossRef] [PubMed]
  12. Feng, C.; Shi, J.; Fan, Q.; Wang, Y.; Huang, H.; Chen, F.; Li, F. Protective humoral and cellular immune responses to SARS-CoV-2 persist up to 1 year after recovery. Nature communications 2021, 12(1), 4984. [Google Scholar] [CrossRef] [PubMed]
  13. Matei, L.; Chivu-Economescu, M.; Dragu, L. D.; Grancea, C.; Bleotu, C.; Hrișcă, R.; Ruţă, S. M. Long-term durability and variant-specific modulation of SARS-CoV-2 humoral and cellular immunity over two years. International Journal of Molecular Sciences 2025, 26(16), 8106. [Google Scholar] [CrossRef]
  14. Okonechnikov, K.; Golosova, O.; Fursov, M.; Ugene Team. Unipro UGENE: a unified bioinformatics toolkit. Bioinformatics 2012, 28(8), 1166–1167. [Google Scholar] [CrossRef] [PubMed]
  15. Andreatta, M; Nielsen, M. Gapped sequence alignment using artificial neural networks: application to the MHC class I system. Bioinformatics 2016, 32(4), 511–7. [Google Scholar] [CrossRef]
  16. Nielsen, M; Lundegaard, C; Worning, P; Lauemoller, SL; Lamberth, K; Buus, S; Brunak, S; Lund, O. Reliable prediction of T-cell epitopes using neural networks with novel sequence representations. Protein Sci 2003, 12, 1007–17. [Google Scholar] [CrossRef]
  17. Abramson, J.; Adler, J.; Dunger, J.; Evans, R.; Green, T.; Pritzel, A.; Jumper, J. M. Accurate structure prediction of biomolecular interactions with AlphaFold 3. Nature 2024, 630(8016), 493–500. [Google Scholar] [CrossRef]
  18. Barchuk, A.; Bulina, A.; Cherkashin, M.; Berezina, N.; Rakova, T.; Kuplevatskaya, D.; Okhotin, A. Gam-COVID-Vac, EpiVacCorona, and CoviVac effectiveness against lung injury during Delta and Omicron variant surges in St. Petersburg, Russia: a test-negative case–control study. Respiratory research 2022, 23(1), 276. [Google Scholar] [CrossRef]
  19. Matyushenko, V.; Isakova-Sivak, I.; Kudryavtsev, I.; Goshina, A.; Chistyakova, A.; Stepanova, E.; Rudenko, L. Detection of IFNγ-secreting CD4+ and CD8+ memory T cells in COVID-19 convalescents after stimulation of peripheral blood mononuclear cells with live SARS-CoV-2. Viruses 2021, 13(8), 1490. [Google Scholar] [CrossRef]
  20. Rak, A.; Bazhenova, E.; Prokopenko, P.; Matyushenko, V.; Orshanskaya, Y.; Sivak, K. V.; Isakova-Sivak, I. Protective Potential and Functional Role of Antibodies Against SARS-CoV-2 Nucleocapsid Protein. Antibodies 2025, 14(2), 45. [Google Scholar] [CrossRef]
  21. Gupalova, T. V.; Bormotova, E. A.; Leontieva, G. F.; Kramskaya, T. A.; Desheva, Y. A.; Suvorov, A. N. Production of Recombinant Nucleocapsid Protein SARSN1 and Its Use for Assessing the Immune Response in Mice after Vaccination with a Live Probiotic Vaccine Containing the Coronavirus Nucleocapsid Protein. Bulletin of Experimental Biology and Medicine 2025, 179(3), 322–325. [Google Scholar] [CrossRef]
  22. Leontieva, G.; Kramskaya, T.; Gupalova, T.; Bormotova, E.; Desheva, Y.; Korzhevsky, D.; Suvorov, A. Comparative Efficacy of Parenteral and Mucosal Recombinant Probiotic Vaccines Against SARS-CoV-2 and S. pneumoniae Infections in Animal Models. Vaccines 2024, 12(10), 1195. [Google Scholar] [CrossRef]
  23. Desheva, Y.; Muruzheva, Z.; Tumashova, O.; Shvedova, T.; Kudar, P.; Matveev, G.; Suvorov, A. Cytokine profiles and neurological manifestations in post-COVID syndrome. Exploration of Immunology 2025, 5, 1003184. [Google Scholar] [CrossRef]
  24. Naĭkhin, A. N.; Rekstin, A. R.; Barantseva, I. B.; Donina, S. A.; Grigor'eva, E. P.; Kiseleva, I. V.; Rudenko, L. G. Immune response to live influenza vaccine. Vestnik Rossiiskoi Akademii Meditsinskikh Nauk 2002, (12), 24–28. [Google Scholar]
  25. Kuklina, E. M. T lymphocytes as targets for SARS-CoV-2. Biochemistry (Moscow) 2022, 87(6), 566–576. [Google Scholar] [CrossRef]
  26. Andreatta, M.; Nielsen, M. Gapped sequence alignment using artificial neural networks: application to the MHC class I system. Bioinformatics 2016, 32(4), 511–517. [Google Scholar] [CrossRef] [PubMed]
  27. Delgado, J. F.; Vidal-Pla, M.; Moya, M. C.; Espasa, M.; Casabella, A.; Seda, M.; Peña, P. SARS-CoV-2 spike protein vaccine-induced immune imprinting reduces nucleocapsid protein antibody response in SARS-CoV-2 infection. Journal of Immunology Research 2022, 2022(1), 8287087. [Google Scholar] [CrossRef]
  28. Gaeta, A.; Angeloni, A.; Napoli, A.; Pucci, B.; Cinti, L.; Roberto, P.; Anastasi, E. Anti-N SARS-CoV-2 assays for evaluation of natural viral infection. Journal of Immunological Methods 2023, 518, 113486. [Google Scholar] [CrossRef] [PubMed]
  29. Turner, J. S.; Kim, W.; Kalaidina, E.; Goss, C. W.; Rauseo, A. M.; Schmitz, A. J.; Ellebedy, A. H. SARS-CoV-2 infection induces long-lived bone marrow plasma cells in humans. Nature 2021, 595(7867), 421–425. [Google Scholar] [CrossRef]
  30. Liu, J.; Lian, R.; Zhang, G.; Hou, B.; Wang, C.; Dong, J.; Ye, T. Changes in serum virus-specific IgM/IgG antibody in asymptomatic and discharged patients with reoccurring positive COVID-19 nucleic acid test (RPNAT). Annals of Medicine 2021, 53(1), 34–42. [Google Scholar] [CrossRef] [PubMed]
  31. Moss, P. The T cell immune response against SARS-CoV-2. Nature immunology 2022, 23(2), 186–193. [Google Scholar] [CrossRef]
  32. Zivancevic-Simonovic, S.; Jovanovic, D.; Cupurdija, V.; Milosevic-Djordjevic, O.; Stanojevic, M.; Marinkovic, M.; Mihaljevic, O. Cytokine producing ability of peripheral blood cells from COVID-19 patients after unspecific in vitro stimulation. Inflammation research 2022, 71(3), 331–341. [Google Scholar] [CrossRef]
  33. Borowska, M.; Winiarska, H.; Dworacka, M.; Wesołowska, A.; Dworacki, G.; Mikołajczak, P. Ł. The effect of homocysteine on the secretion of IL-1β, IL-6, IL-10, IL-12 and RANTES by peripheral blood mononuclear cells—an in vitro study. Molecules 2021, 26(21), 6671. [Google Scholar] [CrossRef] [PubMed]
  34. Gupta, G.; Shareef, I.; Tomar, S.; Kumar, M. S. N.; Pandey, S.; Sarda, R.; Sinha, S. Th1/Th2/Th17 cytokine profile among different stages of COVID-19 infection. National Academy Science Letters 2022, 45(4), 363–369. [Google Scholar] [CrossRef]
  35. Savchenko, A. A.; Kudryavtsev, I. V.; Isakov, D. V.; Sadowski, I. S.; Belenyuk, V. D.; Borisov, A. G. Recombinant human interleukin-2 corrects NK cell phenotype and functional activity in patients with post-COVID syndrome. Pharmaceuticals 2023, 16(4), 537. [Google Scholar] [CrossRef] [PubMed]
  36. Miteva, L.; Stanilova, S. The combined effect of interleukin (IL)-10 and IL-12 polymorphisms on induced cytokine production. Human immunology 2008, 69(9), 562–566. [Google Scholar] [CrossRef]
  37. Alfaro, E.; Casitas, R.; Díaz-García, E.; García-Tovar, S.; Galera, R.; Torres-Vargas, M.; Cubillos-Zapata, C. TGF-β1 overexpression in severe COVID-19 survivors and its implications for early-phase fibrotic abnormalities and long-term functional impairment. Frontiers in Immunology 2024, 15, 1401015. [Google Scholar] [CrossRef] [PubMed]
  38. Ferreira-Gomes, Marta; et al. SARS-CoV-2 in severe COVID-19 induces a TGF-β-dominated chronic immune response that does not target itself. Nature communications 2021, 12.1, 1961. [Google Scholar] [CrossRef]
  39. Tao, T.; Tian, L.; Ke, J.; Zhang, C.; Li, M.; Xu, X.; Fan, H. Antibody-dependent enhancement of coronaviruses. International Journal of Biological Sciences 2025, 21(4), 1686. [Google Scholar] [CrossRef]
  40. Boris, Nikolaev. Nano- and Microemulsions in Biomedicine: From Theory to Practice. Pharmaceutics 2023, 15(7), 1989. [Google Scholar] [CrossRef]
Figure 1. Antibodies to SARS-CoV-2 in different patient groups examined after 2-4.5 years after COVID-19. A. Different antibody classes against SARS-CoV-2 determined using commercial assays. B. IgG subclasses to recombinant N-protein. C. IgG subclasses to recombinant S-protein.
Figure 1. Antibodies to SARS-CoV-2 in different patient groups examined after 2-4.5 years after COVID-19. A. Different antibody classes against SARS-CoV-2 determined using commercial assays. B. IgG subclasses to recombinant N-protein. C. IgG subclasses to recombinant S-protein.
Preprints 200296 g001
Figure 2. Antibodies to SARS-CoV-2 in patients examined after 0.5-2.5 years post COVID-19 (2-nd cohort). A-C. Mean seropositivity levels of IgG, IgA and IgM determined using commercial kits. D. Anti-RBD antibodies detected using concurrent ELISA. E. ELISA IgG to recombinant N-protein and S-protein of SARS-Cov-2. F. Neutralizing antibody titers determined in a microneutralization assay with SARS-CoV-2 virus in cell culture. G. Correlation analysis of neutralizing antibody titers with anti-SARS-CoV-2 IgG and anti-RBD. Spearman correlation coefficients (rs) are presented.
Figure 2. Antibodies to SARS-CoV-2 in patients examined after 0.5-2.5 years post COVID-19 (2-nd cohort). A-C. Mean seropositivity levels of IgG, IgA and IgM determined using commercial kits. D. Anti-RBD antibodies detected using concurrent ELISA. E. ELISA IgG to recombinant N-protein and S-protein of SARS-Cov-2. F. Neutralizing antibody titers determined in a microneutralization assay with SARS-CoV-2 virus in cell culture. G. Correlation analysis of neutralizing antibody titers with anti-SARS-CoV-2 IgG and anti-RBD. Spearman correlation coefficients (rs) are presented.
Preprints 200296 g002
Figure 3. Spontaneous cytokine production by PBMCs from different patient groups, 1st cohort. (n=33).
Figure 3. Spontaneous cytokine production by PBMCs from different patient groups, 1st cohort. (n=33).
Preprints 200296 g003
Figure 4. Correlation analysis of spontaneous production of cytokines by the PBMS depending on the time after the disease (months).
Figure 4. Correlation analysis of spontaneous production of cytokines by the PBMS depending on the time after the disease (months).
Preprints 200296 g004
Figure 5. Production of cytokines by PBMCs upon stimulation with recombinant N- and S-proteins.
Figure 5. Production of cytokines by PBMCs upon stimulation with recombinant N- and S-proteins.
Preprints 200296 g005
Figure 6. Production of cytokines by PBMCs upon stimulation with recombinant N- and S- protein from different patient groups. G1- no vaccination, n=8, G2 – no COVID-19, vaccination, n=9; G3 – COVID-19, vaccination (n=16). P values were determined according to the Kruskal-Wallis test. * - Р<0.05, Mann-Whitney test; ** - P<0.01, Mann-Whitney test.
Figure 6. Production of cytokines by PBMCs upon stimulation with recombinant N- and S- protein from different patient groups. G1- no vaccination, n=8, G2 – no COVID-19, vaccination, n=9; G3 – COVID-19, vaccination (n=16). P values were determined according to the Kruskal-Wallis test. * - Р<0.05, Mann-Whitney test; ** - P<0.01, Mann-Whitney test.
Preprints 200296 g006
Table 1. Molecular structure and epitope analysis of recombinant proteins. Predicted epitopes are highlighted in red.
Table 1. Molecular structure and epitope analysis of recombinant proteins. Predicted epitopes are highlighted in red.
Name Analysis of epitopes compatible with human MHC Spatial structure
SARSN1 Preprints 200296 i001 Preprints 200296 i002
S-SARS "XBB.1.5" Preprints 200296 i003 Preprints 200296 i004
Table 2. Recombinant protein SARSN1.
Table 2. Recombinant protein SARSN1.
No. Epitope (location in the amino acid sequence of a protein) Allele
1 LPTAAAGLL (5-13) HLA-B0702
2 LAAQPAMAM (15-23) HLA-B0702
3 TRNPANNAA (45-53) HLA-B3901
4 LQLPQGTTL (56-64) HLA-B3901
5 SSMKLAAAL (98-106) HLA-B3901
Table 3. Recombinant protein S-SARS"XBB.1.5" (Kraken).
Table 3. Recombinant protein S-SARS"XBB.1.5" (Kraken).
No. Epitope (location in the amino acid sequence of a protein) Allele
1 LPTAAAGLL (5-13) HLA-B0702
2 LAAQPAMAM (15-23) HLA-B0702
3 YSVLNSTSF (33-41) HLA-B5801,
HLA-B1501
4 FTNVYADSF (59-67) HLA-B5801
5 VSGNYNYLY (112-120) HLA-A0101
6 NYNYLYRLF (115-123) HLA-A2402
7 YRLFRKSNL (120-128) HLA-B2705
8 RLFRKSNLK (121-129) HLA-A0301
9 QSYGFQPTY (160-170) HLA-B5801
10 YQPYRVVVL (172-180) HLA-B3901
11 PYRVVVLSF (174-182) HLA-A2402
12 TNLKLAAAL (198-206) HLA-B3901
Table 4. Characteristics of patient’s groups.
Table 4. Characteristics of patient’s groups.
Parametrs Categories
1st cohort – (n=43) 2nd cohortт - (n=32)
Age, Me (Q25; Q75) 62.50 (46.75; 76.00) 61.00 (24.00; 67.50)
Males 17 (39.5%) 5 (15.6%)
Females 26 (60.5%) 27 (84.4%)
No COVID-19 16 (37.2%) 4 (12.5%)
COVID-19 27 (62.8%) 28 (87.5%)
Time from onset of illness, months
Me (Q25; Q75)
48.00 (36.00; 56.00) 13.00 (6.00; 19.50)
No vaccination 10 (23.3%) 12
After vaccination 33 (78.7%) 20
Table 5. Мemory T-helper cells (1st cohort, n=43).
Table 5. Мemory T-helper cells (1st cohort, n=43).
Cell populations Cell subpopulations Group
Not vaccinated (Group1) No COVID-19, Vaccinated
(Group 2)
COVID-19, vaccinated
(Group 3)
# in group
10 14 19
SARS-Cov-2 proteins
N S N S N S
General pool of T-helper memory cells (CD3+CD4+CD45RA-) IFNg+ 4(40%) 7(70%) 8(57%) 5(36%) 13(68%) 13(68%)
IL-2+ 5(50%) 7(70%) 7(50%) 9(64%) 12(63%) 15(79%)
TNFa+ 6(60%) 6(60%)1 10(71%) 12(86%) 15(79%) 18(95%)
IFN+TNF+ 5(50%) 4(40%) 5(36%) 3(21%) 9(47%) 13(68%)
polyfunc 2(20%) 2(20%)2 3(21%) 4(29%)3 7(37%) 14(74%)
T-helper cells of central memory (CD45RA-CCR7+) IFNg+ 1(10%)5 7(70%) 2(14%) 5(36%) 6(32%) 7(37%)
IL-2+ 5(50%) 6(60%) 5(36%) 8(57%) 11(58%) 10(53%)
TNFa+ 6(60%) 6(60%) 9(64%) 10(71%) 15(79%) 16(84%)
IFN+TNF+ 3(30%) 1(10%) 1(7%) 1(7%) 3(16%) 4(21%)
polyfunc 0(0%) 0(0%) 0(0%) 0(0%) 3(16%) 3(16%)
Effector memory T-helper cells (CD45RA-CCR7-) IFNg+ 6(60%) 5(50%) 9(64%) 7(50%) 12(63%) 13(68%)
IL-2+ 4(40%) 5(50%) 7(50%) 7(50%) 11(58%) 16(84%)
TNFa+ 6(60%) 6(60%) 10(7%) 11(79%) 15(79%) 17(90%)
IFN+TNF+ 5(50%) 4(40%) 4(29%) 3(21%) 8(42%) 11(58%)
1 
The number of S-protein responders in Group 1 was lower than in Group 3 (P<0.05, Fisher's exact test)
1 
The number of S-protein responders in Group 1 was lower than in Group 3 (P<0.05, Fisher's exact test)
1 
The number of S-protein responders in Group 1 was lower than in Group 3 (P<0.05, Fisher's exact test)
1 
The number of N-protein responders was lower than S-protein responders (P<0.05, Fisher's exact test)
1 
The number of N-protein responders was lower than S-protein responders (P<0.01, Fisher's exact test)
Table 6. Сytotoxic CD8+ memory T cells (1st cohort, n=43).
Table 6. Сytotoxic CD8+ memory T cells (1st cohort, n=43).
Cell populations Cell subpopulations Group
Not vaccinated
(Group1)
No COVID-19, Vaccinated (Group 2) COVID-19, vaccinated (group 3)
# in group
10 14 19
SARS-Cov-2 proteins
N S N S N S
Total pool of cytotoxic CD8+ memory T cells (CD3+CD8+CD45RA-) IFNg+ 2(20%) 4(40%) 5(36%) 4(29%) 7(37%) 3(16%)
IL-2+ 3(30%) 3(30%) 4(29%) 4(29%) 9(47%) 9(47%)
TNFa+ 6(60%) 5(50%)6 13(93%) 11(79%) 16(84%) 17(90%)
IFN+TNF+ 0(0%) 1(10%) 1(7%) 0(0%) 1(5%) 1(5%)
polyfunc 0(0%) 0(0%) 0(0%) 0(0%) 0(0%) 1(5%)
Сytotoxic CD8+ T cells of central memory (CD45RA-CCR7+), IFNg+ 1(10%) 1(10%) 1(7%) 1(7%) 3(16%) 1(5%)
IL-2+ 4(40%) 3(30%) 2(14%) 4(29%) 4(21%) 6(32%)
TNFa+ 6(60%) 5(50%) 6(43%) 4(29%) 11(58%) 10(53%)
IFN+TNF+ 0(0%) 0(0%) 0(0%) 0(0%) 0(0%) 0(0%)
polyfunc 0(0%) 0(0%) 0(0%) 0(0%) 0(0%) 0(0%)
Сytotoxic CD8+ T cells of effector memory (CD45RA-CCR7-) IFNg+ 2(20%) 4(40%) 5(36%) 5(36%) 5(26%) 2(11%)
IL-2+ 2(20%) 2(20%) 4(29%) 4(29%) 8(42%) 9(47%)
TNFa+ 5(50%) 5(50%) 11(79%) 9(64%) 13(68%) 14(74%)
IFN+TNF+ 3(30%) 3(30%) 7(50%) 7(50%) 9(47%) 9(47%)
polyfunc 0(0%) 0(0%) 0(0%) 0(0%) 0(0%) 0(0%)
1 
The number of patients who responded to S-protein stimulation in Group 1 was lower than in Group 3 (P<0.05, Fisher's exact test).
Disclaimer/Publisher’s Note: The statements, opinions and data contained in all publications are solely those of the individual author(s) and contributor(s) and not of MDPI and/or the editor(s). MDPI and/or the editor(s) disclaim responsibility for any injury to people or property resulting from any ideas, methods, instructions or products referred to in the content.
Copyright: This open access article is published under a Creative Commons CC BY 4.0 license, which permit the free download, distribution, and reuse, provided that the author and preprint are cited in any reuse.
Prerpints.org logo

Preprints.org is a free preprint server supported by MDPI in Basel, Switzerland.

Subscribe

Disclaimer

Terms of Use

Privacy Policy

Privacy Settings

© 2026 MDPI (Basel, Switzerland) unless otherwise stated